Гистидин

ГИСТИДИН [2-амино-3-(4-имидазолил)пропионовая к-та, His, H], мол. м. 155,16; бесцв. кристаллы. Для L-изомера т. пл. 287-288 °С (с разл.),1113-15.jpg - 39,74° (1,13 г в 100 мл Н2О). Для D-изомера1113-16.jpg +139,3°. Гистидин раств. в воде, ограниченно в этаноле, не раств. в эфире; при 25 °С рКа 1,77 (СООН), 9,0 (NH2) и 6,0 (имидазольный цикл); р/ 7,6.

Гистидин-1113-17.jpg-аминокислота со слабыми основными св-вами, обусловленными присутствием в молекуле остатка имидазола. Образует окрашенные продукты в биуретовой р-ции и с диазотированной сульфаниловой к-той (р-ция Паули), что используется для количеств. определения гистидина. При синтезе из гистидина пептидов наряду с1113-18.jpg -NH2-группой (см. Аминокислоты)защищают имидазольный остаток, для чего атом Н в положении 1 заменяют на 2,4-динитрофенильную, тозильную или 1-бензилоксикарбониламино-2,2,2-трифторэтильную группу. Для хим. модификации имидазолъного цикла гистидина в белках этот же атом Н замещают карбоксиметильной, карбоксиэтильной, 2,4-динитрофенильной группой или применяют фотоокисление.
1113-19.jpg

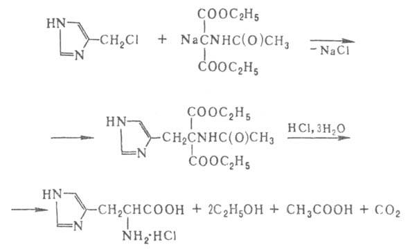
L-Гистидин-необходимый компонент пищи для животных и человека (незаменимая аминокислота). Встречается во всех организмах в своб. виде и в составе белков. При декарбоксилировании гистидина в организме образуется гистамин. Гистидин-кодируемая аминокислота; его биосинтез осуществляется из имидазолилглицерофосфата. Выделяют гистидин из гидролизатов гемоглобина и крови или синтезируют, напр. взаимод. 5-хлорметилимидазола с ацетами до малоновым эфиром:
1113-20.jpg

В УФ-спектре гистидина1113-21.jpg 211 нм,1113-22.jpg 6-103 ммоль-1*см-1. В спектре ЯМР L-гистидина в D2O хим. сдвиги протонов (в м. д.) у1113-23.jpgатома С составляют 3,984, у1113-24.jpgатома-3,224 и 3,12, в положении 2 и 4 гетероцикла-соотв. 7,75 и 7,051. Гидрохлорид гистидина применяется при лечении гепатита, язвенной болезни желудка и двенадцатиперстной кишки. Мировое произ-во ок. 200 Т/ГОД (1982). В.В.Баев.

Синонимы/примеры:* L-гистидин; (S)-2-амино-3-(1H-имидазол-4-ил)пропановая кислота; Glyoxaline-5-alanine
*подобраны ИИ, возможны неточности