Изоцианаты
Изотиоцианаты (изороданиды, горчичные масла)-соед. общей ф-лы RN=C=S. Низшие изоцианаты-стабильные бесцв. жидкости с характерным запахом; ацилизотиоциана-ты-менее стабильны, с резким неприятным запахом.
В ИК спектрах изоцианатов присутствует сильная, широкая, часто расщепленная характеристич. полоса в области 2100-2000 см-1 (валентные колебания группы NCS); в УФ спектрах алифатических изоцианатов-полоса поглощения в области 244-248 нм (e ! 103), ароматические изоцианаты поглощают при более высоких длинах волн.
Изоцианаты легко присоединяют соед., содержащие подвижный атом Н:
RNCS + НХ : RNHQS)X
X = OR', OAr, SH, SR, CN, NH2, NHR, NRR', NHNH2, SO3Na и др.
При р-циях с карбоновыми и тиолкарбоновыми к-тами образуют амиды (одновременно выделяются COS или CS2); при взаимод. с карбанионами, полученными из соед. с активными метильными или метиленовыми группами, а также с реактивами Гриньяра-тиоамиды, напр.:

Х = O, S RNCS + -СН(СООСН3)2 : RNHC(S)CH(COOCH3)2
ArNCS + RMgl : ArNHC(S)R
Изоцианаты восстанавливаются Zn в НСl до RNH2, LiАlН4-до RNHCH3, NaВН4-до RNHC(S)H, при действии HgO образуются соответствующие изоцианаты.
Изоцианаты-полупродукты в синтезе гетероциклич. соединений. Так, при взаимод. с NaN3 образуются меркаптотетразолы; р-ция арилизотиоцианатов с диметоксикарбеном приводит к 5,5-диметоксидитиогидантоинам:

В р-циях изоцианатов с нуклеоф. реагентами (в случае, если одно или оба реагирующих в-ва содержат дополнит. функц. группу) гетероциклич. соединения часто образуются самопроизвольно, напр. при взаимод. арилизотиоцианатов с а-меркап-то- или a-аминокислотами:

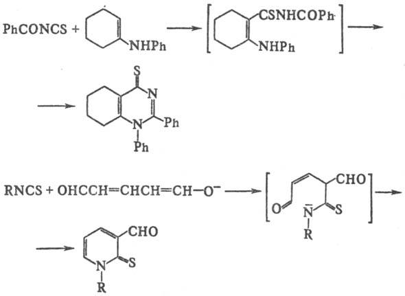
Изоцианаты могут использоваться для получения шестичленных гетероциклич. соед., напр. при взаимод. с енаминами или при р-ции с анионом глутаконового диальдегида:

Р-ция с ароматич. углеводородами в условиях р-ции Фриделя - Крафтса приводит к вторичным ароматич. тио-амидам. В нек-рых случаях возможно внутримол. тиокар-бамоилирование, напр.:

Осн. методы получения изоцианатов-термич. перегруппировка тиоцианатов (используют гл. обр. для синтеза ацилизо-тиоцианатов) и обработка первичных аминов тиофос-геном:

Изоцианаты получают также разложением разл. производных дитиокарбаминовой к-ты, напр. солей (последние образуются при взаимод. первичных аминов с CS2 в присут. оснований):

Алифатические и ароматические изоцианаты легко образуются при обработке CS2 первичными аминами в присут. дициклогек-силкарбодиимида либо при обработке N,N'-дизамещенных тиомочевин Р2О5 или сильными конц. к-тами при повыш. т-рах.
Изоцианаты могут быть получены из N,N'-тиокарбонилдиимидазо-ла: аминолиз последнего дает соответствующую тиомоче-вину, к-рая подвергается термич. разложению:

Изоцианаты используют для модифицирования смол, применяемых в произ-ве синтетич. волокон; для получения полиизотио-цианатов. Нек-рые изоцианаты обладают бактерицидными, фунги-цидными и инсектицидными св-вами (см. Аллилизотиоциа-нат, Метилизотиоцианат).
Изоцианаты раздражают слизистые оболочки и кожу.
Лит.: Общая органическая химия, пер. с англ., т. 5, М., 1983, с. 473-79, 673-84; Houben-Weyl, Methoden der organischen Cbemie, Bd E4, Stuttg.-N. Y., 1983, S. 940-69. А. А. Дудинов.