Пептиды
ПЕПТИДЫ, природные или синтетич. соед., молекулы к-рых построены из остатков a-аминокислот, соединенных между собой пептидными (амидными) связями C(O) NH. Могут содержать в молекуле также неаминокислотную компоненту (напр., остаток углевода). По числу аминокислотных остатков, входящих в молекулы пептидов, различают ди-пептиды, трипептиды, тетрапептиды и т.д. Пептиды, содержащие до 10 аминокислотных остатков, наз. олигопептидами, содержащие более 10 аминокислотных остатков полипепти-дами Прир полипептиды с мол. м. более 6 тыс. наз. белками
Историческая справка. Впервые пептиды были выделены из ферментативных гидролизатов белков. Термин "пептиды" предложен Э. Фишером. Первый синтетический пептид получил T. Курциус в 1881 Э. Фишер к 1905 разработал первый общий метод синтеза пептидов и синтезировал ряд олигопептидов разл. строения. Существ. вклад в развитие химии пептидов внесли ученики Э. Фишера Э. Абдергальден, Г. Лейке и M. Бергман. В 1932 M Бергман и Л. Зервас использовали в синтезе пептидов бензилоксикарбонильную группу (карбобензоксигруппу) для защиты a-аминогрупп аминокислот, что ознаменовало новый этап в развитии синтеза пептидов. Полученные N-защищенные аминокислоты (N-карбобензоксиаминокислоты) широко использовали для получения различных пептидов, к-рые успешно применяли для изучения ряда ключевых проблем химии и биохимии этих B-B, напр, для исследования субстратной специфичности протеолитич. ферментов. С применением N-карбобензоксиаминокислот были впервые синтезированы природные пептиды (глутатион, карнозин и др.). Важное достижение в этой области разработанный в нач. 50-х гг. P. Воганом и др. синтез пептидов методом смешанных ангидридов (подробно методы синтеза пептидов рассмотрены ниже). В 1953 В. Дю Виньо синтезировал первый пептидный гормон -окситоцин. На основе разработанной P. Меррифилдом в 1963 концепции твердофазного пептидного синтеза были созданы автоматич. синтезаторы пептидов. Получили интенсивное развитие методы контролируемого ферментативного синтеза пептидов. Использование новых методов позволило осуществить синтез гормона инсулина и др.
Успехи синтетич. химии пептидов были подготовлены достижениями в области разработки таких методов разделения, очистки и анализа пептидов, как ионообменная хроматография, электрофорез на разл. носителях, гель-фильтрация, высокоэффективная жидкостная хроматография (ВЭЖХ), иммуно-хим. анализ и др. Получили большое развитие также методы анализа концевых групп и методы ступенчатого расщепления пептидов. Были, в частности, созданы автоматич. аминокислотные анализаторы и автоматич. приборы для определения первичной структуры пептидов-т.наз. секвенаторы.
Номенклатура пептидов. Аминокислотный остаток пептидов, несущий своб. a-аминогруппу, наз. N-концевым, а несущий своб. a-карбоксильную группу - С-концевым. Название пептида образуется из назв. входящих в его состав аминокислотных остатков, перечисляемых последовательно, начиная с N-концево-го. При этом используют тривиальные назв. аминокислот, в к-рых окончание "ин" заменяется на "ил"; исключение C-концевой остаток, назв. к-рого совпадает с назв. соответствующей аминокислоты. Все аминокислотные остатки, входящие в пептиды, нумеруются, начиная с N-конца. Для записи первичной структуры пептидов (аминокислотной последовательности) широко используют трехбуквенные и однобуквенные обозначения аминокислотных остатков (напр., Ala Ser -Asp Phe -GIy аланил-серил-аспарагил-фенилаланил-гли-цин).
Классификация пептидов. Все пептиды делятся на гомомерные и гетеро-мерные. Гомомерные пептиды при гидролизе образуют только аминокислоты, гетеромерные наряду с аминокислотами соед. др. классов. В зависимости от структуры неаминокислотной компоненты, гетеромерные пептиды делятся на глико-, липо-, нуклео-, фосфопептиды и др. Гомомерные и гетеромерные пептиды могут быть линейными и циклическими. Аминокислотные остатки в них м.б. соединены между собой только пептидными связями (гомодетные пептиды) или не только пептидными сложноэфирными, дисульфидными и др. (гете-родетные пептиды). Гетеродетные пептиды с встроенными в цепь гид-роксиаминокислотами наз. пептолидами. Пептиды, содержащие в молекуле остатки только одной аминокислоты, наз. гомо-полиаминокислотами, а содержащие одинаковые повторяющиеся участки (из одной или неск. аминокислотных остатков) регулярными пептидами. Особую группу гетеромерных гетеро-детных пептидов образуют депсипептиды.
Строение. Пептидная связь имеет св-ва частично двойной связи. Это проявляется в уменьшении длины этой связи (0,132 нм)по сравнению с длиной простой связи C N (0,147 нм). Частично двоесвязный характер пептидной связи делает невозможным своб. вращение заместителей вокруг нее. поэтому пептидная группировка является плоской и имеет обычно транс-конфигурацию (ф-ла I). T. обр., остов пептидной цепи представляет собой ряд жестких плоскостей с подвижным ("шарнирным") сочленением в месте, где расположены асимметрич. атомы С (в ф-ле I обозначены звездочкой).

В р-рах пептидов наблюдается предпочтительное образование определенных конформе-ров. С удлинением цепи более выраженную устойчивость приобретают (аналогично белкам) упорядоченные элементы вторичной структуры (a-спираль и b-струк-тура). Образование вторичной структуры особенно характерно для регулярных пептидов, в частности для полиаминокислот.
Свойства. Олигопептиды по св-вам близки к аминокислотам, полипептиды подобны белкам. Олигопептиды представляют собой, как правило, кристаллич. в-ва, разлагающиеся при нагр. до 200 300 0C. Они хорошо раств. в воде, разб. к-тах и щелочах, почти не раств. в орг. р-рителях. Исключение Олигопептиды, построенные из остатков гидрофобных аминокислот.
Олигопептиды обладают амфотерными св-вами и, в зависимости от кислотности среды, могут существовать в форме катионов, анионов или цвиттер-ионов. Осн. полосы поглощения в ИК спектре для группы NH 3300 и 3080 см-1, для группы C=O 1660 см-1. В УФ спектре полоса поглощения пептидной группы находится в области 180-230 нм. Изоэлектрич. точка (рI) пептидов колеблется в широких пределах и зависит от состава аминокислотных остатков в молекуле. Величины рКа пептидов составляют для а-СООН ок. 3, для a-NH2 ок. 8.
Хим. св-ва олигопептидов определяются содержащимися в них функц. группами, а также особенностями пептидной связи. Их хим. превращения в значит. мере аналогичны соответствующим р-циям аминокислот. Они дают положит. биуретовую реакцию и нингидриновую реакцию. Дипептиды и их производные (особенно эфиры) легко циклизуются, превращаясь в дикетопиперазины. Под действием 5,7 н.
соляной к-ты пептиды гидролизуются до аминокислот в течение 24ч при 105 0C.
Синтез. Хим. синтез пептидов заключается в создании пептидной связи между группой COOH одной аминокислоты и NH2 др. аминокислоты или пептида. В соответствии с этим различают карбоксильную и аминную компоненты р-ции пептидного синтеза. Для проведения целенаправленного контролируемого синтеза пептидов необходима предварит. временная защита всех (или нек-рых) функц. групп, к-рые не участвуют в образовании пептидной связи, а также предварит. активация одной из компонент пептидного синтеза. После окончания синтеза защитные группы удаляют. При получении биологически активных пептидов необходимое условие - предотвращение рацемизации аминокислот на всех этапах пептидного синтеза.
Все защитные группы делят на N-защитные (для временной защиты группы NH2), С-защитные (для временной защиты карбоксильных групп COOH) и R-защитные (для временной защиты др. функц. групп в боковой цепи аминокислот H2NCHRCOOH).
Среди N-защитных групп наиб. важными являются ациль-ные защитные группы [в т.ч. типа ROC(O)], а также алкильные и аралкильные защитные группы. Примеры N-защитных групп типа ROC(O)-бензилоксикарбонильная группа (карбобензоксигруппа) C6H5CH2OCO и трет-бутокси-карбонильная группа (СН3)3СОСО. К ацильным N-защит-ным группам относят: формильную HCO, трифторацетиль-ную CF3CO и др. Представители N-защитных групп алкиль-ной и аралкильной природы - триметилсилильная (CH3)3Si и трифенилметильная (тритильная) (C6H 5)3С.
Среди С-защитных групп важнейшими являются сложно-эфирные и замещенные гидразидные группы. К первым относят, напр., метокси-, этокси- и трет-бутоксигруп-пы. С-защитные группы гидразидного типа - бензилокси-карбонил-, трет-бутилоксикарбонил-, тритил- и фенил-гидразиды.
В качестве R-защитных групп широко используют ациль-ные группы, в т. ч. типа ROC(O) (для защиты аминогрупп и гуанидиногрупп в боковых цепях лизина и аргинина соотв.), сложноэфирные группировки (для защиты карбоксилов в боковых цепях аспарагиновой и глутаминовой к-т), а также алкильные и аралкильные группы (для защиты групп ОН и SH в боковых цепях гидроксиаминокислот и цистеина соотв.).
Наряду с указанными группировками, для защиты амино-, гуанидино- и карбоксигрупп в молекулах исходных аминокислот или пептидов широко используют р-ции соле-образования. Разработаны также спец. приемы временной защиты при синтезе пептидов тиоэфирной ф-ции метионина, ими-дазольного кольца гистидина, амидных групп в боковых цепях аспарагина и глутамина, а также индольного кольца триптофана.
Наиб. важные способы образования пептидной связи при осуществлении р-ции в р-ре-методы активир. эфиров, кар-бодиимидный, смешанных ангидридов и азидный метод.
Метод активированных эфиров основан на предварит. образовании сложноэфирного производного карбоксильной компоненты путем введения в нее спиртового остатка, содержащего сильный электроноакцепторный заместитель. В результате образуется высокореакционноспо-собный эфир, легко подвергающийся аминолизу под действием аминокомпоненты пептидного синтеза. В качестве активир. эфиров при синтезе пептидов широко используют пента-фтор-, пентахлор-, трихлор- и n-нитрофениловые и ряд др. эфиров защищенных аминокислот и пептидов.
Карбодиимидный метод образования пептидной связи предусматривает использование в качестве конденсирующих реагентов разл. замещенных карбодиимидов. Особенно широкое применение при синтезе пептидов получил дициклогексил-карбодиимид:


X и Y-соотв. N- и С-защитные группы С этим конденсирующим реагентом можно осуществлять синтез пептидов и в водных средах, т. к. скорости р-ций гидролиза и аминолиза промежуточно образующейся О-ацилизомо-чевины (II) существенно различаются. При синтезе пептидов находят также применение разл. водорастворимые карбодиими-ды (напр., N-диметиламинопропил-N'-этилкарбодиимид).
Метод смешанных ангидридов основан на предварит. активации карбоксильной компоненты пептидного синтеза путем образования смешанного ангидрида с карбоновой или неорг. к-той. Наиб. часто используют алкиловые эфиры хлормуравьиной (хлоругольной) к-ты, особенно этиловый и изобутиловый эфиры, напр.:

В - третичный амин
При синтезе пептидов по этому методу весьма эффективны смешанные ангидриды N-ациламинокислот и пивалиновой (триметилуксусной) к-ты. Благодаря сильному положит. индуктивному эффекту трет-бутилъной группы электро-фильность карбоксильного атома С в остатке пивалиновой к-ты существенно снижена, и это, наряду со стерич. препятствиями, подавляет нежелат. побочную р-цию образования уретана и своб. N-ациламинокислоты, к-рая осуществляется по схеме:

В одном из вариантов метода смешанных ангидридов применяют в качестве конденсирующего агента 1-этоксикар-бонил-2-этокси-1,2-дигидрохинолин. Это соед. легко образует с карбоксильной компонентой пептидного синтеза про-межут. смешанный ангидрид, быстро вступающий в р-цию конденсации, причем полностью исключается нежелат. побочная р-ция.
Частный случай метода смешанных ангидридов - метод симметрич. ангидридов, в к-ром используют ангидриды аминокислот [XNHCH(R)C(O)]2O. Их применение исключает возможность диспропорционирования или неправильного аминолиза.
Азидный метод синтеза предусматривает активацию карбоксильной компоненты предварит, превращением ее в азид N-замещенной аминокислоты или пептида:

Ввиду нестойкости азидов их в своб. виде из р-ра, как правило, не выделяют. Если вместо нитритов щелочных металлов для р-ции с гидразидом использовать алкиловые эфиры азотистой к-ты (напр., трет-бутилнитрит), то азид-ную конденсацию можно проводить в орг. р-рителе; образующуюся HN3 связывают третичными аминами. Нередко азидная конденсация осложняется нежелат. побочными р-циями (превращ. гидразида не в азид, а в амид; р-ция гидразида с азидом, ведущая к образованию 1,2-диацил-гидразина; промежут. образование изоцианата, к-рый в результате перегруппировки Курциуса может приводить к производному мочевины или соответствующему уретану и др.). Преимущества азидного метода-малая степень рацемизации, возможность применения серина и треонина без защиты гидроксильных групп.
Для превращ. защищенных пептидов в свободные используют спец. методы деблокирования, к-рые основаны на р-циях, обеспечивающих отщепление разл. защитных групп, гарантирующих сохранение всех пептидных связей в молекуле. Примеры деблокирования: удаление бензил оксикарбониль-ной группы каталитич. гидрогенолизом при атм. давлении и комнатной т-ре, отщепление трет-бутилоксикарбонильной группы мягким ацидолизом, а также гидролитич. отщепление трифторацетильной группы под действием разб. р-ров оснований.
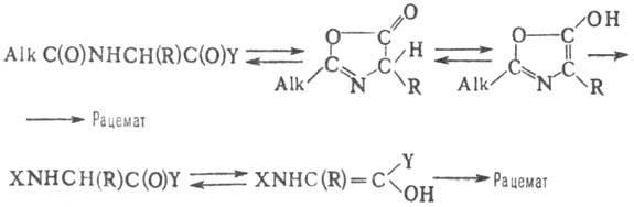
При синтезе биологически активных пептидов важно, чтобы не происходила рацемизация, к-рая может осуществляться в результате обратимого отщепления H+ от a-атома С N-ациламинокислоты или пептида. Рацемизации способствуют основания и к-ты, высокая т-ра и полярные р-рители. Решающую роль играет рацемизация, катализируемая основаниями, к-рая может протекать по т. наз. азлактоновому механизму или через енолизацию по схеме:

Наиб. важные способы исключения рацемизации: 1) наращивание пептидной цепи в направлении от С-конца к N-концу с применением N-защитных групп типа ROC(O). 2) Активация N-защищенных пептидных фрагментов с С-концевы-ми остатками пролина или глицина. 3) Использование азид-ного метода (при отсутствии избытка третичного основания и поддержании низких т-р в реакц. среде). 4) Применение активир. эфиров аминокислот, аминолиз к-рых протекает через переходное состояние, стабилизир. водородными мостиками (напр., эфиров, образованных с N-гидроксипипери-дином и 8-гидроксихинолином). 5) Использование карбоди-имидного метода с добавками N-гидроксисоед. или к-т Льюиса.
Наряду с синтезом пептидов в р-рах, важное значение имеет синтез пептидов с применением нерастворимых носителей. Он включает твердофазный синтез пептидов (р-ция, или метод, Мэр-рифилда) и синтез пептидов с использованием полимерных реагентов.
Стратегия твердофазного пептидного синтеза предусматривает временное закрепление синтезируемой пептидной цепи на нерастворимом полимерном носителе и осуществляется по схеме:


Благодаря этому способу удалось заменить весьма сложные и трудоемкие процедуры разделения и очистки промежут. пептидов простыми операциями промывки и фильтрования, а также свести процесс пептидного синтеза к стандартной последовательности периодически повторяющихся процедур, легко поддающихся автоматизации. Метод Меррифилда позволил существенно ускорить процесс синтеза пептидов. На основе этой методологии созданы разл. типы автоматич. синтезаторов пептидов.
Соединение высокопроизводит. твердофазного синтеза пептидов с разделяющими способностями препаративной ВЭЖХ обеспечивает выход на качественно новый уровень хим. синтеза пептидов, что, в свою очередь, благотворно влияет на развитие разл. областей биохимии, мол. биологии, генной инженерии, биотехнологии, фармакологии и медицины.
Стратегия синтеза пептидов с применением полимерных реагентов предусматривает временное связывание с высокомол. носителем активир. карбоксильной компоненты или конденсирующего агента пептидного синтеза. Преимущество этого метода: закрепленные на полимере реагенты могут вводиться в избытке, а отделение синтезированных пептидов от нерастворимых полимеров не представляет затруднений.
Пример такого синтеза-пропускание аминокомпоненты в заданной последовательности через неск. колонок, в каждой из к-рых находится связанный с полимерным носителем активир. эфир определенной аминокислоты.
Наряду с линейными м. б. синтезированы циклические пептиды. При синтезе гомодетных циклических пептидов используют те же методы образования пептидных связей, что и при синтезе линейных пептидов. Для подавления побочной р-ции линейной межмол. конденсации циклизацию ведут при высоком разбавлении.
Для синтеза гетеродетных циклических пептидов применяют р-ции, обеспечивающие замыкание циклов путем образования новых дисульфидных или эфирных связей.
Частный случай синтеза пептидов-получение полиаминокислот и регулярных полипептидов, к-рое осуществляют поликонденсацией аминокислот или коротких пептидов. Если в поликонденсацию вовлекаются функц. группы боковых цепей аминокислот, образуются разветвленные пептиды. Для синтеза регулярных полипептидов наиб. часто применяют в качестве исходных соед. активир. эфиры коротких пептидов с незащищенной аминогруппой N-концевого аминокислотного остатка.
Все большее значение приобретают методы контролируемого ферментативного синтеза пептидов. Они основаны на способности протеолитич. ферментов в определенных условиях (подбор р-рителя, рН и др.) катализировать синтез пептидной связи с большей скоростью, чем ее гидролиз (осн. ф-ция этих ферментов).
Перспективно также осуществление синтеза пептидов на ДНК-матрице с использованием рибосом, находящихся вне живой клетки, а также методами генетической инженерии.
Биологически активные пептиды. Большую группу таких пептидов составляют пептидные гормоны (в т.ч. нейропептиды)-адрепокортикотропин, вазопрессин, гастрин, меланоцитсти-мулирующий гормон, окситоцин, опиоидные пептиды и др.
Нек-рые пептиды-регуляторы иммунитета. К таким пептидам относят гормоны тимуса, тетрапептид тафтсин Thr—Lys—Pro—Arg (букв. обозначения см. в ст. Аминокислоты), являющийся фрагментом домена СН2 иммуноглобулина G, и пептидный антибиотик циклоспорин А, обладающий иммунодепрессив-ными св-вами. К пептидным антибиотикам относят также актиномицины и др. Важную роль в активном транспорте ионов через биол. мембраны играют ионофоры.
Среди пептидов известны в-ва, обладающие высокой токсичностью,-токсины из яда пчел и ос, пептиды из бледной поганки (фаллоидин, аманитины и др.), нейротоксины из яда змей (см. Токсины). К биологически активным пептидам принадлежат анзерин, глутатион и карнозин, участвующие в биохим. р-циях в тканях животных, а также пептидные алкалоиды.
Нек-рые пептиды обладают выраженными вкусовыми качествами, напр. аспартам слаще сахара в 200 раз.
Лит.: Гринштейн Дж., Виниц M., Химия аминокислот и пептидов, пер. с англ., M., 1965; Шредер Э., Любке К., Пептиды, пер. с англ., т. 1 2, M., 1967; Новые методы анализа аминокислот, пептидов и белков, пер. с англ., M., 1974; Дэвени Т., Гергей Я., Аминокислоты, пептиды и белки, пер. с англ., M., 1976; Пептиды, пер. с англ., M., 1983; Стюарт Дж., в кн.: Реакции на полимерных подложках в органическом синтезе, пер. с англ., M., 1983, с. 417 97; Ленинджер А., Основы биохимии, пер. с англ., т. 1 3, M., 1985; Якуб-ке X.-Д., Ешкайт X., Аминокислоты, пептиды, белки, пер. с нем., M., 1985.
Ю. П. Швачкин.