Органический синтез
ОРГАНИЧЕСКИЙ СИНТЕЗ, раздел орг. химии, в к-ром рассматриваются пути и методы искусств. создания орг. соед. в лаб. и пром. масштабах. Широко применим в лаб. условиях (гл. обр. для исследоват. целей) и в пром-сти (см. Основной органический синтез. Тонкий органический синтез).
Успешное развитие органического синтеза началось после разработки теории хим. строения (см. Органическая химия)и накопления сведений о хим. св-вах орг. соед. (2-я пол. 19 в.). С этого времени органический синтез как осн. источник новых орг. соед. играет фундам. роль в становлении орг. химии как науки и в ее дальнейшем развитии, обеспечивая постоянно расширяющийся круг изучаемых объектов. Развитие органического синтеза в 20 в., особенно в последние десятилетия, характеризуется все возрастающим вниманием к синтезу прир. соед. и их аналогов, значит. укреплением методич. базы (созданием надежных синтетич. методов), началом создания самостоят. теории органического синтеза. Осуществление синтеза сложнейших прир. соед. (напр., хлорофилла, витамина В12, биополимеров), создание материалов с необычными св-вами (напр., т. наз. металлов органических)показывает, что для современного органического синтеза практически не существует неразрешимых задач.
В статье рассмотрены вопросы, касающиеся планирования органического синтеза,т. е. выбора оптим. пути получения соед. с заранее заданной структурой. Конкретные методы синтеза-образование новой связи С—С, введение функц. групп и др. изложены в статьях, посвященных р-циям (напр., алкилиро-вание, Арбузова реакция, диеновый синтез, нитрование).
Обычно синтез целевого соед. осуществляют из относительно простых и доступных (т. е. выпускаемых пром-стью) исходных в-в. Как правило, при синтезе сложных в-в путь от исходных соед. к целевому разбивается на ряд этапов (стадий), на каждом из к-рых происходит образование одной-двух связей (фрагментов) будущей молекулы или подготовка к образованию таких связей.
Осуществление органического синтеза сопряжено с решением двух осн. вопросов: 1) разработка общего плана синтеза, т.е. выбор оптим. исходных соед. и последовательности стадий, ведущих кратчайшим путем к целевому продукту (стратегия синтеза); 2) выбор (или разработка новых) синтетич. методов, обеспечивающих возможность построения необходимой связи в определенном месте собираемой молекулы (тактика синтеза).
Основу тактики органического синтеза составляют различные синтетич. методы, каждый из к-рых представляет собой стандартную совокупность одной или неск. р-ций и приемов выделения продуктов, к-рые обеспечивают возможность построения или разрыва определенного типа связи (или связей), необходимой для синтеза целевого соединения. Важные характеристики эффективного синтетич. метода - общность (слабая зависимость результата от конкретных особенностей структуры исходных соед.), селективность (участие в осн. р-циях метода лишь определенных функц. групп) и высокие выходы продуктов. Типичным примером эффективного синтетич. метода может служить синтез олефинов по Виттигу (р-ции 1-3) из алкилгалогенидов и карбонильных соед.:


Осн. методы органического синтеза можно разбить на три группы: 1) конструктивные, ведущие к образованию новых связей С—С, назначение к-рых-построение скелета будущей молекулы (напр., р-ция Гриньяра, р-ция Фриделя-Крафтса, цикло-присоединение); 2) деструктивные, ведущие к разрыву определенных связей С—С с целью удаления той или иной группировки из молекулы после того, как ее роль в синтезе сыграна (напр., декарбоксилирование, периодатное окисление диолов); 3) методы трансформации функц. групп. Последнее важно для введения в молекулы исходных или проме-жут. соед. функц. групп и их защиты (см. Защитные группы), требующихся для осуществления очередной конструктивной р-ции, а на заключит. стадиях синтеза-для введения необходимых функц. групп в целевое соединение.
Методы трансформации функц. групп (напр., превращ. спиртов в алкилгалогениды, простые и сложные эфиры, карбонильные соед. и обратные им превращения) хорошо разработаны. Это позволяет говорить о синтетич. эквивалентности функц. групп и целых фрагментов молекул, если они легко взаимопревращаемы. Напр., при синтезе замещенных бензиловых спиртов (4 и 5) и алкиларилов (4 и 6) введение в молекулу арена ацильного остатки (4) в синтетич. плане эквивалентно введению
-гидроксиалкилъного или алкильного остатка, поскольку карбонильная группа в про-межут. кетоне легко м. б. восстановлена до спиртовой (5) или до СН2-звена (6):

Принцип синтетич. эквивалентности позволяет использовать практически весь арсенал существующих р-ций для сборки целевой структуры почти независимо от конкретного распределения (или отсутствия) в ней функц. групп; напр., наращивание углеродной цепи путем алкилирования моно-замещенных ацетиленидов можно рассматривать как метод синтеза цис-олефинов, легко получаемых из дизамещенных ацетиленов путем частичного гидрирования.
Рассмотрение вопросов синтетич. эквивалентности привело к введению в органический синтез понятия "синтон", под к-рым подразумевают реальные или нереальные (виртуальные) частицы, присоединение к-рых к субстрату соответствует введению в него определенной (обычно достаточно крупной и распространенной в орг. соед.) группы. Синтон-понятие абстрактное, описывающее в символич. виде результат к.-л. синтетич. операции. Ему должен соответствовать тот или иной реагент (реагенты), участвующий в реальной р-ции. Так, напр., записанной на синтонном языке р-ции (7), ведущей к карбоновым к-там, соответствуют реальные р-ции (8 и 9), в к-рых синтетич. эквивалентом синтона -СООН выступает CN- (записывается -СООН
-CN), синтона R+-ал-килгалогенид или алкилсулъфонат (R+
RX):

Представление о синтонах широко используют для решения тактич. и стратегич. задач в ретросинтетическом анализе. При этом целесообразно осуществлять разборку (на схемах символ
) целевой молекулы таким образом, чтобы она вела к наиб. "распознаваемым" (т.е. хорошо разработанным и употребительным) синтонам. Так, напр., целесообразным путем ретросинтетич. анализа карбоновых к-т может служить разборка (а), ведущая к рассмотренным выше синтонам, либо разборка (б), ведущая к синтонам I и II:

Реагентами, эквивалентными синтонам I и II, могут служить соотв. металлоорг. соед. III и СО2, а реальными р-циями, отвечающими такой разборке,-р-ции 10 и 11:

Использование синтонного подхода в поиске оптим. путей синтеза позволяет в значит. мере формализовать (свести к набору нек-рых руководящих правил) выбор пути органического синтеза, основывавшийся ранее гл. обр. на личном опыте и интуиции исследователя. Синтонный подход позволяет иногда прийти чисто логич. путем к решениям эвристич. характера. Последнее связано гл. обр. с использованием "переполяризованных" синтонов, в к-рых вводимый в молекулу фрагмент характеризуется необычной, парадоксальной, с точки зрения обычных представлений орг. химии, полярностью или структурой. Примером может служить ретросинтетич. анализ альдегидов (12), ведущий к электроф. синтону R+, синтетич. эквиваленты к-рого традиционны, и "парадоксальному" синтону -СН=О. Последний м. б. реализован путем использования его синтетич. эквивалента-метилен-дитиоацеталя (IV), включение к-рого в последовательность р-ций (13) обеспечивает возможность генерирования карб-аниона (V) и получение целевого альдегида:

Т. обр., последовательность р-ций (13) эквивалентна первоначальной парадоксальной разборке (12).
Наряду с традиц. синтетич. методами, обеспечивающими сборку одной связи в молекуле, большую роль играют методы, в к-рых р-ция или последовательность р-ций обеспечивает образование неск. связей и одновременно сборку крупного мол. фрагмента, как, напр., в аннелировании по Робинсону (см. Робинсона -Манниха реакция). Поскольку методы такого типа позволяют решать не только частные тактич. задачи, но и вопросы целостного построения ключевого элемента структуры конечного продукта, их принято относить к числу стратегических.
При разработке стратегии сложного органического синтеза используют неск. разл. подходов. В логич. отношении наиб. простой из них состоит в последоват. ретросинтетич. разборке связей, входящих в целевую молекулу таким образом, чтобы в итоге выйти к подходящим исходным соединениям. Каждый шаг такой разборки должен приводить к распознаваемым синтонам, с тем чтобы обратная операция (сборка соответствующей связи в реальном синтезе) была обеспечена эффективным синтетич. методом. Для любой более или менее сложной орг. молекулы можно написать множество ретросинтетич. схем, построенных на таком принципе. Это же справедливо и для большинства промежут. соед., возникающих на каждом шаге ретросинтетич. анализа. В результате строится "древо" решений, выбор оптим. пути в к-ром требует глубокого анализа. Исследование теоретич. основ органического синтеза направлено, в частности, на создание методов отсечения наим. перспективных вариантов и поиск наиб. плодотворных. В этих исследованиях ключевое место занимает понятие стратегии, связи, т.е. такой связи, с разборки к-рой целесообразно начинать ретросинтетич. анализ (для целевых и промежут. соед.). Сформулирован ряд принципов выбора стратегич. связи, формализованных до такой степени, что на их основе появилась возможность создания программ для ЭВМ с целью осуществления ретросинтетич. анализа в т. наз. компьютерном синтезе. Однако такой подход имеет ряд недостатков. Один из них состоит в том, что молекула в этом случае рассматривается как сумма ковалентных связей, т.е. без учета специфики, присущей конкретной структуре как целому.
Тщательный же анализ такой специфики (второй путь планирования органического синтеза) позволяет в ряде случаев находить неожиданные эвристич. решения, обеспечивающие высокую эффективность синтеза. Пример такого решения трехста-дийный синтез прир. производных циклопентаноидов (14), осуществленных Г. Мета и А. Редди в 1981:

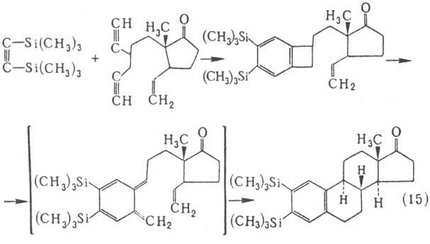
Третий принцип планирования состоит в выборе той или иной стратегич. р-ции как ключевой стадии синтеза (напр., построение присущего целевому соед. углеродного скелета) с послед. ретросинтетич. "подгонкой" целевой структуры к продукту этой р-ции. Несмотря на то что такой путь обычно сопряжен с включением в схему синтеза ряда дополнит. стадий (введения, удаления или защиты функц. групп), он нередко обеспечивает высокую эффективность схемы в целом, поскольку позволяет в одну-две стадии решить осн. стратегич. задачу синтеза. Так, в кратчайшем из известных на сегодня синтезе стероидов (его разработали Р. Фанк и К. Фольгардт в 1980) задача создания полициклич. скелета решается с помощью трех стратегич. р-ций, выполняемых в одном реакц. сосуде без выделения промежут. продуктов (схема 15):

"Болевая точка" многостадийного синтеза - низкий выход целевого продукта. При среднем выходе на стадию У общий выход на п стадий составляет Yn = Yn.
Поэтому важно при планировании сложного синтеза минимизировать число стадий и выбирать наиб. эффективные синтегич. методы для его осуществления.
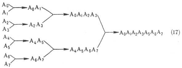
Др. путь повышения общего выхода - использование т. наз. конвергентных схем синтеза. При традиц. подходе сборка сложной молекулы из фрагментов Аi осуществляется путем последоват. усложнения исходного субстрата в соответствии с "линейной" схемой (16):

В отличие от такого приема, конвергентные схемы синтеза предполагают параллельную сборку укрупняющихся мол. блоков и заключит. сборку целевой молекулы из двух крупных блоков по схеме типа (17):

Для такой полностью конвергентной схемы зависимость общего выхода от числа стадий имеет вид
, что обусловливает значительно более слабую зависимость Yn от числа стадий (см. также табл.).
ЗАВИСИМОСТЬ ВЫХОДА КОНЕЧНОГО ПРОДУКТА (В %) ОТ ЧИСЛА СТАДИЙ (средний выход одной стадии 80%)
| Схема синтеза | Число стадий | ||||||
| 8 | 16 | 32 | 64 | 80 | |||
| Линейная | 16.8 | 2,8 | 0,08 | 6 10 5 | 2 10 6 | ||
| Конвергентная | 51,2 | 41 | 32,8 | 26 | 24,4 | ||
Конвергентные схемы имеют также др. преимущества перед линейными: возможность разобщения сходных функц. групп по разным ветвям схемы, в результате чего значительно упрощаются задачи обеспечения селективности р-ций (см. Региоселективностъ и региоспецифичность); возможность одновременной проработки разл. ветвей схемы, а также внесения необходимых изменений в те или иные участки схемы без нарушения общего стратегич. замысла. Осуществимость конвергентного пути синтеза строится на использовании р-ций, обеспечивающих возможность сборки молекул из крупных блоков, что, наряду с синтонным подходом, в значит. мере обусловило успехи органического синтеза (синтез хлорофилла, витамина В12, полинуклеотидов и др.) и перевод многих чисто препаративных синтезов в промышленные (напр., синтез стереоидных гормонов и простагландинов).
Лит.. Чижов О. С., Чижов А О., Рациональное планирование сложного органического синтеза, М., 1986; Бочков А Ф , Смит В А., Органический синтез, М., 1987. А.Ф. Бочков.