Тетразол
ТЕТРАЗОЛ, мол. м. 70,06. Незамещенный тетразол и его С-замещенные могут существовать в двух таутомерных формах -1H-тетразол (ф-ла Ia) и 2H-тетразол (Iб); преобладает 1H-тау-томер:

Незамещенный тетразол и его С-замещенные -бесцв. кристаллы; т. пл. для 1H-тетразола 156 °С, для 5-фенил-1H-тетразола 215 °С (с разл.), 1-фенил-1H-тетразола 65-66°С; m для 1H-тетразола 17,05·10-30 Кл·м, для 1-этил-1H-тетразола 18,21 · 10-30 Кл·м, для 2-этил-2H-тетразола 8,84 x x 10-30 Кл·м. Тетразол и его производные хорошо раств. в полярных орг. р-рителях, плохо-в неполярных; 1H-тетразол легко раств. в воде. 1H-Тетразол и его монозамещенные образуют стабильные аддукты с солями тяжелых металлов (AgNO3, HgCl2 и др.), напр.: 1-фенил-1H-тетразол с HgCl2 дает комплекс ст.пл. 147 °С.
Незамещенный тетразол и С-замещенные 1H-тетразола проявляют ам-фотерные св-ва; как слабые NH-кислоты (для тетразола рКа — 2,68) образуют соли со щелочными и щел.-зем. металлами, как слабые орг. основания при растворении в минер. к-тах протонируются по атому N-4.
Тетразол и его производные вступают в р-ции электроф. и нуклеоф. замещения гл. обр. по положению 5, напр.:

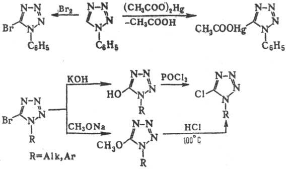
Соли С-замещенных 1H-тетразола при алкилировании алкилгало-генидами, эфирами серной к-ты и ароматич. сульфокислот или диазометаном образуют смеси 1,5- и 2,5-дизамещенных таутомеров, что связано с амбидентной природой тетра-золят-аниона:

Дизамещенные производные тетразола при дальнейшем алкилировании образуют четвертичные соли по атому N-4.
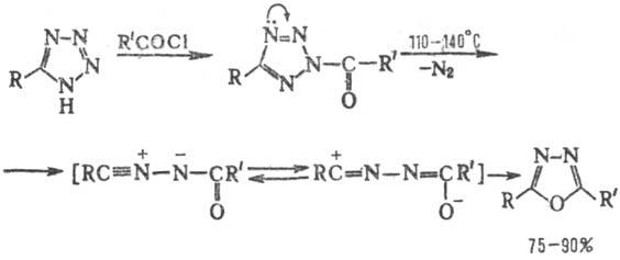
Термич. расщепление тетразольного цикла происходит при 150-200 °С; действие ацилирующих реагентов на незамещенный 1H-тетразол или его С-замещенные приводит к расщеплению цикла с послед. рециклизацией:

Цикл раскрывается также при действии сильных к-т при натр. выше 160°С или водных р-ров щелочей; С-замещенные 1H-тетразола в этих условиях обычно устойчивы. При действии окислителей на тетразол и его производные раскрытия цикла не происходит; под действием сильных восстановителей (LiAlH4) 1,5-дизамещенные 1H-тетразола превращ. во вторичные амины, напр.:

Незамещенный 1H-тетразол получают взаимод. HN3 с HCN в этаноле с выходом 80%, С-замещенные 1H-тетразола-по р-циям:

1,5-Дизамещенные 1H-тетразола синтезируют взаимод. кетонов с HN3 (р-ция Шмидта) в присут. апротонных к-т (АlСl3, FeCl3, SnCl4, эфират BF3) или исходя из N-замещенных амидов:

Производные тетразола-светостабилизаторы полимеров (напр., ПВХ), конденсирующие агенты в синтезе полинуклеотидов, инициирующие ВВ (напр., тетразен и комплексы тетразола с перхлоратами переходных металлов), регуляторы роста растений; мн. производные тетразола-физиологически активны. 1,5-Пентаметилентетразол (коразол)-лек. препарат, стимулирующий сердечную деятельность и деятельность центр. нервной системы. На основе непредельных производных тетразола получены полимеры, обладающие термич. стабильностью.
Лит.: Гетероциклические соединения, под ред. Р. Эльдерфильда, пер. с англ., т. 8, М., 1969, с. 7-87; Колдобский Г. И., Островский В. А., Гидаспов Б. В., "Химия гетероциклических соединений", 1980, №7, с. 867-79; Колдобский Г. И., Островский В. А., Поплавский В. С., там же, 1981, № 10, с. 1299-326; Общая органическая химия, пер. с англ., т. 8, М., 1985, с. 429-88. Р. А. Карахапов, В. И. Келарев.