Циглера реакции

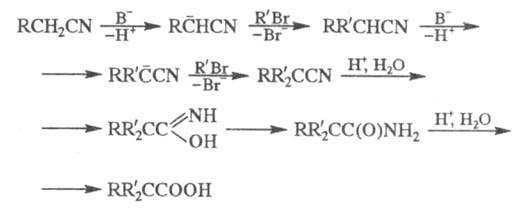
ЦИГЛЕРА РЕАКЦИИ, 1) получение триалкилуксусных к-т алкилированием нитрилов алкилуксусных к-т с послед. гидролизом промежуточно образующихся нитрилов и амидов:

6019-58.jpg

В качестве оснований (В) применяют LiNR2 или NaNH2, в качестве р-рителя - обычно диэтиловый эфир, ТГФ, ДМФА, NH3 или глим. Алкилирующие агенты - первичные или вторичные алкилгалогениды. В ряде случаев стадию алкилирования проводят в условиях межфазного катализа.
Обычно к свежеприготовленному р-ру основания добавляют р-р нитрила и затем избыточное кол-во R'Br (иногда реагенты вводят в р-цию поочередно частями). Образовавшийся нитрил RR'2CCN обрабатывают при т-ре ок. 100 °С конц. H2SO4, амид - смесью NaNO2 и H2SO4 или смесью C4H9ONO/CH3COOH/HC1. Выходы 30-90%.
Механизм р-ции включает след. стадии:

6019-59.jpg

Р-цию используют в препаративных целях. Открыта К. Циглером в 1932.

Лит.: Вацуро К. В., Мишенко Г. Л., Именные реакции в органической химии, М., 1976; Mapч Д ж., Органическая химия, пер. с англ., т. 2, М., 1987, с. 206-09.

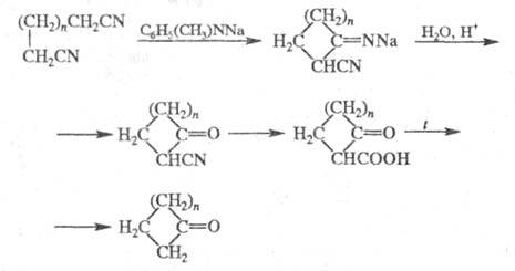
2) Получение макроциклич. кетонов циклизацией динитрилов под действием диорганиламидов щелочных металлов с послед. гидролизом и декарбоксилированием промежут. продуктов:

6019-60.jpg

Первая стадия этой р-ции (наряду с димеризацией нитрилов) впервые изучена Торпом, поэтому такой синтез наз. также Торпа-Циглера реакцией.
Наиб. легко и с высоким выходом в Циглера реакции образуются циклы C5-C7, выходы циклич. кетонов С913 весьма низкие (1-13%), для получения циклов С1433 используют спец. аппаратуру и большое разбавление (выход 60-80%). Циклы С34 этим способом получить не удается.
В р-цию вступают динитрилы, содержащие в цепи гетеро-атомы (N, О, S), алкильные и арильные группы. В качестве оснований обычно используют N-этиланилиды Li или Na или диалкиламиды Li, в качестве р-рителя - диалкиловые эфиры.
Обычно динитрил медленно (от 10 до 340 ч) добавляют к кипящему р-ру амида щелочного металла; полученную смесь обрабатывают избытком р-ра НС1 и затем добавляют конц. НС1. Образовавшийся кетонитрил подвергают жесткому гидролизу и декарбоксилированию. Механизм циклизации ди-нитрилов не выяснен. Циглера реакцию используют в препаративной практике. Реакция открыта К. Циглером в 1933.

Лит.: Schaefer J., Bloomfield J., Organic reactions, v. 15.N.Y.-L., 1967, p. 28; Taylor E., McKillop А., в сб.: Advances in organic chemistty, v. 7, N. Y., 1970.

3) Полимеризация олефинов при низком давлении на комплексных катализаторах (наз. также Циглера - Натты р-цией), включающих соед. переходного металла (напр., ТiС13) и металлоорг. соед. I-III группы периодич. системы [напр., А1(С2Н5)3].
Р-цию осуществляют при 50-70 °С, пропуская осушенный и обескислороженный олефин через р-р комплексного катализатора в бензине, петролейном эфире или др. инертном орг. р-рителе.
Р-ция открыта К. Циглером в 1955.
См. также Металлокомплексный катализ, Циглера-Натты катализаторы.

Лит.: Органикум, пер. с нем., т. 2, М., 1992, с. 400; Ziegler К. [u. а.], "Angew. Chem.", 1955, Bd 67, S. 426-541; там же, 1959, Bd 71, S. 623-25.

К. Циглером также открыты и разработаны др. р-ции:
1) синтез алкильных производных алюминия действием на А1 олефинов и Н2 под давлением в присут. АlХ3 (X = Н, С1, R), присоединением этилена к углеводородной цепи в Alk3Al, переалкилированием Alk3Al действием олефинов;
2) получение спиртов из олефинов (используется в пром-сти) путем последоват. превращений:

6019-61.jpg

3) получение алкиллитиевых соед. действием RHal на Li в инертном р-рителе;
4) алкилирование гетероциклич. азотсодержащих соед. действием алкиллитиевых реагентов (иногда эту р-цию наз. алкилированием по Циглеру), напр.:

6019-62.jpg

5) получение азулена по схеме:

6019-63.jpg

См. также Воля - Циглера реакция.

Г.И. Дрозд.

Синонимы/примеры:* Реакция Циглера; Реакция Циглера-Натта
*подобраны ИИ, возможны неточности