Стероиды
СТЕРОИДЫ, группа биологически важных прир. соед., в основе структуры к-рых лежит скелет циклопентанопер-гидрофенантрена (гонана, стерана; ф-ла I). Входят в состав всех растит. и животных организмов.

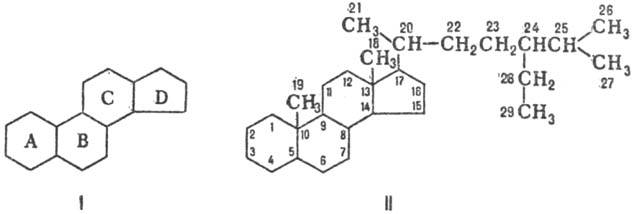
По номенклатуре ИЮПАК полная нумерация в стероидах производится так, как показано в ф-ле П. Если один или более атомов С отсутствуют, нумерация оставшейся части сохраняется. В формулах стероидов связи атомов или групп, располагающихся за плоскостью кольцевой системы (a-конфигурация), изображают пунктирной линией, атомы и группы, располагающиеся перед плоскостью (b-конфигурация), -жирной линией; связи с неопределенной конфигурацией обозначают волнистой линией. Назв. частично ненасыщенных стероидов производят от назв. насыщенных посредством окончания "ен". В названиях стероидов, содержащих внутри структуры трехчленное кольцо, вводится префикс "цикло" с цифровым указанием положения и стереохимией обозначения; общее назв. таких стероидов-циклостероиды.
Природные стероиды имеют транс- или цис-сочленение колец А и В, транс-сочленение колец В и С и обычно транс-сочленекие С и D. Циклогексановые кольца, как правило, находятся в энергетически выгодной конформации кресла. Большинство стероидов содержат гл. обр. группы СН3 у атомов С-10 и С-13, группу ОН (или кетогруппу) у атома С-3 и боковую цепь у атома С-17, содержащую до 8-10 атомов углерода.
В зависимости от структуры боковой цепи и наличия групп СН3 различают производные эстрана (ф-ла III), андростана (IV), прегнана (Vа), холана (Vб) и холестана (Vв).

В химии стероидов широко применяют также и тривиальные назв., напр. холест-5-ен-3b-ол наз. холестерином, 3a, 7a, 12а-тригидрокси-24-карбокси-5b-холан-холевой к-той.
Стероиды включают в себя стерты (стеролы), сапонины, стероидные алкалоиды, стероидные гормоны, желчные кислоты, желчные спирты, гликозиды сердечные, витамин D.
Все стероиды (подобно др. изопреноидам) объединяются одной схемой биогенеза: в живой клетке из уксусной k-ты через ацетилкофермент А и мевалоновую к-ту строятся изопрено-вые фрагменты -изопентенилпирофосфат и изомерный ему диметилаллилпирофосфат, к-рые путем конденсации образуют общий биогенетич. предшественник -сквален; эпоксид последнего при циклизации с послед. окислит. отщеплением неск. углеродных атомов превращается в стероид.
Стероиды выделяют из спинного мозга и желчи рогатого скота, из щелочного гидролизата дрожжей, растит. масел и животных жиров, отходов целлюлозно-бумажной пром-сти, синтезируют из неприродного сырья. Полный синтез осуществлен для мн. природных стероидов-холестерина, андрогенов, гестагенов, кортикостероидов, эстрогенов и др.
Стероиды-биол. регуляторы. Способность к биосинтезу стероидов наиб. выражена у высших позвоночных. Насекомые стероиды не вырабатывают, а получают с пищей, однако ф-ция их линьки контролируется стероидами.
Применяют стероиды гл. обр. в медицине (лек. ср-ва, гормоны и др.).
Лит.: Хефтман Э., Биохимия стероидов, пер. с англ., М., 1972; Мецлер Д., Биохимия, пер. с англ., т. 2, М., 1980, с. 578-93; Kirk-Othmer encyclopedia, 3 ed., v. 21, N. Y.-[а.о.], р. 645-729. И.В. Торгов.