Углеводы
Углеводы, обширная группа органических соединений, входящих в состав всех живых организмов. Первые известные представители этого класса веществ по составу отвечали общей формуле CmH2nOn, то есть углерод + вода (отсюда название); позднее к углеводам стали относить также их многочисленные производные с иным составом, образующиеся при окислении, восстановлении или введении заместителей.
Превращения углеводов известны с древнейших времён, так как они лежат в основе процессов брожения, обработки древесины, изготовления бумаги и тканей из растительного волокна. Тростниковый сахар (сахарозу) можно считать первым органическим веществом, выделенным в химически чистом виде. Химия углеводов возникла и развивалась вместе с органической химией; создатель структурной теории органических соединений А. М. Бутлеров — автор первого синтеза сахароподобного вещества из формальдегида (1861). Структуры простейших сахаров выяснены в конце 19 в. в результате фундаментальных исследований немецких учёных Г. Килиани и Э. Фишера, основанных на стереохимических представлениях Я. Г. Вант-Гоффа и блестяще их подтвердивших. В 20-е гг. 20 в. работами английского учёного У. Н. Хоуорса были заложены основы структурной химии полисахаридов. Со 2-й половины 20 в. происходит стремительное развитие химии и биохимии углеводов, обусловленное их важным биологическим значением и базирующееся на современной теории органической химии и новейшей технике эксперимента.
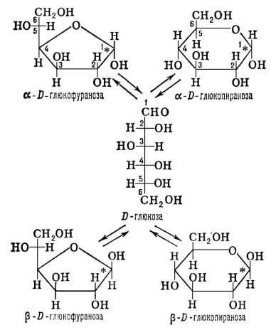
Классификация и распространение углеводов. Углеводы принято делить на три основных группы: моносахариды, олигосахариды и полисахариды. Обычные моносахариды представляют собой полиокси-альдегиды (альдозы) или полпоксикетоны (кетозы) с линейной цепью атомов углерода (m = 3—9), каждый из которых (кроме карбонильного углерода) связан с гидроксильной группой. Простейший из моносахаридов — глицериновый альдегид — содержит один асимметрический атом углерода и известен в виде двух оптических антиподов (D и L). Прочие моносахариды имеют несколько асимметрических атомов углерода; их рассматривают как производные D- или L-глицсринового альдегида и относят в соответствии с абсолютной конфигурацией при (т—1)-м атоме углерода к D- или L-pяду. Различия между моносахаридами в каждом ряду обусловлены относительной конфигурацией остальных асимметрических центров (см. Изомерия). Характерное свойство моносахаридов в растворах — способность к мутаротации, то есть установлению таутомерного равновесия (см. Таутомерия) между ациклической альдегидо- или кетоформой, двумя пятичленными (фуранозными) и двумя шестичленными (пиранозными) циклическими полуацетальными формами (см. схему). Образующиеся пиранозы (как и фуранозы) различаются конфигурацией (a или b) возникающего при циклизации асимметрического центра у карбонильного атома углерода (на схеме помечен звёздочкой).

Соотношение между таутомерными формами в равновесии определяется их термодинамической устойчивостью (для обычных сахаров преобладают пиранозные формы). Полуацетальный гидроксил резко отличается от прочих гидроксильных групп моносахарида по способности к реакциям нуклеофильного замещения. Такие реакции с разнообразными спиртами приводят к образованию гликозидов (остаток спирта в гликозиде называют агликоном). В тех случаях, когда агликоном служит молекула моносахарида, образуются олиго- и полисахариды. При этом каждый остаток моносахарида может иметь пиранозную или фуранозную структуру, a- или b-конфигурацию гликозидной связи и быть связанным с любой из гидроксильных групп соседнего моносахарида. Поэтому число различающихся строением полимерных молекул, которые можно построить даже только из одного моносахарида, огромно.
К наиболее типичным моносахаридам относятся D-глюкоза, D-манноза, D-галактоза, D-фруктоза, D-ксилоза, L-арабиноза. К моносахаридам относятся также: дезоксисахара, в молекулах которых один или несколько гидроксилов заменены атомами водорода (L-paмноза, L-фукоза, 2-дезокси-D-pибоза); аминосахара, в молекулах которых один или несколько гидроксилов заменены на аминогруппы (D-глюкозамин, D-галактозамин); многоатомные спирты, или альдиты, образующиеся при восстановлении карбонильных групп моносахаридов (сорбит, маннит); уроновые кислоты, то есть моносахариды, у которых первичная спиртовая группа окислена до карбоксильной; разветвленные сахара, содержащие нелинейную цепь углеродных атомов (апиоза, L-cтрептоза); высшие сахара с длиной цепи более шести атомов углерода (седогептулоза, сиаловые кислоты). За исключением D-глюкозы и D-фруктозы, свободные моносахариды встречаются в природе редко. Обычно они входят в состав разнообразных гликозидов, олиго- и полисахаридов и могут быть получены из них кислотным гидролизом. Разработаны методы химического синтеза редких моносахаридов, исходя из более доступных.
Олигосахариды содержат в своём составе 2—10 моносахаридов, связанных гликозидными связями. Наиболее распространены в природе дисахариды сахароза, трегалоза, лактоза. Известны многочисленные гликозиды оли-госахаридов, к которым относятся различные физиологически активные вещества (например, флавоноиды, сердечные гликозиды, сапонины, многие антибиотики, гликолипиды).
Полисахариды — высокомолекулярные, линейные или разветвленные соединения, молекулы которых построены из моносахаридов, связанных гликозидными связями. В состав полисахаридов могут входить также заместители неуглеводной природы (остатки фосфорной, серной и жирных кислот). В свою очередь цепи полисахаридов могут присоединяться к белкам с образованием гликопротеидов. Отдельную группу составляют биополимеры, в молекулах которых остатки моно- или олигосахаридов соединены друг с другом не гликозидными, а фосфодиэфирными связями; к этой группе относятся тейхоевые кислоты из клеточных стенок грамположительных бактерий, некоторые полисахариды дрожжей, а также нуклеиновые кислоты, в основе которых лежит полирибозофосфатная (РНК) или поли-2-дезоксирибозофосфатная (ДНК) цепь.
Физико-химические свойства углеводов. Благодаря обилию полярных (гидроксильных, карбонильной и др.) групп в молекулах моносахаридов они хорошо растворимы в воде и нерастворимы в неполярных органических растворителях (бензоле, петролейном эфире и др.). Способность к таутомерным превращениям обычно затрудняет кристаллизацию моносахаридов. Если такие превращения невозможны, как в гликозидах или олигосахаридах типа сахарозы, вещества кристаллизуются легко. Многие гликозиды с малополярными агликонами (например, сапонины) проявляют свойства поверхностно-активных соединений. Полисахариды являются гидрофильными полимерами, молекулы которых способны к ассоциации с образованием высоковязких растворов (растительной слизи, гиалуроновая кислота); при определённом соотношении свободных и ассоциированных участков молекул полисахариды дают прочные гели (агар, пектиновые вещества). В отдельных случаях молекулы полисахаридов образуют высокоупорядоченные надмолекулярные структуры, нерастворимые в воде (целлюлоза, хитин).
Биологическая роль углеводов. Роль углеводов в живых организмах чрезвычайно многообразна. В растениях моносахариды являются первичными продуктами фотосинтеза и служат исходными соединениями для биосинтеза разнообразных гликозидов, полисахаридов, а также веществ др. классов (аминокислот, жирных кислот, полифенолов и т.д.). Эти превращения осуществляются соответствующими ферментными системами, субстратами для которых служат, как правило, богатые энергией фосфорилированные производные сахаров, главным образом нуклеозиддифосфатсахара. Углеводы запасаются в виде крахмала в высших растениях, в виде гликогена в животных, бактериях и грибах и служат энергетическим резервом для жизнедеятельности организма (см. Брожение, Гликолиз, Окисление биологическое). В виде гликозидов в растениях и животных осуществляется транспорт различных продуктов обмена веществ. Многочисленные полисахариды или более сложные углеводсодержащие полимеры выполняют в живых организмах опорные функции. Жёсткая клеточная стенка у высших растений построена из целлюлозы и гемицеллюлоз, у бактерий — из пептидогликана; в построении клеточной стенки грибов и наружного скелета членистоногих принимает участие хитин. В организме животных и человека опорные функции выполняют сульфатированные мукополисахариды соединительной ткани, свойства которых позволяют обеспечить одновременно сохранение формы тела и подвижность отдельных его частей; эти полисахариды также способствуют поддержанию водного баланса и избирательной катионной проницаемости клеток. Аналогичные функции в морских многоклеточных водорослях выполняют сульфатированные галактаны (красные водоросли) или более сложные сульфатированные гетерополи-сахариды (бурые и зелёные водоросли); в растущих и сочных тканях высших растений аналогичную функцию выполняют пектиновые вещества. Особенно важную и до конца ещё не изученную роль играют сложные углеводы в образовании специфических клеточных поверхностей и мембран. Так, гликолипиды — важнейшие компоненты мембран нервных клеток, липополисахариды образуют наружную оболочку грамотрицательных бактерий. Углеводы клеточных поверхностей часто определяют явление иммунологической специфичности, что строго доказано для групповых веществ крови и ряда бактериальных антигенов. Имеются данные, что углеводные структуры принимают участие также в таких высокоспецифичных явлениях клеточного взаимодействия, как оплодотворение, «узнавание» клеток при тканевой дифференциации и отторжении чужеродной ткани и т.д.
Практическое значение углеводов. Углеводы составляют большую (часто основную) часть пищевого рациона человека (см. Питание). В связи с этим они широко используются в пищевой и кондитерской промышленности (крахмал, сахароза, пектиновые вещества, агар). Их превращения при спиртовом брожении лежат в основе процессов получения этилового спирта, пивоварения, хлебопечения; др. типы брожения позволяют получить глицерин, молочную, лимонную, глюконовую кислоты и др. вещества. Глюкоза, аскорбиновая кислота, сердечные гликозиды, углеводсодержащие антибиотики, гепарин широко применяются в медицине. Целлюлоза служит основой текстильной промышленности, получения искусственного целлюлозного волокна, бумаги, пластмасс (см. Этролы), взрывчатых веществ (см. Нитраты целлюлозы) и др.
Важнейшие вопросы химии и биохимии углеводов — усовершенствование методов установления строения и синтеза природных углеводов, выяснение связи между их структурой и функцией в организме, а также путей биосинтеза — разрабатываются химическими и биохимическими научными центрами наряду с др. актуальными проблемами органической химии, биохимии и молекулярной биологии. Исследованиям только в области углеводов посвящены специализированные международные издания: ежегодник «Advances in Carbohydrate chemistry and biochemistry» (c 1945) и журнал «Carbohydrate research» (c 1965). см. также статьи Брожение, Соединения природные, Углеводный обмен, фотосинтез.
Лит.: Химия углеводов, М., 1967; Методы химии углеводов, пер. с англ., М., 1967; Гликопротеины [т. 1—2], пер. с англ., М., 1969; Carbohydrates, ed. by G. О. AspinalI, L. — Baltimore, [1973]; Industrial gums, eds. R. L. Whistler and J. N. Bemiller, 2 ed., N. Y. — L., 1973.
А. И. Усов.

Рис. к ст. Углеводы.