Бензимидазол

БЕНЗИМИДАЗОЛ, мол. м. 118; бесцв. кристаллы, т. пл. 172°С;1050-37.jpg 13,42*10-30 Кл*м (25°С, диоксан); раств. в воде, спиртах, разб. к-тах и щелочах, тру дно-в неполярных р-рителях. Амфотерен: рКапри 25°С в воде 5,53 и 13,2. Молекулы ассоциированы благодаря водородной связи —NH...NH=. Положения 4 и 7, а также 5 и 6 равноценны вследствие равновесия между таутомерами I и II:
1050-38.jpg

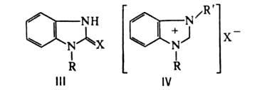
С ионами нек-рых металлов (Ag, Co, Си и др.) бензимидазол образует в аммиачном р-ре соли. Бензимидазол устойчив к действию окислителей, но СrO3 в 80%-ной H2SO4 при 80°С окисляет его до имидазол-4,5-дикарбоновой к-ты. Сплавление с S превращает бензимидазол в бензимидазол-2-тион, 1-алкилбензимидазолы - в его 1-алкилзамещенные (ф-ла III, X = S, R = А1К). Бензимидазол алкилируется алкилгалогенидами и диалкилсульфатами в присут. щелочей в положение 1. При алкилировании N-алкилбензимидазолов образуются соли 1,3-диалкилбензимидазолия (ф-ла IV). Арилирование бензимидазола в положение 1 с помощью галогенаренов протекает обычно в жестких условиях. Действием ацилхлоридов и ангидридов к-т получают N-ацилпроизводные. Бензимидазол нитруется смесью HNO3 и H2SO4 в положение 5. При сульфировании образуется 5(6)-сульфокислота. Нуклеоф. замещение протекает в положении 2 лишь с N-производными бензимидазола. При нагревании с NaNH2 в диметиланилине образуются 2-аминопроизводные бензимидазола, при сплавлении с КОН-бензимидазолоны (ф-ла III, X = О). Металлирование (напр., фенилнатрием) идет в положение 2.
1050-39.jpg

При взаимод. o-фенилендиамина с НСООН образуются бензимидазолы, с RCOOH в присут. НС1-2-алкилбензимидазолы, с АrСНО и ацетатом Сu(1)-2-арилбензимидазолы (р-ция Вайденхагена). Сам бензимидазол не находит пром. применения, однако его производные являются лек. ср-вами (напр., дибазол), фунгицидами (напр., беномил) и др. См. также Полибензимидазолы.

Литература

ШипперЭ., ДэйА., в кн.: Гетероциклические соединения, пер. с англ., т. 5, М., 1961, с. 161-241; Пожарский А.Ф. [и др.], "Успехи химии", 1966, т. 35, № 2, с. 261-302; Preston P.M., "Chem. Revs.", 1974, v. 74, № 3, p. 279-314; его же, The chemistry of heterocydic compounds, v. 40 (Ц Edinburgh, 1981, p. 1-285. А. М. Симонов.

Синонимы/примеры:* 2-фенил-1H-бензимидазол; 1H-бензимидазол; 1,3-бензодиазол
*подобраны ИИ, возможны неточности