Рибофлавин
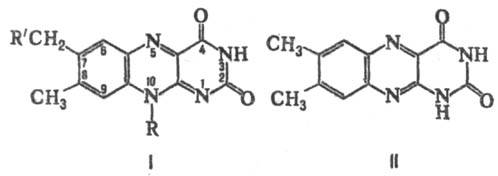
РИБОФЛАВИН [витамин В2, лактофлавин, 7,8-диметил-10-(1'-D-рибитил)изоаллоксазин; ф-ла Iа], мол. м. 376,37: желто-оранжевые кристаллы; т. пл. 282 °С (с разл.);
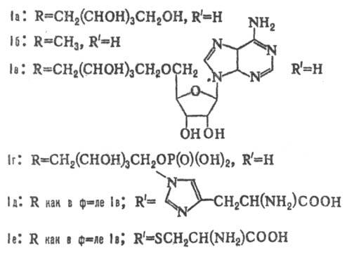
-70°(0,06%-ный р-р в 0,1 М NaOH; в нейтральных р-рах оптич. вращение не. наблюдается); плохо раств. в воде (0,12 мг/мл при 27 °С) и этаноле, не раств. в ацетоне, диэтшговом эфире, хлороформе, бензоле. В водных р-рах lмакс 445, 374, 268 и 223нм (e соотв. 12,3·103; 10,8·103; 31,4·103 и 30,1·103). Рибофлави. флуоресцирует в желто-зеленой области (l возбуждения ок. 450 нм, l излучения 565 нм) с наиб. интенсивностью при рН 6-8. Рибофлавин стабилен в кислой и быстро разрушается в щелочной среде; под действием света в щелочной среде расщепляется с образованием люми-флавина (16), в нейтральной или кислой среде-с образованием люмихрома (II).


Биол. роль рибофлавина определяется его участием в качестве предшественника коферментов (т. наз. флавиновых ко-ферментов)-флавинадениндинуклеотида (ФАД, FAD; ф-ла Iв); флавинмононуклеотида, или рибофлавин-5'-фосфа-та (ФМН, FMN; Iг); 8a-(3-N-L-гистидил)- и 8a-(5-L-цистеи-нил)флавинадениндинуклеотида (соотв. ф-лы Iд и Iе). Эти коферменты (гл. обр. ФАД) входят в большое число важнейших окислит.-восстановит. ферментов (флавиновые ферменты, флавиновые оксидоредуктазы, или флавопротеиды).
Флавиновые ферменты принимают участие в окислении жирных к-т; в окислит. декарбоксилировании пировиноград-ной и a-кетоглутаровой к-т; окислении янтарной к-ты в цикле трикарбоновых к-т (сукцинатдегидрогеназа).
Кроме того, к этой группе ферментов относятся моно-аминоксидазы-осн. ферменты катаболизма биогенных амидов и, прежде всего, катехоламинов; ксантиноксидаза, катализирующая окисление пуринов до мочевой к-ты; альде-гидоксидазы, окисляющие и инактивирующие высокотоксичные альдегиды; оксидазы D-аминокислот, расщепляющие в организме чужеродные D-изомеры аминокислот, образующиеся в результате жизнедеятельности бактерий; оксидаза пиридоксолфосфата и дигидрофолатредуктаза, участвующие в синтезе коферментных форм витамина В6 (пиридоксальфосфата) и фолацина (тетрагидрофолиевой к-ты); глутатионредуктаза и метгемоглобинредуктаза, поддерживающие в восстановленном состоянии глутатион и гемоглобин.
Во всех этих ферментах коферменты функционируют как промежут. переносчики электронов и протонов, отщепляемых от окисляемого субстрата. Флавопротеиды передают эти электроны и протоны никотинамидным коферментам (см. Ниацин)или цитохрому с (НАДН-цитохром С-редук-таза), обеспечивая тем самым поток электронов по пути окислительного фосфорилирования с ресинтезом АТФ. Флавопротеиды др. типа переносят электроны и кислород непосредственно на воду с образованием Н2О2 (оксидаза D-аминокислот, моноаминоксидаза, пиридоксинфосфаток-сидаза), к-рая разлагается затем каталазой. В этом случае окисление субстрата не сопровождается ресинтезом АТФ и значение р-ции определяется детоксикацией окисляемого в-ва или важностью образующегося продукта.
Мол. механизм осуществляемого переноса атомов H заключается в их обратимом присоединении в положения 1 и 5:

Образование коферментных форм рибофлавина в организме происходит с участием АТФ и ряда ферментов. Так, флаво-киназа катализирует синтез ФМН (АДФ-аденозиндифос-фат):
Рибофлавин + АТФ : ФМН + АДФ
Флавиннуклеотидфосфорилаза осуществляет синтез ФАД из ФМН и АТФ:
ФМН + АТФ : ФАД + пирофосфат
Внеш. проявлениями недостаточности рибофлавина являются поражения слизистой оболочки губ с вертикальными трещинами и слущиванием эпителия (хейлоз), изъязвления в углах рта (ангулярный стоматит), отек и покраснение языка (глоссит), себорейный дерматит на носо-губной складке, крыльях носа, ушах, веках. Часто развиваются также изменения со стороны органов зрения: светобоязнь, васкуляризация роговой оболочки, конъюнктивит, кератит и в нек-рых случаях-катаракта. В ряде случаев при авитаминозе имеют место анемия и нервные расстройства, проявляющиеся в мышечной слабости, жгучих болях в ногах и др.
Осн. причины недостатка рибофлавина, у человека-недостаточное потребление молока и молочных продуктов, являющихся главным источником этого витамина, хронич. заболевания желудочно-кишечного тракта, прием медикаментов, являющихся антагонистами рибофлавина (напр., акрихин и его производные)
Содержание рибофлавина в продуктах питания (мг/100 г продукта) яйца (0,80), молоко (0,18-0,13), творог (0,40-0,50), мясо (0,15-0,17), печень и почки (3,64-4,66), гречневая крупа (0,24), дрожжи (2,07-4,0). Очищенный рис, макаронные изде-лия и белый хлеб так же, как и большинство фруктов и овощей, бедны рибофлавином (0,03-0,05).
В пром-сти рибофлавин получают хим. синтезом из 3,4-диметил-анилина и рибозы или микробиологически, напр. с использованием гриба. Eremothecium ashbyi.
Препараты рибофлавина и ФМН применяют для профилактики и лечения арибофлавиноза (недостаточности витамина В2), при кожных заболеваниях, вяло заживающих ранах, заболеваниях глаз, нарушениях ф-ции желудочно-кишечного тракта, диабете, анемиях, циррозе печени.
Рибофлавин в комплексе с тиамином и ниацином используют для витаминизации муки высшего и первого сорта, бедной этими витаминами из-за их потери с отрубями.
Суточная потребность взрослого человека в рибофлавине 1,5-2,5 мг.
Лит.: Розанов А. Я., в кн.: Экспериментальная витаминология, Минск, 1979, с. 224-66; Vitamins. Chemistry, physiology, pathology, methods, 2 ed., ed. by W.H. Sebrell, P.S. Harris, v. 5, N.Y.- L., 1972; Cooperman J. M., Lopez R., в кн.: Handbook of vitamins. Nutritional, biochemical and clinical aspects, ed. by L. Y. Machlin, N.Y.- Basel, 1984, p. 299-327. В. Б. Спиричев.