Витамин C

ВИТАМИН С, группа соед. - производных L-гулоновой к-ты, обладающих противоцинготной активностью. Важнейшие: L-аскорбиновая к-та (1075-17.jpgлактон 2,3-дегидро-L-гулоновой к-ты; ф-ла 1)-мол. м. 176,12; бесцв. кристаллы; т. пл. 190-192°С (с разл.);1075-18.jpg +23° (концентрация 1,6 г в 100 мл воды); хорошо раств. в воде (22,4%), хуже - в спирте (4,6%), плохо - в глицерине и ацетоне; рКа 4,17 и 11,57;1075-19.jpg 245 (рН < 7) и 265 нм (рН >7) и дегидроаскорбиновая к-та (1075-20.jpgлактон 2,3-дикето-L-гулоновой к-ты; II) - мол. м. 174,12; бесцв. кристаллы; т. пл. 237-240°С (с разл.);1075-21.jpg +55°; раств. в воде.

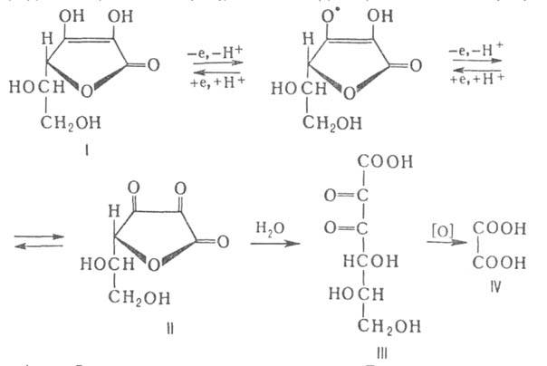
Аскорбиновая к-та устойчива в сухом виде в темноте. В водных р-рах, особенно в щелочной среде, быстро окисляется обратимо до дегидроаскорбиновой к-ты (окислит.-восстановит. потенциал + 0,058 В) и далее необратимо до 2,3-дикетогулоновой (III), а затем до щавелевой к-т (IV):
1075-22.jpg

Аскорбиновая к-та - восстановитель. С р-рами щелочей образует еноляты, с хлорангидридами высших жирных к-т -сложные эфиры, с катионами металлов (напр., Са2+, Mg2+ , Fe3+ ) - комплексы. Под влиянием НС1 превращ. в фурфурол. Аскорбиновая к-та синтезируется всеми хлорофиллсодержащими растениями, пресмыкающимися и земноводными. Беспозвоночные, рыбы, высокоорганизованные виды птиц и нек-рые млекопитающие (напр., человек, обезьяны, морские свинки, ряд летучих мышей) утратили способность к ее биосинтезу в результате потери в ходе эволюции способности этих организмов к синтезу ряда ферментов.

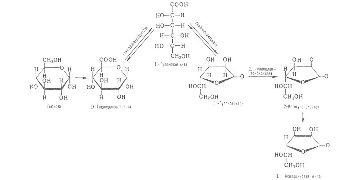
Биосинтез аскорбиновой к-ты происходит гл. обр. из глюкозы (см. рис.) или галактозы. Дегидроаскорбиновая к-та образуется из аскорбиновой. Катаболизм аскорбиновой к-ты у человека и животных протекает с образованием тех же продуктов, что и при ее окислении.

Витамин С необходим для построения межклеточного в-ва, регенерации и заживления тканей, поддержания целостности стенок кровеносных сосудов, обеспечения нормального гематологич. и иммунологич. статуса организма и его устойчивости к инфекции и стрессу. Биохим. механизмы его действия многообразны и до конца не раскрыты. Витамин С участвует: в функционировании ферментов, катализирующих гидроксилирование лизина и пролина, к-рое играет важную роль в образовании коллагена; в гидроксилировании дофамина с образованием при этом норадреналина; в метаболизме холестерина; в метаболизме катехоламинов и стероидных гормонов; в предохранении от окисления глутатиона и SH-групп белков; в восстановлении Fe3+ в Fe2+ , обеспечивающем всасывание Fe в кишечнике; в регуляции свободно-радикального окисления жирных кислот и др.
1075-23.jpg

Схема биосинтеза аскорбиновой к-ты из глюкозы.

У человека и животных содержание витамина С наиб. высоко в надпочечниках, печени и головном мозге. Он находится в организме в своб. виде, а также в виде комплексов, напр. с белками, нуклеиновыми к-тами, биофлавонои-дами (т. наз. аскорбигены). У растений особенно богаты этим витамином свежие овощи и фрукты. Содержание витамина С (мг на 100 г растения): в шиповнике (сухие плоды) 1200, в черной смородине 200, в красном перце 250, в зеленом перце и петрушке 150, в клубнике 60, в цитрусовых 40-60, в белокочанной капусте 50.

В пром-сти аскорбиновую к-ту получают из D-глюкозы, к-рую каталитически гидрируют до D-сорбита, последний микробиологически (с помощью Acetobacter suboxydans) окисляют до L-сорбозы. Ацетонированием последней получают 2,3,4,6-ди-О-изопропилиден-L-сорбозу, которую окисляют в диацетон-2-кето-L-гулоновую кислоту. Из последней получают аскорбиновую кислоту (выход около 50%).

Аскорбиновую к-ту применяют в медицине для лечения и профилактики авитаминозов (цинги) и гиповитаминозов. Потребность взрослых людей в витамине С колеблется в зависимости от возраста, пола и интенсивности труда от 48 до 108 мг/сут. Аскорбиновая к-та используется также как антиоксидант при произ-ве пищ. жиров и фруктовых соков, для предотвращения образования в мясных и колбасных изделиях канцерогенных нитрозаминов из нитритов, добавляемых к этим продуктам для сохранения их прир. цвета, для витаминизации молока и молочных продуктов и др. В аналит. химии аскорбиновая к-та применяется для определения окислителей [напр., Fe(III), Hg(II), Br2I] методами титриметрии и Р, Mo, Si и Fe(III) с помощью фотометрич. анализа.

Литература

Березовский В. М., Химия витаминов, 2 изд., М., 1973; Мату си с И. И., в кн.: Витамины, под ред. М.И.Смирнова, М., 1974, с. 384-414; Barnes М. J, Kodicek E., "Vitamins and Hormones", 1972, v. 30, 1972, p. 1-43; Lew in S., Vitamin C. Its molecular biology and medical potential, L.-[a. o.], 1976. И. Я. Конь, С. Г. Вериникина.

Синонимы/примеры:* Аскорбиновая кислота; Целаскон; Редоксон; Цевикап
*подобраны ИИ, возможны неточности
Ещё по теме
Витамин C — свойства и значение для организма
Аскорбиновая кислота — роль в питании и источники
Аскорбиновая кислота — свойства и применение
L-аскорбиновая кислота — всё о витамине C
Витамин С плюс — инструкция по применению
Витамин С — всё, что нужно знать
Витамин C — показания, противопоказания, побочные действия
Аскорбиновая кислота — свойства и применение
Аскорбиновая кислота — всё о витамине С
Аскорбиновая кислота — всё о витамине С
Аскорбиновая кислота — всё, что нужно знать
Аскорбиновая кислота — свойства и применение
Аскорбиновая кислота — всё, что нужно знать
Аскорбиновая кислота — свойства и применение
Витамин C — свойства и применение
Аскорбиновая кислота — свойства и применение
Аскорбиновая кислота — свойства и применение
Аскорбиновая кислота — свойства и применение
Аскорбиновая кислота — всё, что нужно знать