Нафтохиноны
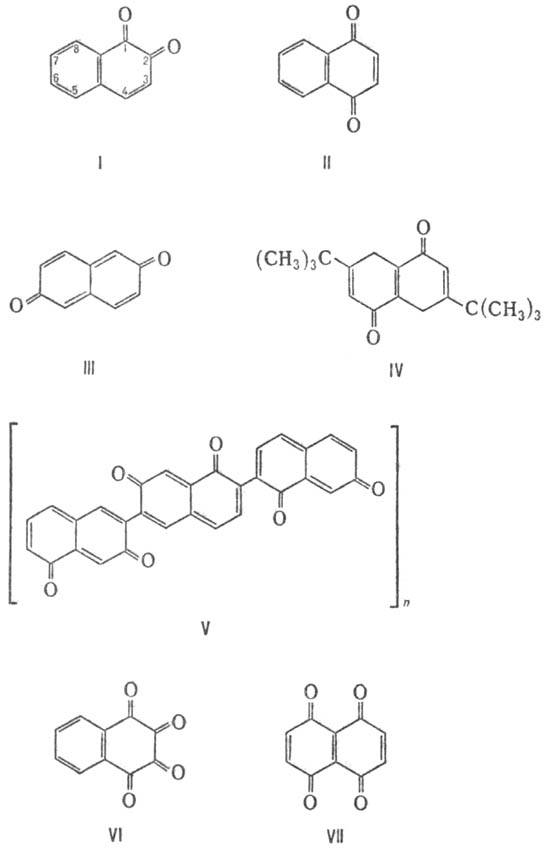
НАФТОХИНОНЫ, хиноны нафталинового ряда. Среди монохинонов в своб. виде существуют 1,2-(a-), 1,4-(b-) и 2,6-(амфи-)нафтохиноны (ф-лы I-III соотв.); незамещенный 1,5-нафтохинон нестабилен, известен в виде 3,7-бис-(трет-бутил)-1,5-нафтохинона (ф-ла IV); 1,7-нафтохинон существует в виде полинафгохинона (V). Из дихинонов в своб. виде существуют 1,2,3,4- и 1,4,5,8- нафто-дихиноны (VI и VII соотв.).
Нафтохиноны-кристаллы от желтого до красно-желтого цвета (см. табл.); хорошо раств. в полярных орг. р-рителях, плохо-в воде; соед. II перегоняется с паром.
Нафтохиноны по хим. св-вам аналогичны бензохинонам. Сильные окислители; легко восстанавливаются до соответствующих гидрохиноноп. 1,4- и 2,6-нафтохиноны образуют с соответствующими гидрохинонами хингидроны-соотв. зеленые (т. пл. 123-124°С) и сине-зеленые кристаллы (т. пл. 125-126°С). С гид-роксиламином дают оксимы; 1,2-нафтохинон и 1,2,3,4-нафтохинон с 1,2-фени-лендиамином образуют конденсир. производные феназина.
СВОЙСТВА НЕКОТОРЫХ НАФТОХИНОНОВ


Соед. I и II под действием (СН3СО)2О в H2SO4 превращ. в 1,2,4-триацетоксинафталин; в СН3СООН (кат.-I2) присоединяют Сl2 или Вr2 с образованием 3,4-дигалоген-1,2-нафто-хинона и 2,3-дигалоген-1,4-нафтохинона соотв.; под действием щелочного р-ра Н2О2 или О2 воздуха окисляются до 2-гидрокси-1,4-нафтохинона (см. также Оксинафтохиноны). 1,2-Нафтохинон нитруется смесью HNO3 и H2SO4 и бромируется по положению 3; разб. HNO3 окисляется до фталевой к-ты; при нагр. с р-ром Na2SO3 образует 3,4-дигидроксинафталин-1-сульфокислоту.
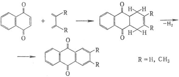
1,4-Нафтохинон нитруется до смеси 5-(выход 70%) и 6-нитро-производных, под действием конц. HNO3 в СН3СООН окисляется до фталевой к-ты и 5-гидрокси-1,4-нафтохинона; с солями арилдиазония образует 2-арил-1,4-нафтохиноны; вступает в диеновый синтез с бутадиеном или его замещенными с образованием тетрагидроантрахинонов, к-рые де-гидрируются (напр., фталевым ангидридом) до антрахино-нов:

В пром-сти 1,4-нафтохинон получают гл. обр. газофазным или жидкофазным окислением нафталина. В первом случае окисление проводят О2 или воздухом при 250-450 °С, давлении 0,1-1 МПа (кат.-V2О5, V2O5-Al2O3, ZrO2, SiO2-WO3, В2О3, фосфаты щелочных металлов); во втором - действием Na2Cr2O7 в H2SO4 или в СН3СООН (выход 50%). При газофазном окислении осн. побочный продукт р-ции-фта-левый ангидрид. Др. метод получения - окисление 1-нафтола действием О2 в ДМФА (кат.-комплекс Со-салкомин, выход 90%). 1,2-Нафтохинон и 1,4-нафтохинон могут быть также получены окислением соответствующих нафталиндиолов, аминонафтолов или нафтилендиаминов действием FеСl3 в разб. НСl или Сr2О3. 2-Метил-1,4-нафтохинон получают окислением 2-метилнафталина солями хромовой к-ты (выход 85-90%).
2,6-Нафтохинон синтезируют окислением 2,6-нафталиндиола РbО2 в бензоле, соед. IV-действием 2,3-дихлор-5,6-дициано-1,4-бензохинона на 3,7-бис-(тpет-бутил)-1,5-нафталин. Нафто-хиноны ф-л VI и VII м. б. получены окислением соотв. 2,3-дигидрокси- и 5,8-дигидрокси-1,4-нафтохинонов под действием HNO3 в СН3СООН, FеСl3 в разб. НСl или РbО2 в бензоле; полинафтохинон V- окислением 1,7-нафталин-диола разб. HNO3 или О2 при 350 °С.
Нафтохиноны и их производные имеют большое практич. значение. 1,4-Нафтохинон -промежут. продукт в синтезе кубовых красителей и антрахинонов; катализатор в произ-ве синтетич. каучука и полиакрилатов; ингибитор коррозии. 2-Метил-1,4-нафто-хинон - витамин К3; 2-хлорметил-1,4-нафтохинон - антибактериальный препарат. 2,3-Дихлор-1,4-нафтохинон -полупродукт в синтезе индантреновых красителей, фунгицид; 6-бром-1,2-нафтохинон (бонафтон)-противовирусный препарат; полинафтохинон-катализатор окислит. дегидрирования.
ПДК для 1,4-нафтохинона 0,1 мг/м3, для 2,3-дихлор-1,4-нафтохинона 0,5 мг/м3.
Лит.: Эфрос Л. С., Горелик М. В., Химия и технология промежуточных продуктов, Л., 1980, с. 459, 519; Ullmanns Encyclopedic, 4 Aufl., Bd 17, Weinheim, 1979. Н. Б. Карпова.