Витамины
Витамины (от лат. vita — жизнь), группа органических соединений разнообразной химической природы, необходимых для питания человека, животных и других организмов в ничтожных количествах по сравнению с основными питательными веществами (белками, жирами, углеводами и солями), но имеющих огромное значение для нормального обмена веществ и жизнедеятельности.
Первоисточником витаминов служат главным образом растения (см. Витаминоносные растения). Человек и животные получают витамины непосредственно с растительной пищей или косвенно — через продукты животного происхождения. Важная роль в образовании витаминов принадлежит также микроорганизмам. Например, микрофлора, обитающая в пищеварительном тракте жвачных животных, обеспечивает их витаминами группы В. Витамины поступают в организм животных и человека с пищей, через стенку желудочно-кишечного тракта, и образуют многочисленные производные (например, эфирные, амидные, нуклеотидные и др.), которые, как правило, соединяются со специфическими белками и образуют многие ферменты, принимающие участие в обмене веществ. Наряду с ассимиляцией в организме непрерывно совершается диссимиляция витаминов, причём продукты их распада (а иногда и малоизменённые молекулы витаминов) выделяются наружу. Недостаточность снабжения организма витаминами ведёт к его ослаблению (см. Витаминная недостаточность), резкий недостаток витаминов — к нарушению обмена веществ и заболеваниям — авитаминозам, которые могут окончиться гибелью организма. Авитаминозы могут возникать не только от недостаточного поступления витаминов, но и от нарушения процессов их усвоения и использования в организме.
Основоположник учения о витаминах русский врач Н. И. Лунин установил (1880), что при кормлении белых мышей только искусственным молоком, состоящим из казеина, жира, молочного сахара и солей, животные погибают. Следовательно, в натуральном молоке содержатся и другие вещества, незаменимые для питания. В 1912 польский врач К. Функ, предложивший само название «витамины», обобщил накопленные к тому времени экспериментальные и клинические данные и пришёл к выводу, что такие заболевания, как цинга, рахит, пеллагра, бери-бери, — болезни пищевой недостаточности, или авитаминозы. С этого времени наука о витаминах (витаминология) начала интенсивно развиваться, что объясняется значением витаминов не только для борьбы со многими заболеваниями, но и для познания сущности ряда жизненных явлений. Метод обнаружения витаминов, примененный Луниным (содержание животных на специальной диете — вызывание экспериментальных авитаминозов), был положен в основу исследований. Было выяснено, что не все животные нуждаются в полном комплексе витаминов, отдельные виды животных могут самостоятельно синтезировать те или иные витамины. В то же время многие плесневые и дрожжевые грибы и различные бактерии развиваются на искусственных питательных средах только при добавлении к этим средам вытяжек из растительных или животных тканей, содержащих витамины. Таким образом, витамины необходимы для всех живых организмов.
Изучение витаминов не ограничивается обнаружением их в естественных продуктах с помощью биологических тестов и другими методами. Из этих продуктов получают активные препараты витаминов, изучают их строение и, наконец, получают синтетически. Исследована химическая природа всех известных витаминов Оказалось, что многие из них встречаются группами по 3—5 и более родственных соединений, различающихся деталями строения и степенью физиологической активности. Было синтезировано большое число искусственных аналогов витаминов с целью выяснения роли функциональных групп. Это способствовало пониманию действия витаминов. Так, некоторые производные витаминов с замещенными функциональными группами оказывают на организм противоположное действие, по сравнению с витаминами, вступая с ними в конкурентные отношения за связь со специфическими белками при образовании ферментов или с субстратами воздействия последних (см. Антивитамины).
Витамины имеют буквенные обозначения, химические названия или названия, характеризующие их по физиологическому действию. В 1956 принята единая классификация витаминов, которая стала общеупотребительной.
Наличие химически чистых витаминов дало возможность подойти к выяснению их роли в обмене веществ организма. Витамины либо входят в состав ферментов, либо являются компонентами ферментативных реакций. При отсутствии витаминов в организме нарушается деятельность ферментных систем, в которых они участвуют, а следовательно, — и обмен веществ. Известно несколько сот ферментов, в состав которых входят витамины, и огромное количество катализируемых ими реакций. Многие витамины — преимущественно участники процессов распада пищевых веществ и освобождения заключённой в них энергии (витамины B1, В2, PP и др.). Участвуют они и в процессах синтеза: B6 и В12 — в синтезе аминокислот и белковом обмене, В3 (пантотеновая кислота) — в синтезе жирных кислот и обмене жиров, Вс (фолиевая кислота) — в синтезе пуриновых и пиримидиновых оснований и многих физиологически важных соединений — ацетилхолина, глутатиона, стероидов и др. Менее изучено действие жирорастворимых витаминов, однако несомненно их участие в построении структур организма, например в образовании костей (витамин D), развитии покровных тканей (витамин А), нормальном развитии эмбриона (витамин Е и др.). Таким образом, витамины имеют огромное физиологическое значение. Выяснение физиологической роли витаминов позволило использовать их для витаминизации продуктов питания, в лечебной практике и в животноводстве. Особенно широко стали применяться витамины после освоения их промышленного синтеза. См. также Витаминные препараты.
Лит.: Кудряшов Б. А., Биологические основы учения о витаминах, М., 1948 (имеется библ.); Валдман A. Р., Значение витаминов в питании сельскохозяйственных животных и птицы, Рига, 1957; Березовский В. М., Химия витаминов, М., 1959; Труфанов А. В., Биохимия и физиология витаминов и антивитаминов, М., 1959; Шилов П. И. и Яковлев Т. Н., Основы клинической витаминологии, Л., 1964 (имеется библ.); Букин В. Н., Пантамат кальция (витамин B15), М., 1968; Vitamine. Chemie und Biochemie, Hrsg. von J. Fragner, Bd 1—2, Jena, 1964—65 (имеется библ.); Wagner A. F., Folkers K., Vitamins and coenzymes, N. Y., [1964]; The vitamins: chemistry, physiology, pathology, methods, 2 ed., ed. W. Н. Sebrell, R. S. Harris, v. 1, N. Y. — L., 1967.
В. Н. Букин.
Получение витаминов. Витамины получают главным образом синтетически и лишь в некоторых случаях отдельные стадии в цепи синтеза выполняются биологическими способами. Производство концентратов витаминов из продуктов растительного или животного происхождения почти полностью потеряло своё значение.

Получение витаминов относится к тонкому органическому многостадийному синтезу. Химическими методами синтезируют следующие витамины: А, B1, B2, В3, B6, Вс, С, D2, D3, Е, К, PP, а В12 — ферментативными методами микробиологического синтеза. Ферментацией пользуются также на одной из стадий синтеза витамина С. Этот витамин в виде индивидуального кристаллического вещества высокой степени чистоты образуется при восстановлении D-глюкозы в D-copбит. Последний ферментативно окисляют в L-copбозу, которую после ряда операций превращают в витамин С (I). Витамин А (ретинол) синтезируют, исходя из псевдоионона (II), который циклизуют в b-ионон и затем через ряд сложных операций превращают в ретинол (III). Псев-доионон служит также исходным сырьём для многостадийного синтеза изофитола, используемого при получении чистого витамина Е (a-токоферилацетата, IV).
Витамин K3 (2-метил-1,4-нафтохинон) получают окислением 2-метилнафталина. Витамином K3 пользуются в медицинской практике в виде растворимой в воде натриевой соли бисульфитного производного (V).
Производство витамина B1 (тиамина, VI) основано на конденсации 2-метил-4-амино-5-хлор (бром) метилпиримидина с 4-метил-5-b-оксиэтилтиазолом. Кофермент витамина B1 — кокарбоксилаза (VII), или дифосфорный эфир тиамина, применяемый для лечения заболеваний сердца, получают фосфорилированием тиамина с последующей очисткой на ионообменных смолах и кристаллизацией.
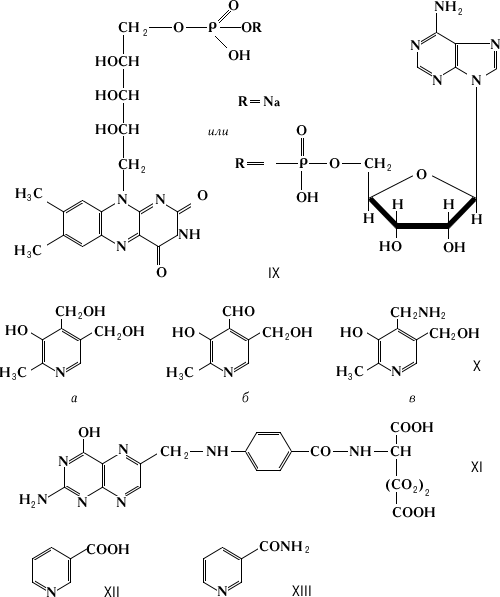
Витамин В2 (рибофлавин, VIII) образуется при культивировании Eremothecium ashbyii и других микроорганизмов без выделения в виде сухой биомассы (с использованием только для кормления с.-х. животных), а синтетический рибофлавин (применяемый в медицине) получают в виде кристаллического продукта деструктивным окислением D-глюкозы (из кукурузного крахмала) в D-apaбоновую кислоту и рядом других операций превращают в конечный продукт — жёлто-оранжевые кристаллы высокой степени чистоты. Важное производное рибофлавина — его кофермент рибофлавин-5'-фосфат натрия (IX, R = Na), применяемый для инъекций, получают фосфорилированием рибофлавина, а другой кофермент — ФАД (IX, R — остаток аденозин-5'-фосфата) получают конденсацией рибофлавина-фосфата и аденозин-5'-фосфата.
Витамин B6 (пиридоксин, X, а) синтезируют, конденсируя метоксиацетил-ацетон с циануксусным эфиром в присутствии аммиака в 2-метил-4-метоксиметил-5-циан-6-оксипиридин, который подвергают нитрованию, затем рядом операций превращают в пиридоксин. Известен также и другой способ получения пиридоксина — через 4-метил-5-пропоксиоксазол диеновым синтезом с формалем бутен-2-диола-1,4. Другими формами B6 являются пиридоксол (X, б) и пиридоксамин (X, в).
Классификация и краткая характеристика витаминов
| Новая номен- |
Прежние обозначения |
Физиологическая роль |
Основные пищевые источники | Суточная норма для взрослого человека, мг |
| Жирорастворимые витамины | ||||
| Ретинол | Витамин A1, аксероф-тол, противоксерофталь-мический витамин | Входит в состав зрительного пурпура, усиливает остроту зрения при слабом ос-вещении, укрепляет эпителиальные тка- | Сливочное масло, молоко,
| 1,5-2,5 |
| Дегидроретинол | Витамин А2 | Функции те же, активность 40% от активности витамина А1 | Жир печени пресноводных
| Не установлена |
| Витамин D2, кальцифе-рол, противорахитичес-кий витамин | Повышает усвоение пищ. кальция, усиливает реабсорбцию фосфора в поч-ках, необходим для роста костей | Синтетич. продукт, получает-
| Детям по | |
| Витамин Д3 | Функции те же, активность для чело- | Молоко (немного), сливочное масло, яичный желток, значи-тельно больше в жирах печени рыб; образуется в коже под дей-ствием ультрафиолетовых лучей
| Та же | |
| α-, β-, γ-токофе- | Витамин Е, противо-стерильный витамин | Предохраняет липоидные вещества клетки от окисления, при длит. недо-
| Растит. масла, салатные ово-щи; в животных продуктах мало | Не установлена |
| Филлохинон | Витамин К1, 2-метил-
| Участвует в образовании протромбина | Растит. продукты, особенно зелёные листья; в животных продуктах мало
| 2 |
| Фарнохинон | Витамин K2, 2-метил-
| Действие то же | Выделен из бактерий | Не установлена |
| Витамин Кз, бисуль-фитное производное 2-метил-1,4-нафтохинона | Действие то же, активнее витамина К1 в два раза | Синтетич. продукт | 1 | |
| Аскорбиновая
| Витамин С, противо-цинготный витамин | Участвует в образовании коллагена, в восстановлении фолиевой к-ты в кофер-мент и в др. окисительно-восстановит. процессах
| Свежие овощи, фрукты, ягоды | 70-100 |
| Витамины Р, капил-ляроукрепляющие витамины | Комплекс веществ, укрепляющих стен-
| Цитрусовые, чёрная смороди-на, плоды шиповника, черно-плодной рябины, чай (особенно зелёный) | 50-100 | |
| Тиамин | Витамин В1, аневрин, противоневритический витамин
| Входит в состав пируватдекарбоксила- | Дрожжи, печень, хлеб из му-
| 1,5-2 |
| Липоевая к-та | Тиоктовая к-та | Участвует совместно с тиамином в оки-слительном декарбоксилировании пиру-вата с образованием уксусной к-ты и
| Растит. продукты | Не установлена |
| Витамин PP, ниацин-амид, противопеллагри-ческий витамин
| Входит в состав окислительно-восста-новит. ферментов--дегидрогеназ | Печень, почки, мясо, дрожжи, молоко, горох, бобы | 15-25 | |
| Рибофлавин | Витамин В2, лактофла-вин | Входит в состав ферментов, осущест-вляющих транспорт водорода от деги-дрогеназ к кислороду
| Молочные и мясные продукты, салатные овощи | 2-2,5 |
| Пиридоксин | Витамин B6 | Входит в состав ферментов, катализи-рующих переамини-рование и декарбок-силирование аминокислот
| Мясо, рыба, молоко, печень | 2-3 |
| Пантотеновая к-та | Витамин Вз | Входит в состав кофермента А, при участии к-рого происходит синтез жир-
| Широко распространён во всех растениях, животных тканях и микроорганизмах | 5-10 |
| Фолиевая к-та | Групповое обозначение моно-, три- и гептаглу-таминовых кислот, вита-мин ВС, фолацин | Входит в состав ферментов, участвую-щих в синтезе пуриновых и пиримидино-вых соединений, нек-рых аминокислот (серина, метионина). Вместе с витамином В12 участвует в процессе кроветворения
| Печень, почки, дрожжи, са-латные овощи | 0,1-0,5 |
| Витамин B12, крове-творный фактор | Входит в состав мн. ферментов, уча-ствующих в синтезе холина, креатина, нуклеиновых кислот и др. Наиболее ак-тивный противонемич. препарат
| Печень, почки, меньше — мясо и молоко | 0,005-0,01 | |
| n-Аминобензой- | n-Аминобензойная | Ростовой фактор для мн, микроорга-низмов, стимулирует выработку витами-нов кишечной микрофлорой. Входит в состав фолиевой к-ты
| Дрожжи, печень, семена пше-ницы, риса | Не установлена |
| Витамин Н | Входит в состав ферментов, катализи-рующих карбоксилирование (присоеди-нения CO2 с удлинением цепочки) жир- ных кислот и др.
| Печень, почки, дрожжи, яич- | 0,01 | |
| Мезоинозит | Инозит | Ростовой фактор для дрожжей; его недостаток вызывает остановку роста мо-лодых животных
| Широко распространён в рас-тениях в виде солей инозитфос-форной к-ты — фитина | Не установлена |
| Холин-хлорид
| Холин-хлорид | Источник метильных групп для син-
| Семена злаков, бобовых, свёк-ла и др. растит. продукты, дрожжи, печень | 500—1000 |
| Оротовая к-та | Витамин B13 | Предшественник пиримидиновых осно-ваний; используется в процессах синтеза
| Растит. продукты, молоко | Леч. дозы 1000—1500 |
| Пангамовая к-та | Витамин B15 | Повышает окислит. обмен, обладает липотропным и детоксицирующим дей-ствием | Семена злаков, печень, дрож-жи
| Леч. дозы 200—300 |
| S-мeтилметионин-сульфоний- | Противоязвенный фак-тор, витамин U (от лат. ulcus — язва) | Способ-ствует заживле-нию пептических язв желудка и двенадцатиперстной кишки | Соки свежих овощей — капу-сты, шпината, сельдерея и др. | Леч. дозы 200–250 |
Витамин Вс (фолиевую кислоту, XI) синтезируют одностадийной конденсацией 2,4,5-триамино-6-оксипиримидина, 1,1,3-трихлорацетона и n-аминобензоил-L-глутаминовой кислоты.
Витамин PP (никотиновую кислоту, XII) получают окислением b-пиколина (выделяемого из каменноугольного дёгтя), ресурсы которого ограниченны, а также окислением хинолина или 2-метил-5-этилпиридина. Для медицинских целей пользуются, кроме никотиновой кислоты, никотинамидом (XIII).

Витамин B3, оптически активная D-пантотеновая кислота
HOCH2C (CH3)2CH (OH) CONH (CH2)2COOH,
для медицинских целей применяется в виде кальциевой соли.
Для нужд животноводства нет необходимости в разделении на промежуточных ступенях синтеза рацемата пантолактона на оптические антиподы. Синтез рацемического пантотената кальция состоит в альдольной конденсации изобутираля и формальдегида с последующим превращением в пантолактон, затем в его конденсации с b-аланином, приводящей к образованию конечного продукта.
Витамин B12 (цианкобаламин), вещество весьма сложного строения, получают с помощью микробиологического синтеза с Propionbacterium Shermanii на углеводо-белковых средах — отходах свеклосахарного производства (мелассе). Культивирование проводят в присутствии 5,6-диметил-бензимидазола. Витамин выделяют в кристаллическом виде. Имеет значение также технология брожения термофильными метанобразующими бактериями при 55—57 °С барды ацетоновых и спиртовых заводов, работающих на мелассе.
Витамин D2 (эргокальциферол), имеющий также весьма сложное строение, выделяют из пекарских дрожжей в виде эргостерина, который затем подвергают фотоизомеризации. Для медицинских целей эргокальциферол очищают от побочных веществ, образующихся при фотоизомеризации. Витамин D3 (холекаль-циферол) получают из холестерина — продукта мясной промышленности. Его бензоилируют, затем подвергают бромированию и другим операциям (см. также Витаминные препараты и Витаминная промышленность).
В. М. Березовский.
Витамины в животноводстве. Значение витаминов в кормлении с.-х. животных велико. При их недостатке или отсутствии задерживается рост и развитие молодняка, снижается сопротивляемость организма различным заболеваниям, уменьшается продуктивность. С недостаточным витаминным питанием у с.-х. животных нередко связаны яловость, аборты, низкая плодовитость. Потребность в витаминах зависит от вида животных, возраста, физиологического состояния, продуктивности, условий кормления и содержания, а также от запаса витаминов в организме. Особенно велика эта потребность у молодняка, беременных и лактирующих самок, высокопродуктивных и племенных животных.
Каротина требуется (мг на 100 кг живой массы в сутки): коровам стельным 60—80, лактирующим 50—60, быкам-производителям 70—100, овцам суягным и подсосным 20—40, баранам 40—60, свиноматкам супоросным и подсосным 20—30, хрякам 50—60, рабочим лошадям 20—25, племенным 40—50; витамина D2 или D3 (ИЕ на 100 кг живой массы в сутки): крупному рогатому скоту 1000—1500, овцам 1000, свиньям 1000. Витамины группы В жвачным животным не нормируют, так как они почти полностью покрывают свою потребность в витаминах этой группы благодаря способности бактерий рубца синтезировать их. В рационе свиней нормируют (мг на 100 кг живой массы) витамина В2 — 10, B12 — 0,04, PP — 50—75. Потребность в витаминах для птицы рассчитывается на т концентратов: витамина А — 4,5 г, D2 — 30 млн. ИЕ, D3 — 1 млн. ИЕ, B12 — 12 мг, PP — 15 мг, В2 — 4 мг, пантотеновой кислоты —10 г, холин-хлорида — 1000 г.
Основной источник витаминов для животных — корма. Поэтому для правильной организации кормления необходимо знать наряду с потребностью в витаминах содержание их в кормах. Нормирование витаминного питания животных осуществляют подбором кормов, обогащением рационов витаминными кормами или концентратами витаминов, выпускаемыми промышленностью. В состав комбикормов, выпускаемых промышленностью, включают все необходимые витамины.
Лит.: Коутс М. Е. [и др.]. Витамины в питании животных, в кн.: Новое в кормлении сельскохозяйственных животных. Сб. переводов, т. 2, М., 1958; Букин В. Н., Проблема витаминов в животноводстве и пути её решения, в кн.: Вопросы химизации животноводства, М., 1963; его же. Витамины в животноводстве, М., 1966.