Глюкоза

ГЛЮКОЗА (от греч. glykys-сладкий), мол. м. 180,6; моносахарид сладкого вкуса, относящийся к группе альдогексоз. Содержится в живых организмах как в своб. виде, так и в виде эфиров фосфорной к-ты. Ее остаток входит в состав мн. олигосахаридов (сахарозы, лактозы и др.), полисахаридов (крахмала, гликогена, целлюлозы и др.), гликопротеинов, гликолипидов, липополисахаридов, гликозидов и производных нуклеотидов.

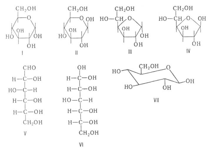
В природе встречается только D-глюкоза, к-рая выделена в виде двух аномеров:1116-41.jpg и1116-42.jpgглюкопиранозы (соотв. ф-лы I и II). Первая кристаллизуется из воды в виде моногидрата с т. пл. 83°С; для безводной формы т. пл. 146°С,1116-43.jpg + 112,2° (вода).1116-44.jpgАномер кристаллизуется из пиридина или нек-рых др. р-рителей; его т. пл. 148-150°С,1116-45.jpg +18,9° (вода). В водном р-ре устанавливается динамич. равновесие между неск. таутомерами:1116-46.jpg и1116-47.jpgформами D-глюкофуранозы (ф-лы соотв. III и IV) и D-глюкопиранозы, открытой альдегидной (V) и ее гидратной формой (VI). Содержание1116-48.jpg и1116-49.jpgглюкопираноз составляет соотв. ок. 64 и 36%, др. таутомеров - менее 1%. Равновесное1116-50.jpg +52,7°. Самый устойчивый таутомер-1116-51.jpg-глюкопираноза в конформации кресла (ф-ла VII).

При восстановлении D-глюкозы образуется сорбит, при окислении альдегидной группы - D-глюконовая к-та, при окислении последней-двухосновная сахарная к-та (дополнительно окисляется первичная гидроксигруппа), при окислении только первичной гидроксигруппы (при защите альдегидной)-D-глюкуроновая к-та.

Осн. пути метаболизма D-глюкозы: 1) гликолиз и аэробное окисление до СО2 и Н2О, в результате к-рых образуются АТФ и др. макроэргич. соединения; 2) синтез олиго- и полисахаридов; 3) превращение в пентозы и др. простые сахара в пентозофосфатном цикле. О биосинтезе D-глюкозы см. Глюконеогенез.
1116-52.jpg

В пром-сти глюкозу получают кислотным или ферментативным гидролизом картофельного или кукурузного крахмала. Практич. интерес представляет разработка способов получения глюкозы из целлюлозосодержащих отходов с. х-ва и бумажной пром-сти.

Количественно глюкозу определяют спектрофотометрич., поляриметрич. и хроматографич. методами. При газохроматографич. определении глюкозу предварительно переводят в более летучие соед., напр. в ацетаты сорбита или нитрил глюконовой к-ты. наиб. специфич. метод определения D-глюкозы-ферментативный, для проведения к-рого используют фермент глюкозооксидазу, катализирующую в аэробных условиях окисление1116-53.jpg . с образованием1116-54.jpgглюконолактона и Н2О2. Выделившиеся продукты количественно определяют разл. методами.

Глюкозу применяют в медицине как питательное в-во и компонент кровозаменяющих и противошоковых жидкостей, в пищ. пром-сти, в произ-ве аскорбиновой и глюконовой к-т, биотина и др. Брожение глюкозы, содержащейся в соке винограда и фруктов, - одна из стадий в произ-ве вина, а содержащейся в гидролизатах крахмала и древесины - в произ-ве этанола.

Литература

Производство кристаллической глюкозы из крахмала, М, 1967; Химия углеводов, М., 1967; Методы исследования углеводов, пер. с англ., М., 1975; С тепа нен ко Б. Н., Химия и биохимия углеводов (моносахариды), М., 1977; Кендыш И.Н., Регуляция углеводного обмена, М., 1985. Л.И.Линевич.

Синонимы/примеры:* Декстроза; Виноградный сахар; Глюк; Д-глюкоза; α-D-глюкопираноза
*подобраны ИИ, возможны неточности