Аминосахара
Аминосахара — производные моноз, получающиеся в результате замещения спиртового гидроксила аминогруппой. В природе аминосахара встречаются в виде структурных элементов некоторых полисахаридов, из которых они могут быть получены путем кислотного гидролиза.
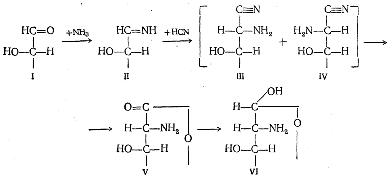
Классическим синтетическим методом получения аминосахаров является получение их из сахаров с меньшим числом углеродных атомов действием аммиака и синильной кислоты:

При этом вначале образуется озимин (II), который, присоединяя HCN, превращается в смесь эпимерных нитрилов (III и IV). При гидролизе каждого из этих нитрилов получаются лактоны полиоксиаминокислот (V); восстановление лактона дает аминосахар (VI).
Аминосахара обладают сильными основными свойствами и образуют с кислотами хорошо кристаллизующиеся соли. Аминогруппа так же легко ацетилируется, как и гидроксильные группы, причем N-ацетильные группы более стойки в отношении гидролиза, чем О-ацетильные группы.
Большинство природных аминосахаров представляет собой 2-дезокси-2-аминоальдозы, из которых наиболее широко распространены 2-дезокси-2-амино-D-глюкоза (называемая также глюкозамином или хитозамином) и 2-дезокси-2-амино-D-галактоза (галактозамин, или хондрозамин):

Хитозамин является структурной единицей полисахарида хитина и мукополисахаридов. Остаток ацетилированного хондрозамина входит в состав полисахаридов хрящей.
N-Метил-L-глюкозамин

участвует в построении одного из важнейших антибиотических веществ — стрептомицина.
Нейраминовая кислота

широко распространена в природе, обычно в виде ацилированных при азоте или кислороде производных, носящих название сиаловых кислот. В качестве структурного компонента она входит в состав олигосахаридов молока, мукополисахаридов и т. д. Содержащие нейраминовую кислоту мукопротеиды играют роль в различных иммунных реакциях, в частности с вирусом гриппа