Нитрилы
НИТРИЛЫ, орг. соед., содержащие одну или неск. циано-групп —C=N, связанных с орг. радикалом. Изомерны изонитрилам
.
Атомы С и N в цианогруппе имеют sp-гибридизацию; длины связей, напр. для CH3CN, 0,1468 нм (С—С) и 0,116 нм (C=N); средняя энергия связи C=N 672 кДж/моль. Обладает отрицат. индукционным и мезо-мерным эффектами (индукц. константа Тафта s* 3,6; константы Гаммета sм 0,56; sn 0,66; sn- 1,00; s+ 0,659).
Названия нитрилов обычно производят от назв. соответствующей карбоновой к-ты, напр. СН3СК-ацетонитрил (нитрил уксусной к-ты), КС(СН2)4СН-адиподинитрил. Часто нитрилы рассматривают как производные синильной к-ты - цианиды (напр., СН2=СНСН2СМ-аллилцианид) или цианозамещен-ные углеводороды (напр., НС(СN)3-трицианометан).
Физические свойства. Нитрилы-бесцв. жидкости или твердые в-ва. Физ. свойства нек-рых важнейших нитрилов приведены в таблице.
ФИЗИЧЕСКИЕ СВОЙСТВА НЕКОТОРЫХ НИТРИЛОВ

* При 41 °С. ** При 45 °С. *** При 12 мм рт.ст.
Нитрилы плохо раств. в воде (за исключением низших алифатических нитрилов), хорошо раств. во многих орг. р-рителях.
В ИК спектрах нитрилов и спектрах комбинац. рассеяния присутствует характеристич. полоса при 2220-2270 см-1.
Химические свойства. Электронное строение нитрилов может быть представлено с помощью резонансных структур:

В соответствии с этим нитрилы вступают в р-ции с электрофилами (по атому N) и нуклеофилами (по атому С). Они также образуют комплексы с солями металлов (напр., CuCl, NiCl2, SbCl5 и др.) с участием неподеленной пары электронов атома N. Благодаря ненасыщенности и легкой поляризуемости цианогруппа активирует связанный с ней орг. радикал, напр. облегчает диссоциацию связи С—Н у a-углерод-ного атома, а благодаря незначит. стерич. эффекту обеспечивает легкость р-ций присоединения по связи C=N.
В апротонной среде при низкой т-ре нитрилы реагируют с галогеноводородами, образуя нитрилиевые соли (ф-ла I) и соли имидоилгалогенидов(II):

Через образование нитрилиевых солей проходит гидратация нитрилов в кислой среде до амидов и далее гидролиз до карбоновых к-т:

Амиды образуются также при гидратации нитрилов в щелочной среде (послед. гидролиз амидов приводит к солям соответствующих карбоновых к-т) и при действии на нитрилы Н2О2 (Рад-зишевского реакция):

Р-ции нитрилов со спиртами в присут. кислого катализатора -метод синтеза гидрогалогенидов имидоэфиров (см. Пиннера реакции); гидролиз последних приводит к сложным эфирам:

При замене спирта на тиол R'SH образуются соли тио-имидатов
и эфиры тиокарбоновых к-т RC(O)SR'.
Обработка нитрилов H2S позволяет получать с хорошим выходом тиоамиды RC(S)NH2.
При нагревании нитрилов с карбоновыми к-тами R'COOH образуются имиды RCONHCOR'. Иногда имеет место миграция цианогруппы (перенитрилирование):

При действии галогеноводородов (НСl или НВr) на смесь нитрилов с карбоновыми к-тами получают гидрогалогениды амидов, а также ангидриды или галогенангидриды карбоновых к-т:

Р-ция нитрилов с аммиаком, первичными или вторичными аминами приводит к амидинам RC(NHR')=NH, с гидроксил-амином-к амидоксимам RC(NH2)=NOH, с гидразоном-к амидразонам RC(NH2)=NNH2.
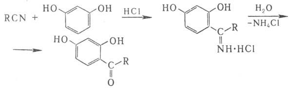
При взаимодействии нитрилов с фенолами и НСl образуются соли кетиминов, при гидролизе превращающиеся в соответствующие гидроксикетоны (Хеша реакция):

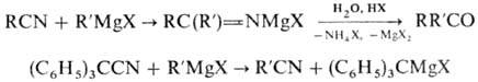
Взаимодействие нитрилов с магнийорг. соед. приводит к N-маг-нийзамещенным кетиминам, при кислотном гидролизе к-рых образуются кетоны. Если орг. радикал в молекуле нитрила обладает электроноакцепторными св-вами или пространственно затрудняет присоединение R'MgX по связи C=N, имеет место р-ция обмена:

Присоединением к нитрилам РСl5 получают фосфазосоединения (иминофосфораны). Аналогично присоединяются к нитрилам че-тырехфтористая сера, тетрафторгидразин и фторид хлора, напр.: .

Нитрилы реагируют с олефинами и их функцией, производными (ненасыщ. к-ты, их эфиры и др.) в присут. кислотного катализатора, образуя замещенные амиды (Риттера реакция); вступают в р-цию Дильса - Альдера, напр.:

При использовании в качестве диенофила перфторалкил-цианидов RFCN или дициана р-ция циклоприсоединения идет без катализатора с количеств. выходом.
При действии на нитрилы азотистоводородной к-ты образуются тетразолы:

Ароматические нитрилы, а также нитрилы, содержащие в орг. радикале электроноакцепторные группы, в присут. кислотных катализаторов превращ. в сим-триазины, напр.:

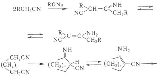
В присут. оснований нитрилы димеризуются с образованием иминонитрилов (или енаминонитрилов) (Торпа-Циглера реакция). Из динитрилов с помощью этой р-ции получают циклич. кетоны:


Одна из важнейших р-ций нитрилов-восстановление, протекающее ступенчато через промежут. образование альдиминов:

Для восстановления нитрилов до аминов наиб. часто применяют каталитич. гидрирование на Pt или Pd при давлении 0,1-0,3 МПа и 20-50 °С или на Ni или Со при 10-25 МПа и 100-200 °С. Для подавления образования вторичных и третичных аминов добавляют NH3. В качестве восстановителей используют также металлич. Na в этаноле, комплексные гидриды металлов и бора, напр. LiAlH4 , NaBH4 и др. При восстановлении нитрилов SnCl2 в присут. НСl образуются соли альдиминов, гидролиз к-рых приводит к альдегидам (Сте-фена реакция):

При использовании диалкилалюминийгидридов Alk2AlH, а также при каталитич. восстановлении нитрилов на Ni-Ренея в присут. гипофосфита натрия в водной СН3СООН или в смеси СН3СООН с пиридином можно остановить восстановление нитрилов на стадии образования альдимина. Напротив, в жестких условиях, напр. при 250-300 °С на смеси оксидов Сu и Ni, протекает гидрогенолиз нитрилов:

Электролитич. восстановление нитрилов на катодах с высоким перенапряжением водорода или на Ni-Ренея, удерживаемом в магн. поле, обеспечивает высокую селективность восстановления до первичных аминов с выходом более 80%.
К важнейшим р-циям нитрилов по орг. радикалу относят: взаимод. с карбонильными соед. с образованием цианооле-финов (см. Кнёвенагеля реакция), присоединение разл. нуклеофилов к а,р-ненасыщенным нитрилам, напр. к акрилонит-рилу, и полимеризацию (см. Полиакрилонитрил):

Основные методы получения. 1) Дегидратация амидов RCONH2, аммониевых солей карбоновых к-т RCOONH4 или альдоксимов RCH=NOH (см. Бекмана перегруппировка)при нагр. с Р2О5, РСl5, РОСl3 или SOCl2. В пром-сти р-цию обычно проводят в присут. катализаторов дегидратации (Н3РО4 и ее соли) в атмосфере NH3 , напр.:

2) Алкилирование солей синильной к-ты:

При алкилировании алкил- и аралкилгалогенидами широко применяют межфазный катализ, напр. при пром. получении бензилцианида.
Ароматические нитрилы получают взаимод. арилгалогенидов с CuCN или сплавлением солей сульфокислот с NaCN, напр.:

Используют также р-цию солей диазония с цианидами К или Си (см. Зандмейера реакция), взаимод. ароматич. углеводородов с хлорцианом или трихлорацетонитрилом в присут. АlСl3:

3) Присоединение HCN по кратным связям (используют для получения промышленно важных нитрилов), напр.:

Циангидрины получают присоединением HCN к карбонильным соед. или эпоксидам в присут. оснований (см. Оксинитрилы).
4) Совместное окисление углеводородов и NH3 кислородом воздуха при 400-500 °С в присут. молибдатов и фосфо-молибдатов Bi, молибдатов и вольфраматов Те и Се и др. катализаторов (см. Окислительный аммонолиз):

Для окисления м. б. использованы спирты и альдегиды, напр.:

Нитрилы образуются также при действии окислителей на амины:

5) Теломеризация олефинов с галогеноцианидами или р-ция последних с магнийорг. соед.:

Анализ и применение. Для анализа нитрилов используют физ.-хим. методы, восстановление нитрилов на капельном ртутном электроде позволяющее определять их в концентрации до 10-3-10-5 %, а также хим. методы, напр. щелочной гидролиз нитрилов с послед. количеств. определением NH3.
Применяют нитрилы в качестве р-рителей, инициаторов радикально-цепной полимеризации и теломеризации, сырья в произ-ве волокнообразующих полимеров и смол (см. По-лиакрилонитрильные волокна, Полиамидные волокна), пластификаторов, лек. в-в и пестицидов.
Нитрилы ядовиты и при работе требуют мер предосторожности (ср-ва индивидуальной защиты, приточно-вытяжная вентиляция). Нитрилы или их отходы уничтожают щелочным гидролизом или при действии окислителей (р-ры Н2О2 или КМnО4). Механизм токсич. действия нитрилов связан с их способностью нарушать ф-цию фермента цитохромоксидазы, подавляя процесс переноса кислорода из крови к клеткам организма. Отравление может произойти при вдыхании паров нитрилов, при попадании их в желудочно-кишечный тракт или через кожу. Противоядия-амилнитрит, Na2S2O3, глюкоза (см. Синильная кислота).
Объем произ-ва важнейших нитрилов приближается к 5 млн. т/год. См. также Акрилонитрил, Адиподинитрил, Ацетонит-рил, Бензонитрил и др.
Лит.: Бобков С. С., Смирнов С. К., Синильная кислота, М., 1970; Зильберман Е. Н., Реакции нитрилов, М., 1972; Общая органическая химия, пер. с англ., т. 3, М., 1982; Kirk-Othmer encyclopedia, 3 ed., v. 15, N.Y., 1981.
С. К. Смирнов.