Биуретовая реакция

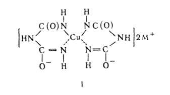
БИУРЕТОВАЯ РЕАКЦИЯ, цветная р-ция на биурет, к-рую осуществляют, прибавляя к щелочному р-ру последнего разб. водный р-р соли Сu2+ (обычно CuSO4). При этом р-р окрашивается в интенсивный фиолетовый цвет благодаря образованию комплексного соед. (ф-ла I, М+ - катион щелочного металла). В р-цию, подобную биуретовой, вступают многие в-ва, содержащие в молекуле не менее двух амидных группировок, аминогидроксиэтиленовую группу —CH(NH2)CH(OH)—, амиды и имиды аминокислот и нек-рые др. соединения. Продукты р-ции в этом случае имеют фиолетовую или синюю окраску. В условиях биуретовой реакции белки дают фиолетовую окраску, что использовалось для их качеств. и количеств. анализа.
1057-12.jpg

Литература

Каррер П., Курс органической химии, пер. с нем., 2 изд.. Л.. 1962; KurzerF., "Chem. Revs.", 1956, v. 56, № I, p. 181-87. П.Д. Решетов.

Комментарии*

Дополнения к описанию биуретовой реакции:

  • Механизм реакции: Образование хелатного комплекса между ионами меди(II) и пептидными связями (-CO-NH-) в щелочной среде. Для реакции необходимо наличие как минимум двух пептидных связей.
  • Современное применение:
    • Широко используется для количественного определения белка в биохимических исследованиях (биуретовый метод).
    • Применяется в клинической диагностике для анализа общего белка в сыворотке крови и других биологических жидкостях.
  • Особенности: Интенсивность фиолетового окрашивания пропорциональна количеству пептидных связей и, следовательно, концентрации белка в растворе.
*Подобраны с помощью LLM, верифицированы, но возможны неточности.