Аминонитрилы

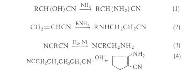
АМИНОНИТРИЛЫ (нитрилы аминокарбоновых к-т), орг. соед. общей ф-лы H2NRCN. Жидкости или твердые в-ва; хорошо раств. в орг. р-рителях, хуже - в воде; горючи, токсичны. Для них характерны типичные р-ции аминов и нитрилов, напр. гидролиз до аминокислот H2NRCOOH, восстановление в диамины H2NRCH2NH2, алкилирование аминогруппы. Осн. методы получения аминонитрилов: действие NH3 или аминов на гидроксинитрилы (ур-ние 1) и ненасыщ. нитрилы (2), восстановление динитрилов (3) и их циклизация по Торпу-Циглеру (4):
1026-70.jpg

Аминонитрилы - исходные в-ва и промежут. продукты в лаб. и пром. синтезе аминокислот, витаминов, лек. и моющих в-в, мономеров. Напр., гидролиз1026-71.jpgаминокапронитрила используют в одном из синтезов1026-72.jpgкапролактама.

Литература

Зильберман Е. Н, Реакции нитрилов, М., 1972; Taylor E. С, McKillop A, The chemistry of cyclic enaminonitriles o-aminonitriles, N. Y., 1970. С. К. Смирнов.

Синонимы/примеры:* 2-аминонитрилы; α-аминонитрилы
*подобраны ИИ, возможны неточности