Флавоноиды
ФЛАВОНОИДЫ, растит. пигменты, представляющие собой гликозиды фенольного характера, содержащие в качестве агликона гл. обр. производные флавана (2-фенилхромана, ф-ла I).
Разнообразие прир. флавоноидов достигается вследствие того, что они, как правило, содержат в агликоне неск. гидроксильных или метоксильных групп, причем заместители находятся преим. в положениях 5, 7, 4', 3' и 5'.

В зависимости от степени окисления центрального трехуглеродного фрагмента (атомы C2, C3 и C4) флавоноиды подразделяют на производные флавана (ф-ла I), флаван-3-ола (II, катехины), фла- ван-3,4-диола (III), З-гидрокси-2-фе-нилхромелийхлорида (IV; антоцианидины), флаванона (V), флаванонола (дигидрофлавона; VI), флавона (VII.), флавонола (VIII), изофлавона (IX). К флавоноидам в широком смысле слова относят также соед., химически и биосинтетически связанные с ними: производные халкона (X), дигидрохалкона (XI) и аурона (XTI).

Большинство прир. флавоноидов- О-, реже С-гликозиды с одной или неск. гидроксильными или метоксильными группами; исключение составляют флавоны, среди к-рых гликозиды встречаются редко. Углеводная часть молекул флавоноидов обычно содержит остаток глюкозы, рамнозы, галактозы, арабинозы, ди- или трисахарида.
В природе наиб. широко распространены ацильные производные гликозидов антоцианидинов, флавонолов и флавонов, причем во всех известных случаях ацильный остаток (или неск. остатков) присоединяется к гидроксигруппам углеводного фрагмента. Наиб. часто ацильные остатки представлены гидроксикоричными к-тами [напр., транс-3-(3-гидроксифе-нил)пропеновой, или n-кумаровой, транс-3-(4-гидрокси-3-метоксифенил)пропеновой, или феруловой, либо транс-3-(3,4-дигидроксифенил)пропеновой, или кофейной], а также бензойными к-тами (n-гидроксибензойной, бензойной и галловой), простыми карбоновыми к-тами (уксусной, малоновой, янтарной) и реже серной к-той (типично для флавонов).
Все флаваноны, флаванонолы и дигидрохалконы - бесцв. кристаллы, халконы, флавоны, флавонолы и ауроны - кристаллы желтого цвета, антоцианидины (благодаря наличию оксониевой группы) имеют разл. окраску - от розовой до синей и фиолетовой (см. Антоцианы). Флавоноиды легко образуют комплексы с ионами металлов, что используют для их идентификации методами спектрофотометрии. Антоцианы образуют также комплексы с флавонолами и флавонами в результате возникновения водородных связей между гидроксильными группами ангидрооснования антоцианидинов и гидроксильными группами в ароматич. ядре (копигментация). В результате такого взаимод. достигается огромное разнообразие окраски цветков растений.
Флаван-3-олы, флаван-3,4-диолы и антоцианидины - нестойкие в-ва, легко окисляющиеся при нагр., под действием прямого солнечного света, ферментов пероксидазы и фенол-оксидазы. Флавоны и флавонолы, напротив, достаточно стабильны. Другие флавоноиды занимают промежут. положение. Флавоноиды также значительно различаются между собой по р-римости в орг. р-рителях и воде и др. физ.-хим. св-вам.
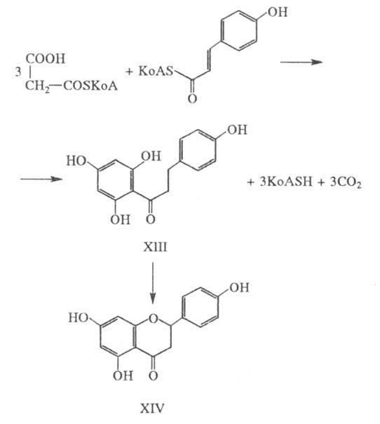
Общий предшественник всех флавоноидов- 4, 2', 4', б'-тетрагидрок-сихалкон (ХШ), образующийся в результате катализируемой ферментом халкон-синтазой конденсации малонил-кофер-мента А и n-кумарил-кофермента А, далеким предшественником к-рого является шикимовая к-та (ф-лу к-ты см. в ст. Обмен веществ), далее тетрагидроксихалкон под действием халкон-изомеразы превращается в 5, 7, 4'-тригидроксифлава-нон (нарингенин, XIV), из к-рого также ферментативным путем далее образуется большинство флавоноидов:

Хим. синтез флавоноидов обычно осуществляют конденсацией 2-гид-роксиацетофенонов с ароматич. альдегидами или ацилирова-нием фенолов с коричными к-тами или их производными; в обоих случаях образуются гидроксихалконы, циклизация к-рых в присут. к-т приводит к соответствующим флаванонам.
Флавоны и флавонолы м.б. синтезированы окислением флаванонов (напр., под действием SeO2, H2O2). Флаван-3-олы, флаван-3,4-диолы и антоцианидины обычно получают восстановлением соответствующих флавонов или флаванолов; антоцианидины м. б. также синтезированы из полигидрокси-бензальдегидов.
Ф-ции флавоноидов в растениях разнообразны и не до конца изучены. Они защищают фотосинтезирующий аппарат клетки растений от повреждающего воздействия коротковолнового УФ излучения, обладают антимутагенной активностью и играют роль индукторов (сигнальных в-в) во взаимоотношениях растений с микроорганизмами. В ряде случаев флавоноиды служат защитными агентами при поражении растений патогенами.
Нек-рые флавоноиды, напр. катехин, гесперетин, рутин, кверцетин, а также производные халкона и дигидрохалкона относятся к группе витамина P (см. Биофлавоноиды)и обладают капил-ляроукрепляющим действием. Флавоноиды используют в медицине также в качестве радио- и гепатопротекторов, желчегонных, диуретич. и др. ср-в. Важное значение флавоноиды имеют в технол. процессах пищ. пром-сти, особенно в произ-ве чая, кофе, какао и виноделии, т.к. продукты окисления флавоноидов ответственны за специфич. вкусовые св-ва, цвет и, в известной мере, аромат продуктов переработки.
Лит.: Запрометов М.Н., Фенольные соединения: распространение, метаболизм и функции в растениях, M., 1993; The flavonoids, ed. by J.B. Harborne, TJ. Mabry, H. Mabry, L., 1975; The flavonoids: advances in research since 1980, ed. J.B. Harborne, L.-N.Y., 1988. M.H. Запрометов.