Давление
ДАВЛЕНИЕ, физ. величина, характеризующая интенсивность нормальных (перпендикулярных к пов-сти) сил, с к-рыми одно тело действует на пов-сть другого. Давление - один из основных параметров состояния термодинамич. системы, входящий в уравнения состояния (вместе с т-рой и уд. объемом). При равномерном распределении сил вдоль пов-сти давление р определяется как сила F, действующая по нормали к пов-сти на площадь S: р = F/S. Если распределение сил по пов-сти неравномерно, рассматривают давление в данной точке:
Единица давления в системе СИ-паскаль (Па); 1 Па = 1 Н/м2. В кач-ве единиц давления используют также бар, атмосферу и кгс/см2; 0,1 МПа =1 бар = 1,0197 кгс/см2 = 0,98692 атм. Нормальное давление-101325 Па.
При сжатии газов и жидкостей прилагаемая нагрузка распределяется в в-ве изотропно, т.е. давелние по всем направлениям одинаково (гидростатич. давление). При сжатии твердых тел возникающие в объеме тела напряжения обычно распределяются неравномерно. В этом случае под давлением в данной точке понимают среднее арифметическое нормальных напряжений, действующих в трех взаимно перпендикулярных направлениях.
Давление условно делят на низкие, умеренные, высокие и сверхвысокие. Диапазон давления, наз. высокими, различен в разных областях науки и техники. В химии обычно высокими считают давление свыше 100 МПа. Различают статические давления, существующие при длительных режимах сжатия, и динамические, действующие кратковременно, напр. при взрыве. Диапазон высоких давлений, встречающихся в природе, весьма широк. Статич. давление, обусловленное гравитационным полем Земли, достигает в глубинах океана 100 МПа, в центре Земли-360 ГПа. На звездах (белые карлики) статическое давление составляет 1010-1012 ГПа. В пром-сти освоены статич. давления 6-8 ГПа, в лаб. условиях достигнуто давление 170 ГПа. Сжатие в-ва в статическом режиме может осуществляться при высоких температурах (~ 3000 К), а также при дополнительном наложении напряжений сдвига, вызывающих пластическую деформацию. Динамич. давления, при к-рых выполняются физ.-хим. исследования конденсированных систем, достигают 500 ГПа.
Давление до 1 ГПа обычно измеряют манометрами, свыше 1 ГПа-датчиками из сплавов металлов (напр., манганина), электрическое сопротивление которых зависит от давления.
Сведения о влиянии высоких давлений на физ.-хим. св-ва в-в появились в 19 в. Систематич. изучение поведения в-в при высоких давлениях было начато в 20-х гг. 20 в. Основополагающие результаты в этой области были получены П. Бриджменом. В СССР аналогичные исследования были начаты в 30-е гг. Важную роль в развитии исследований физ. и хим. процессов сыграли работы Л. Ф. Верещагина с сотр. В данной статье рассматривается действие на в-во статич. давления; о физ.-хим. исследованиях при динамич. давление см. в ст. Взрыв, Ударных труб метод.
Влияние давления на физ. св-ва в-в. Непосредственным результатом действия давления является сжатие в-ва, т. е. изменение его объема вследствие изменения межатомных (межмолекулярных) расстояний. Способность в-ва изменять свой объем под действием давления характеризуется сжимаемостью. С увеличением давления плотность газов растет и при давлении порядка сотен МПа приближается к плотности жидкостей. При 1 ГПа плотность большинства жидкостей возрастает на 20-30% по сравнению с плотностью при нормальном давлении Для многих металлов при 10 ГПа плотность возрастает на 6-15%, для др. твердых тел-на 15-25%. Изменение объема жидкости или сильно сжатого газа в интервале давлений от нек-рого начального р0 до значения р м. б. описано ур-нием Тейта:
где V0 и V-объем в-ва при давлении р0 и р соотв., С и В-эмпирич. постоянные.
Вязкость жидкостей увеличивается с давлением (см. рис. 1). Ди-электрич. проницаемость
в-ва обычно возрастает с давлением, что обусловлено в основном изменением плотности. Для многих в-в зависимость
от давления удовлетворительно описывается ур-нием:
где и
-диэлектрич. проницаемость при давлении р и 1
атм, А и В-эмпирич. постоянные. Т-ры плавления tпл подавляющего большинства в-в повышаются с давлением (см. рис. 2). Исключения-вода, Bi, Ga, Ge и нек-рые другие в-ва, плотность к-рых в твердой фазе ниже, чем в жидкой. Однако и у этих в-в по достижении давления перехода твердой фазы с низкой плотностью в др. кристаллич. модификацию с плотностью большей, чем у жидкости, начинается рост tпл с давлением. Для описания зависимости tпл от давления широко используют ур-ние Саймона:
где ртр и tтр-давление и т-ра тройной точки в-ва, а и с-эмпирич. постоянные.
Под давлением твердые тела нередко претерпевают полиморфные переходы. Так, при 20 °С и 5,5 ГПа Ва с кубич. объемноцентрированной решеткой переходит в гексагональную модификацию типа Mg. Другие примеры-фазовые переходы Т1 при 3,7 ГПа, КС1 при 2 ГПа, AgCl при 9 ГПа, нафталина при 2,5 ГПа. При т-рах > 1300 К и давлениях >4 ГПа наблюдается переход графит-алмаз; тройная точка алмаз-графит-расплав соответствует 3000 К и 12,4 ГПа. При давлении свыше 100 ГПа предполагается существование фазового перехода твердого водорода с образованием структуры, построенной из атомов и обладающей металлич. св-ва-ми. У орг. в-в при изменении давления обнаруживается обычно больше полиморфных переходов, чем у неорганических.
Растворимость в жидкостях газов и их смесей (при условии, что они близки по своему поведению к идеальным газам) с ростом давления увеличивается (см. Генри закон, Дальтона законы). Влияние давления на р-римость тел зависит от того, как изменяется с давлением молярный объем в-ва и его парциальный молярный объем в р-ре. Если при нек-ром давлении молярный объем в-ва становится меньше его парциального молярного объема, р-римость в-ва, в соответствии с Ле Шателье Брауна принципом, с ростом давления снижается. Такая закономерность характерна для реальных газов и твердых тел в случае неполярных р-рителей. Напр., при 500 МПа р-римость гексахлорэтана и SnI4 в CS2 уменьшается по сравнению сих р-римостью при 0,1 МПа в 15 и в 7,5 раза соотв. Для газов с ограниченной р-римостью в жидкости характерно наличие максимума на кривой зависимости р-римости от давления. Если в-во при растворении диссоциирует на ионы, то при оценке влияния давления дополнительно следует учитывать изменение молярного объема в результате сольватации ионов молекулами р-рителя.
Рис. I. Зависимость относительной вязкости
(
-вязкость при 1 атм) от давления р для различных жидкостей. 1 - вода, 2 -этанол, 3 -пентан, 4 - глицерин, 5 - эвгенол
Рис. 2. Зависимость т-ры плавления tпл от давления р для различных в-в. 1 ацетон, 2 ртуть, 3 хлорбензол, 4-бензол.
При высоких давлениях возможно расслоение гомогенной газовой смеси на две фазы при т-рах, превышающих критич. т-ры компонентов смеси. Этот эффект был экспериментально обнаружен И. Р. Кричевскимссотр. в 1941-43 (см. Критическое состояние).
Влияние давления на хим. р-ции. При сжатии газовых реакц. смесей в области давлений, ограниченных десятками МПа, наблюдается увеличение скорости р-ций и смещение хим. равновесия. Это объясняется гл. обр. изменением концентраций реагирующих в-в (см. Действующих масс закон). Для в-в в конденсированной фазе или для газов при давлених выше 200-300 МПа повышение концентрации реагентов с ростом давления невелико, тем не менее многие процессы чувствительны к давлению. Так, давление существенно влияет на равновесие электролитич. диссоциации к-т и оснований, изменяет концентрацию комплексов с переносом заряда, влияет на равновесие кето-енольной таутомерии, на конформац. равновесие, смещает равновесие мономер-полимер и т.д. Под давлением удается осуществить полимеризацию в-в, для к-рых равновесие мономер-полимер при атмосферном давлении смещено в сторону мономера.
Для идеальных газовых смесей зависимость константы равновесия КХ(Т, р)(концентрации реагирующих в-в выражены в молярных долях х) от давления при постоянной т-ре Т выражается ур-нием:
где
-изменение объема системы вследствие хим. р-ции, R-газовая постоянная. Влияние давления на КХ(Т, р)определяется знаком
При
давление смещает равновесие в сторону продуктов р-ции. Для р-ций в конденсированной фазе влияние давления на КХ(Т, р)описывается ур-нием:
где
-изменение парциального молярного объема в результате р-ции, равное разности между парциальными моляоны-ми объемами исходных в-в
и продуктов
Величина
, получаемая экстраполяцией опытных данных к р = 1 атм, наз. объемным эффектом р-ции. При
давление смещает равновесие в сторону продуктов реакции. Значения
для нек-рых р-ций приведены в табл. 1.
Табл. 1 -ОБЪЕМНЫЕ ЭФФЕКТЫ
НЕК-РЫХ Р-ЦИЙ
Скорости р-ций по-разному изменяются с давлением (см. рис. 3). Бимолекулярные р-ции обычно ускоряются с давлением, мономолекулярные-замедляются. Так, скорость диенового синтеза при повышении давления до 1000 МПа может возрастать в тысячи раз, а р-ции распада обычно затормаживаются. Согласно активированного комплекса теории, зависимость от давления константы скорости элементарной р-ции к (Т, р)при постоянной т-ре определяется изменением молярного объема реагентов при образовании активированного комплекса

(концентрации реагентов выражены моляльностями). Если полярность активированного комплекса отличается от полярности молекул реагентов, то
складывается из двух объемных эффектов:
, обусловленного изменением молярного объема самих реагентов, и
, обусловленного перестройкой сольватных оболочек реагирующих частиц в момент образования активированного комплекса.
Рис. 3. Зависимость константы скорости kp от давления р для различных р-ций (k0-константа скорости р-ции при 1 агм). 1-ди-меризация циклопентадиена (293 К); 2-полимеризация метилметакрилата (313 К); 3-нитрование толуола (273 К); 4-гидролиз этиленимина (338 К); 5-распад 2,2-азо-бис-изобутиронитрила (313 К); 6-гид-ролиз Co(NH3)5SO4+ + ОН- (288 К).
Величина
изменяется с давлением, поэтому график зависимости In к от р, как правило, не является прямой линией. Для описания зависимости In к от р нередко используют степенные ф-ции, напр.:
где А, В, С-эмпирич. постоянные.
Для диенового синтеза зависимость
от р удовлетворительно описывается ур-нием Тейта при подстановке в это ур-ние вместо V и V0 значений
и
соотв. Величина
, равная
при р = \ атм, имеет важное теоретич. значение, поскольку в ряде случаев она позволяет СУДИТЬ о строении активированного комплекса. Значения
изменяются в широких пределах в зависимости от типа р-ции (табл. 2). В случае сложной р-ции связь
для р-ции в целом со значениями
для элементарных стадий зависит от конкретного механизма процесса. Напр., для радикальной полимеризации
>
где индексы "и", "р" и "о" относятся соотв. к инициированию, росту и обрыву полимерных цепей.
Табл. 2 ОБЪЕМНЫЕ ЭФФЕКТЫ
АКТИВАЦИИ НЕК-РЫХ Р-ЦИЙ
Изменение скорости хим. процессов м. б. обусловлено также влиянием давления на физ. св-ва среды. Так, вследствие возрастания вязкости с повышением давления р-ции могут перейти из кинетич. области протекания в диффузионную, когда скорость р-ции контролируется диффузией реагирующих частиц (см. Макрокинетика). Изменяя е среды, давление влияет на скорость ионных р-ций. При этом объемные эффекты
, вызванные сольватацией ионов или заряженных групп молекул, учитываются с помощью ур-ния Друде-Нернста-Борна:
где NA -постоянная Авогадро, r и z-радиус и зарядовое число иона соотв.
Хим. взаимод. в твердой фазе обычно замедляется с ростом давления. Для интенсификации твердофазных р-ций (синтез минералов, полимеризация и др.) их проводят при высоких т-рах.
Взаимодействие твердых в-в под давлением резко усиливается, если реагенты подвергаются пластич. деформации сдвига. В этих условиях реализуются многие твердофазные хим. процессы: полимеризация, нуклеоф. присоединение аммиака, воды, карбоксильной группы к связи С=С, синтез амидов и пептидов, разложение пероксидов, карбонилов и оксидов металлов, неорганич. солей, р-ции этерификации и др. Ароматич. соед. при деформации под давлением нередко претерпевают превращения, сопровождающиеся разрывом цикла:
Скорости хим. р-ций при одновременном действии высоких давлений и деформаций сдвига очень велики и могут превосходить скорости соответствующих жидкофазных процессов при тех же давлениях и т-рах в миллионы и более раз. Реакционная способность твердых в-в (константы скорости, выходы продуктов) в значит. степени зависят от физ. св-в среды (пластичности, предельного напряжения сдвига, кристаллич. структуры). Как правило, реакционная способность в-ва возрастает, если его деформировать в смеси с пластичным в-вом, обладающим напряжением сдвига большим, чем у чистого реагента. В условиях деформации выход продуктов р-ции является ф-цией деформации сдвига (при постоянных давлении и т-ре) и в широких пределах не зависит от времени деформирования реакционной смеси (рис. 4). Время деформирования м. б. очень малым и исчисляться долями с. Зависимость выхода продуктов от деформации сдвига удается описать в ряде случаев (напр., при полимеризации акриламида) методами формальной кинетики при замене в дифференц. ур-ниях времени на деформацию сдвига.
Рис. 4. Зависимость выхода полимера (в %) от деформации сдвига (полимеризация при 2 ГПа) (293 К). 1-малеиновый ангидрид, 2-метакриламид, 3-акриламид.
Биохимии, эффекты высоких давлениях. При давлениях в неск. сотен МПа происходит денатурация белков, при этом меняются их антигенные св-ва, снижается активность токсинов. Особенно чувствительны к давлению процессы образования связей белок-лиганд и белок-белок. Так, для белков характерно значит. уменьшение скорости ассоциации с повышением давления (
положительны и могут исчисляться сотнями см3/моль). Денатурирующее влияние давления зависит от природы белка, т-ры и рН среды. Напр., овальбумин необратимо коагулирует при 800 МПа, тогда как р-ры альбумина не претерпевают изменений даже при 1,9 ГПа. Давление может препятствовать тепловой денатурации белка и даже вызывать ренатурацию белка, денатурированного нагреванием. Большинство ферментов инактивируется под действием давления. Напр., активность пепсина снижается с повышением давления и при 600 МПа исчезает. Однако в ряде случаев давление стимулирует активность ферментов. Так, активность ксантиндегидрогеназы с ростом давления возрастает и проходит через максимум: при 500 МПа ее реакционная способность в 7-8 раз выше, а при 600 МПа лишь в 4 раза превышает активность этого фермента при атмосферном давлении. Выше 600 МПа наступает полная инактивация ксантиндегидрогеназы. Р-ры молекул ДНК устойчивы к давлению: они не претерпевают изменений даже при сжатии до 1,9 ГПа.
Методы создания высоких давлений. Статич. давления до неск. сотен МПа в жидкостях и газах создают насосами или компрессорами. С их помощью реакционная смесь нагнетается в аппарат высокого давления, в к-ром компоненты смеси взаимод. при заданных давлении и т-ре. В кач-ве аппаратов высокого давления широко используют автоклавы (рис. 5)-цилиндрич. сосуды емкостью от десятков см3 до неск. м3, снабженные герметич. затвором. Автоклавы изготавливают, как правило, из высококачественных сталей; внутренняя пов-сть аппарата нередко футеруется химически стойкими материалами (фторопласты, эмаль). Автоклавы могут снабжаться мешалками, оси к-рых выводятся через сальник. Внутри автоклава может размещаться мешалка с ротором электромотора; при этом электромагнитное поле статора, расположенного снаружи, взаимод. с ротором через стенки автоклава, выполненные из немагнитного материала. Давление в автоклаве либо создается компрессором, либо возникает в результате разогрева выделяющимся при р-ции теплом или внешнего обогрева. Диапазон давлений и т-р, создаваемых в автоклавах, ограничен обычно 100 МПа и 600 К.
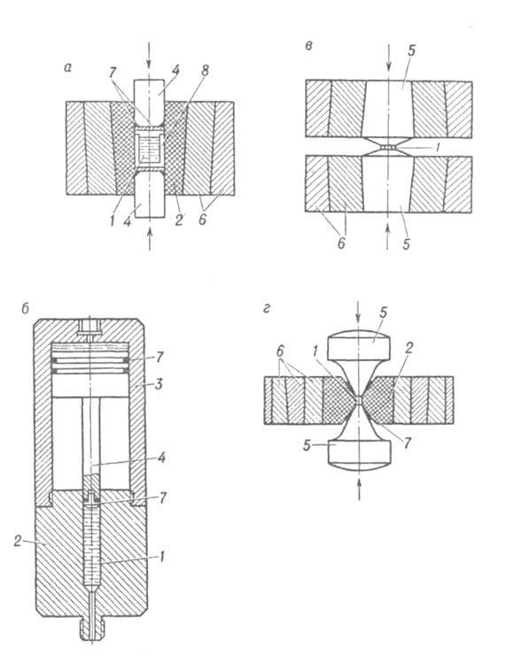
Для создания давлений, исчисляемых ГПа, служат устройства, использующие разл. конструкционные принципы. В-во, помещенное в цилиндрич. сосуд, сжимается при вдавливании штоков с помощью пресса (рис. 6а). Гидравлич. пресс и камера высокого давления могут быть объединены в одну конструкцию-мультипликатор (рис. 6б). Давление в рабочей камере мультипликатора рассчитывается по соотношению: РВ = pH(SH/SB), где SH и SB-площади поршней цилиндров низкого (рн) и высокого (РВ) давления. При использовании высокопрочных сталей для цилиндра и сверхтвердых сплавов для штоков эта конструкция позволяет работать при давлениях до 4-5 ГПа. В аппаратуре типа наковален (рис. 6в) в-во размещается между плоскостями двух усеченных конусов (наковален). Для создания высокого давления наковальни сжимают с помощью пресса. Большая прочность аппаратуры достигается использованием двух конструкционных приемов: заменой напряжений растяжения напряжением сжатия и массивной поддержкой нагруженной центральной части наковален со стороны прилегающих ненагруженных частей. Наковальни изготавливают обычно из твердых сплавов. Достоинства такой аппаратуры-простота конструкции и возможность достижения давления в десятки ГПа, недостаток-малый объем рабочего пространства.
Для физ.-хим. исследований при высоких давлениях применяют установки с прозрачными наковальнями из алмазов, обеспечивающие давления до 200 ГПа и т-ры до 3000 К. Такие установки компактны (располагаются на столике микроскопа). Нагрев образца осуществляют лазерным лучом. Для измерения давления внутрь аппарата помещают кристалл рубина и следят за его спектром люминесценции, линия к-рого смещается с увеличением давления линейно до 30 ГПа. Помимо визуального наблюдения, эти аппараты позволяют проводить исследования методами УФ, ИК, рентгеновской и гамма-резонансной спектроскопии. Для достижения давлений в 100-200 ГПа при т-рах до 2500 К используют установки, в к-рых совмещаются конструкционные приемы аппаратов типа цилиндр-поршень и типа наковален (рис. 6г). Давление в образце создается при вдавливании конич. пуансонов с помощью пресса. Достоинство аппаратов-сравнительно большой объем рабочего пространства, недостаток-сложность в изготовлении.
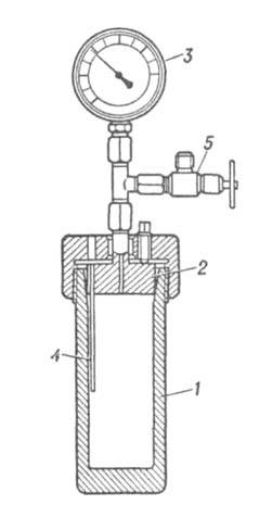
Рис. 5. Схема типового автоклава: 1 - корпус; 2-крышка; 3-манометр; 4-карман для термопары; 5-вентиль.
Рис. 6. Схема установок, применяемых для физ.-хим. исследований при высоких давлениях: а-цилиндр со штоками; 6-мультипликатор; в-аппаратура типа наковален; г-устройство с конич. пуансонами, 1-исследуемое в-во; 2-цилиндр высокого давления; 3-цилиндр низкого давления; 4 -штоки; 5-пуансоны; 6-поддерживающие кольца; 7-уплотнения; 8-ампула с в-вом.
Для экспериментов в условиях высоких давлений и деформаций сдвига используют аппаратуру типа наковален. Между наковальнями располагают слой твердой реакционной смеси, в к-ром создается давление при сжатии наковален с помощью пресса. Заданная деформация сдвига производится поворотом одной из наковален на определенный угол. Время поворота наковален (а след., и хим. превращения) обычно исчисляется с или долями с.
Статич. высокие давления широко используют в хим. пром-сти. Среди особо важных процессов-произ-во синтетич. алмазов (5-6 ГПа), синтез боразона (6-8 ГПа), полимеризация этилена (120-320 МПа), гидротермальный синтез минералов (до 300 МПа), гидрогенизация угля (до 70 МПа), синтез метанола (30 МПа) и аммиака (30 МПа), гидрокрекинг (5-20 МПа) и др. При лаб. исследованиях жидкофазных хим. процессов высокие давления (500-1500 МПа) используют гл. обр. для сокращения продолжительности хим. превращений. Особенно это важно, если скорость р-ции при атмосферном давлении низка, а повышать ее путем нагрева реакционной смеси нежелательно из-за возможности возникновения побочных р-ций или нестойкости реагентов (продуктов) р-ции. При высоких давлениях проводят распространенные в лаб. практике синтезы, если необходимо увеличить выход целевого продукта.
Литература
Гоникберг М. Г., Химическое равновесие и скорость реакций при высоких давлениях, 3 изд., М., 1969; Циклис Д.С., Техника физико-химических исследований при высоких и сверхвысоких давлениях, 4 изд., М., 1976; Проблемы эксперимента в твердофазной и гидротермальной аппаратуре высокого давления, под ред. И.П.Иванова и Ю.А. Литвина, М., 1982; Жаров А.А., "Успехи химии", 1984, т. 53, в. 2, с. 236-50; Современная техника и методы экспериментальной минералогии, под .ред. В.А.Жарикова. И.П.Иванова и Ю.А. Литвина, М., 1985; Isaacs N.S., Liquid phase high pressure chemistry, N. Y.-Brisban-Toronto, 1981; H ereman s K., "Ann.Rev.Biopbys", 198Z X"0 11, p. 1-21; Matsumoto K, Sera A., Uchida Т., "Syptesis", 1985, № 1, p. 1-26; № 11, p. 99. А. А. Жаров.