Нингидриновая реакция
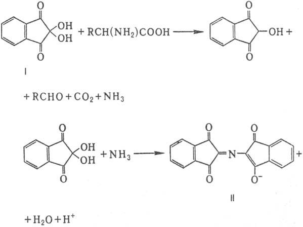
НИНГИДРИНОВАЯ РЕАКЦИЯ, цветная р-ция на a-аминокислоты, к-рую осуществляют нагреванием последних в щелочном р-ре избытка нингидрина (гидрата 1,2,3-ин-дантриона, ф-ла I):

Образующееся соед. II имеет фиолетово-синюю окраску (lмакс 570 нм). Пролин и гидроксипролин, у к-рых нет a-аминогруппы, в р-ции с нингидрином образуют производное желтого цвета (l.макс 440 нм). Нингидриновая реакция неспецифична, т. к. окрашенный продукт с нингидрином дают также NH3 и др. соед., содержащие аминогруппу (в т.ч. белки и пептиды). Однако р-ции с этими соед. осуществляются без выделения СО2 (нингидриновая реакция с выделением СО2 специфична только для a-аминокислот).
Р-цию используют для колориметрич. количеств. определения a-аминокислот, в т. ч. в автоматич. аминокислотных анализаторах.
Лит.: Ленинджер А., Основы биохимии, пер. с англ., т. 1, М., 1985, с. 126-27 П. Д. Решетов.
Дополнения к описанию нингидриновой реакции: