Моносахариды (простые сахара). Строение моносахаридов. Альдегидные (кетонные) формулы моносахаридов
Строение моносахаридов. Строение простейших оксиальдегидов и оксикетонов с двумя и тремя атомами углерода вытекает непосредственно из их свойств и способов образования. Установить строение даже простых углеводов, т. е. оксиальдегидов и оксикетонов, содержащих в молекуле четыре и больше атомов углерода, представило значительно более трудную задачу. Многолетние исследования строения углеводов показали, что простые углеводы или сахара, представляют собой в кристаллическом индивидуальном состоянии внутренние циклические полуацетали многоатомных альдегидо- или кетоноспиртов. В растворах этм циклические формы находятся в состоянии равновесия со своими нециклическими формами, имеющими строение настоящих многоатомных альдегидо- или кетоноспиртов.
Альдегидные (кетонные) формулы моносахаридов. Первые сведения о строении углеводов были получены в 1860 г. Бертело. На основании факта образования глюкозой С6Н12О6 сложных эфиров при нагревании ее с органическими кислотами Бертело заключил, что глюкоза является многоатомным спиртом.
В 1869 г. А. А. Колли показал, что при почти количественно протекающей реакции глюкозы с хлористым ацетилом в молекулу глюкозы вступают четыре ацетильные группы и один атом хлора на место, очевидно, пяти гидроксильных групп, т. е. глюкоза должна была бы быть пятиатомным спиртом. Поскольку глюкоза обладает восстанавливающими свойствами и способна окисляться в кислоту с тем же числом углеродных атомов, можно было думать, что шестой атом кислорода в глюкозе входит в альдегидную группу. На основании этого для глюкозы была предложена (А. Байер, Фиттиг, 1870—1871) формула пятиатомного альдегидоспирта:

В дальнейшем был получен ряд подтверждений правильности этой формулы.
Наличие в глюкозе нормальной цепи из шести атомов углерода было доказано восстановлением глюкозы иодистым водородом во вторичный иодистый гексил нормального строения:

Кроме того, окисление глюкозы бромной водой приводит к получению глюконовой кислоты, которая при восстановлении иодистым водородом переходит в нормальную капроновую кислоту:
Наличие альдегидной группы было доказано тем, что к глюкозе, так же как и к альдегидам, присоединяется синильная кислота (Килиани, 1887):

Изомер глюкозы — фруктоза, имеющая тот же состав С6Н12О6, при энергичном окислении азотной кислотой расщепляется на винную и щавелевую кислоты. Это становится понятным, если допустить в молекуле фруктозы наличие кетонной группы в положении 2 в нормальной шестиуглеродной цепи:

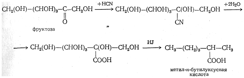
Фруктоза также присоединяет синильную кислоту. Омыление образующегося при этом нитрила дает оксикислоту с разветвленной цепью. Эта оксикислота восстанавливается в метил-н-бутилуксусную кислоту (2-метилкапроновую), что подтверждает правильность для фруктозы формулы пятиатомного кетоноспирта:

Моносахариды, содержащие, подобно глюкозе, альдегидную группу, получили название альдоз; моносахариды, содержащие кетонную группу, стали называть кетозами. Подавляющее большинство природных моносахаридов содержит неразветвленную цепь углеродных атомов. Представители моноз с разветвленной цепью встречаются лишь в виде исключения.
По числу углеродных атомов моносахариды, или монозы, делят на тетрозы, содержащие цепь из четырех атомов углерода, несущих атомы кислорода, пентозы — с пятью атомами углерода, гексозы —с шестью, гептозы — с семью, октозы — с восемью, нонозы — с девятью атомами углерода и т. д. Альдегидо- и кетоноспирты с числом атомов меньше четырех многие исследователи не причисляют к моносахаридам, поскольку эти вещества не дают циклических форм.
Указанные названия обычно применяют лишь к тем моносахаридам, в молекуле которых число кислородных атомов равно числу атомов углерода, т. е. к таутомерам альдегидо- и кетоноспиртов, имеющих гидроксильную группу при каждом углеродном атоме, кроме входящего в карбонильную группу, Например, моносахарид СН2ОН—(СНОН)4—СНО называют гексозой, а соединение СН3—(СНОН)4—СНО предпочитают называть не гексозой, а метилпентозой.