Способы защиты аминогруппы
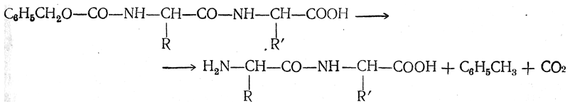
1. Образование карбобензоксипроизводных. Наиболее распространенный способ защиты аминогруппы, предложенный Бергманом и Зервасом (1932), заключается в ацилировании ее бензиловым эфиром хлоругольной кислоты — карбобензоксихлоридом. При обработке аминокислоты или пептида карбобензоксихлоридом в щелочной среде получается соответствующее карбобензоксипроизводное (бензилоксикарбонилпроизводное):

При восстановлении водородом на палладиевом катализаторе или натрием в жидком аммиаке карбобензоксипроизводное легко разлагается на аминокислоту (или пептид), толуол и углекислоту, например:

Карбобензоксигруппа может быть отщеплена также действием бромистого водорода, растворенного в ледяной уксусной кислоте:

2. Образование N-п-толуолсульфопроизводн ы х. п-Толуолсульфопроизводные получаются в результате действия на аминокислоту п-толуолсульфохлорида в щелочной среде:

Удаление остатка п-толуолсульфокислоты достигается восстановлением натрием в жидком аммиаке.
3. Образование трифенилметилпроизводных. Получение этих производных было рассмотрено на стр. 783.
Трифенилметильный остаток легко отщепляется в кислой среде: