Актиномицины

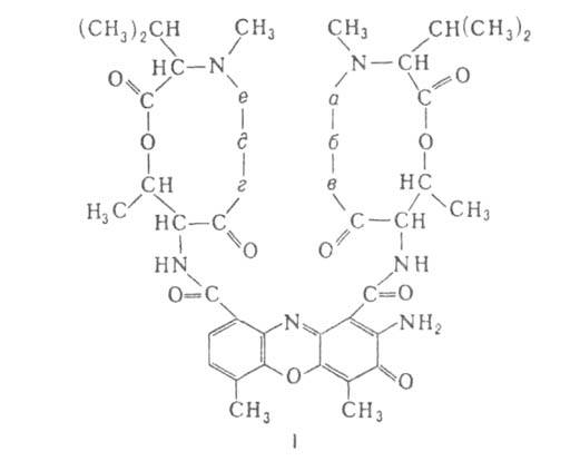
АКТИНОМИЦИНЫ, антибиотики, продуцируемые актиномицетами. Представляют собой ацилированный циклопенталептидами актиноцин (2-амино-4,6-диметил-3-оксофе-ноксазин-1,9-дикарбоновая к-та). В общей ф-ле I русскими буквами обозначены остатки аминокислот. Пентапептидный цикл замкнут между гидроксигруппой L-треонина и карбоксильной группой N-метил-L-валина. Многообразие актиномицинов обусловлено изменением состава или последовательности аминокислотных остатков в циклопентапептидах. Последние включают обычно, помимо L-треонина и N-метил-L-валина, саркозин, L-пролин, D-валин, D-аллоизолейцин, L-гидроксипролин.
1014-16.jpg

Как правило, продуценты образуют смеси актиномицинов, состав к-рых зависит не только от исходного штамма продуцента, но и от характера среды, продолжительности ферментации. Антибиотики экстрагируют из культуралыюй жидкости орг. р-рителями, очищают и разделяют хроматографи-чески (обычно на бумаге).

Актиномицины-оранжево-красные кристаллы; мол. м. ок. 1300; т.пл. 235-250°С; хорошо раств. в бензоле, ацетоне, СНС13, этилацетате, хуже-в низших спиртах, не раств. в воде, петролейном эфире. На свету неустойчивы. Максимумы поглощения в УФ-спектре при 240-245 и 440-450 нм, в ИК-спектре-приблизительно при 600, 2080, 1160, 1680-1700, 1750 и 3350см-1.

Выяснена структура более 20 актиномицинов. Осуществлен синтез нек-рых из них; одна из стадий синтеза-окислит. конденсация 4-метил-3-гидрокси-2-аминобензоилпентапептида. Актиномицины образуют комплексы с ДНК.

При концентрации 0,1 мкг/мл актиномицины подавляют рост грамположит. микроорганизмов, а при концентрации более 1 мкг/мл-грамотрицательных. Актиномицины высокотоксичны: ЛД50 0,5-1,3 мг/кг (мыши, внутривенно). Обладают выраженным цитотоксич. действием.

Наиб. практич. значение имеет дактиномицин (в ф-ле I а = е = саркозин; б = д = L-пролин; г = в = D-валин), мол. м. 1259, т. пл. 235, 5-236,6°С; в спектре поглощения максимум при 445 нм. Дактиномицин выделяют из продуктов жизнедеятельности Actinomyces parvullus. Применяется при лечении злокачеств. опухолей и как реактив в медикс-биол. исследованиях.

В медицине используются также препараты хризомаллин и аурантин, к-рые содержат дактиномицин и антибиотики С2 (в ф-ле I а = е = саркозин; б = д = L-пролин; в = = О-валин; г = D-аллоизолейцин) и С3 (а — е = саркозин; б = д = L-пролин; в = г = D-аллоизолейцин).

Литература

Свердлова А. Н., Н ефелова М. В., Силаев А.Б., "Антибиотики", 1979, т. 24, № 1, с. 7-11; Навашин С. М., Фомина И. П., Рациональная антибиотикотерапия, 4 изд., М., 1982. С.И. Денисова.

Синонимы/примеры:* Актиномицин D; Дактиномицин
*подобраны ИИ, возможны неточности