Вещества, экстрагируемые органическими растворителями из кислых водных вытяжек

К этой группе токсических веществ относятся барбитураты, производные ксантина, отдельные алкалоиды и некоторые другие ядовитые соединения.

§ 12. БАРБИТУРАТЫ И МЕТОДЫ ИХ ИССЛЕДОВАНИЯ

В современной медицине применяется большое число барбитуратов (производных барбитуровой кислоты). Барбитураты представляют собой одну из групп веществ, имеющих большое токсикологическое значение. Сама барбитуровая кислота (малонилмочевина) не применяется в медицине, зато широко используются ее производные.

Барбитуровая кислота со щелочами образует соли. Кислотные свойства барбитуровой кислоты обусловлены наличием атомов водорода в — NH-группах, находящихся рядом с карбонильной группой —СО—.

Применяемые в медицине барбитураты являются 5,5-замещен-ными (барбамил, барбитал, фенобарбитал и др.) и 1,5,5-замещен-ными (гексенал, гексабарбитал, бензонал и др.) барбитуровой кислоты.

Выделение барбитуратов из биологического материала

Для выделения барбитуратов из биологического материала долгое время применялись методы, которые были разработаны для выделения алкалоидов (см. гл. V, § 9—11). В последние десятилетия для выделения барбитуратов из объектов биологического происхождения предложен ряд специальных методов, которые описаны ниже.

Изолирование барбитуратов водой, подкисленной щавелевой кислотой. Оптимальные условия изолирования барбитуратов из биологического материала водой, подкисленной щавелевой кислотой, и способ очистки полученных вытяжек разработала М. Д. Швайкова с сотрудниками. Согласно этому методу, в коническую колбу или стакан вносят 100 г тщательно измельченных органов трупов, прибавляют 200 мл воды, подкисляют насыщенным водным раствором щавелевой кислоты до рН = 2 (по универсальному индикатору) и оставляют на 2 ч при частом перемешивании. Затем содержимое колбы переносят в стакан для центрифугирования вместимостью 500 мл и центрифугируют в течение 30 мин (3000 об/мин). Центрифугат сливают с осадка и процеживают через ватный тампон. Процеженную жидкость собирают в делительную воронку и проверяют рН этой жидкости. В случае необходимости жидкость доводят до рН = 2. Содержимое делительной воронки взбалтывают с тремя порциями хлороформа (по 20, 15 и 15 мл) в течение 5 мин. Если образуется эмульсия, то ее разрушают центрифугированием.

Хлороформные вытяжки соединяют, доводят хлороформом до 50 мл и переносят в делительную воронку, в которую прибавляют 25 мл 0,1 н. раствора гидроксида натрия, и взбалтывают. Водную фазу отделяют от хлороформной вытяжки. Эту вытяжку взбалтывают с двумя порциями воды по 1,5 мл. Первую и вторую порции воды (по 1,5 мл), которыми промывали хлороформные вытяжки, присоединяют к щелочной водной фазе. Потом водную фазу подкисляют соляной кислотой до рН = 2, вносят в делительную воронку и взбалтывают с двумя новыми порциями хлороформа (по 20 мл) в течение 5 мин. Хлороформные вытяжки соединяют и доводят хлороформом до 50 мл. В этих вытяжках определяют наличие и количественное содержание барбитуратов.

Изолирование барбитуратов водой, подкисленной серной кислотой. Метод выделения барбитуратов из биологического материала, основанный на изолировании этих веществ водой, подкисленной серной кислотой, разработала В. И. Попова. Согласно этому методу, биологический материал настаивают с водой, подкисленной серной кислотой (рН = 2...3). Полученные вытяжки освобождают от примесей методом гель-хроматографии. Для этой цели используется гель сефадекса G = 25.

В стакан вносят 100 г измельченного биологического материала, прибавляют 80 мл 0,02 н. раствора серной кислоты, перемешивают и проверяют рН среды. При необходимости смесь доводят до рН = 2...3 (по универсальному индикатору) 30 %-м раствором серной кислоты. Смесь биологического материала и подкисленной воды настаивают в течение 2 ч при частом перемешивании. Затем вытяжку сливают, а биологический материал еще 2 раза настаивают с новыми порциями 0,02 н. раствора серной кислоты (по 80 мл) в течение 1 ч. Кислые водные вытяжки соединяют, процеживают через сложенную в три слоя марлю и центрифугируют в течение 25—30 мин.

Надосадочную жидкость (центрифугат) сливают с осадка и очищают от примесей методом гель-хроматографии. Этот метод обеспечивает хорошую очистку барбитуратов, выделенных из биологического материала.

После очистки вытяжек из биологического материала с помощью метода гель-хроматографии получают большие объемы элюатов, в одном миллилитре которых содержатся малые количества барбитуратов. Поэтому барбитураты, находящиеся в элюатах, подвергают экстракционному концентрированию. С этой целью объединенные кислые элюаты 3 раза взбалтывают с новыми порциями хлороформа (по 50 мл) в течение 7 мин. Хлороформные вытяжки, полученные после каждой экстракции, соединяют и на водяной бане при 70 °С отгоняют из них 120—130 мл хлороформа. Оставшуюся упаренную хлороформную вытяжку при комнатной температуре выпаривают досуха. Сухие остатки используют для идентификации и количественного определения барбитуратов при помощи соответствующих реакций и методов.

Изолирование барбитуратов подщелоченной водой. Подщелоченную воду для изолирования барбитуратов из биологического материала впервые применил П. Валов. Для осаждения примесей, переходящих из биологического материала в вытяжки, он использовал вольфрамат натрия. В настоящее время известно несколько модификаций метода Валова. Одна из модификаций метода Валова, предложенная М. Д. Швайковой с сотрудниками, приводится ниже.

В стакан или в коническую колбу вносят 100 г измельченного биологического материала, прибавляют 180 мл воды и 20 мл 10 %-го раствора гидроксида натрия. Содержимое стакана (или колбы) оставляют на 30 мин при частом перемешивании, а затем центрифугируют в течение 30 мин (3000 об/мин). От осадка отделяют надосадочную жидкость (центрифугат), к которой прибавляют 120 мл 10 %-го раствора вольфрамата натрия и 1 н. раствор серной кислоты (до pH = 2). Жидкость нагревают на кипящей водяной бане в течение 20 мин, а затем подвергают центрифугированию (30 мин). Центрифугат сливают с осадка и процеживают через ватный тампон, смоченный водой. Процеженную жидкость собирают в делительную воронку. Тампон промывают водой (10 мл). Промывную воду тоже выливают в делительную воронку. К процеженной жидкости прибавляют равный объем диэтилового эфира и взбалтывают в течение 15 мин. Эфирный слой отделяют и взбалтывают с 50 мл 10 %-го раствора гидроксида натрия. Щелочной водный слой отделяют, подкисляют 25 %-м раствором серной кислоты до рН = 2 и взбалтывают с равным объемом диэтилового эфира. Полученную при этом эфирную вытяжку используют для обнаружения и количественного определения барбитуратов.

Обнаружение барбитуратов

Для обнаружения барбитуратов применяются цветные реакции, реакции осаждения, микрокристаллоскопические реакции, методы хроматографии, УФ- и ИК-спектроскопии и др.

Предварительная проба. Для обнаружения барбитуратов в моче применяют предварительную пробу, основанную на реакции этих веществ с ацетатом кобальта и гидроксидом лития.

В делительную воронку вносят 50 мл мочи, к которой по каплям прибавляют 10 %-й раствор серной кислоты до рН = 4...5 и 50 мл диэтилового эфира. Содержимое делительной воронки взбалтывают. После разделения фаз отделяют эфирную вытяжку. Водную фазу еще раз взбалтывают с 50 мл диэтилового эфира.

Эфирные вытяжки соединяют и выпаривают досуха. Сухой остаток растворяют в 1 мл хлороформа. К хлороформному раствору прибавляют 2 капли свежеприготовленного 1 %-го раствора ацетата кобальта в метиловом спирте и несколько капель свежеприготовленного 1 %-го раствора гидроксида лития в метиловом спирте. После прибавления каждой капли указанных реактивов жидкость взбалтывают. Появление голубой окраски указывает на наличие барбитуратов в моче.

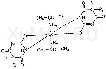
Реакция барбитуратов с изопропиламином и солями кобальта. Для обнаружения барбитуратов Парри (1924) предложил реакцию, основанную на взаимодействии этих веществ с солями кобальта и аммиаком. Позднее другие исследователи аммиак заменили изопропиламином. При взаимодействии барбитуратов с изопропиламином и солями кобальта образуются внутриком-плексные соединения:

Выполнение реакции. К 2 мл хлороформного раствора исследуемого вещества прибавляют 0,3 мл 1 %-го раствора ацетата кобальта в безводном этиловом спирте и 1 мл 5 %-го раствора изопропиламина в этиловом спирте. При наличии барбитуратов появляется фиолетовое окрашивание. Вместо этилового спирта можно использовать метиловый спирт.

Реакция с солями кобальта и щелочами. Цвиккер (1931) установил, что от прибавления хлорида кобальта и гидроксида бария к барбитуратам образуется окрашенное соединение. В 1932 г. Цвиккер вместо гидроксида бария применил гидроксид калия. Другие исследователи вместо гидроксида бария применяли гидроксид лития.

Выполнение реакции. Исследуемое вещество или остаток, полученный после выпаривания вытяжек из соответствующих объектов, растворяют в 0,2—0,5 мл абсолютного этилового спирта. К этому раствору прибавляют 1—2 капли 1 %-го раствора ацетата кобальта в абсолютном этиловом спирте и 1—2 капли 1 %-го раствора гидроксида калия в абсолютном этиловом спирте. При наличии барбитуратов появляется розовая или красная окраска.

Выполнению этой реакции мешает вода, которая разлагает окрашенное соединение. Поэтому при выполнении указанной реакции используют реактивы, растворенные в абсолютном этиловом или метиловом спирте. Оттенок и интенсивность окраски зависят от применяемого спирта, что объясняется различной соль-ватирующей способностью образовавшихся соединений этими спиртами. Указанную реакцию дают некоторые гидантоины, сульфаниламидные препараты, пурины, пиримидины и др.

Реакция с пиридином и солями меди. При взаимодействии барбитуратов с пиридином и солями меди образуются труднорастворимые комплексные соединения.

Под влиянием пиридина происходят енолизация и частичная ионизация барбитуратов. Пиридин с ионами меди образует положительно заряженный комплексный ион [Cu(Py)] 2+.

При взаимодействии комплекса пиридина с ионами меди и ионизированными молекулами барбитуратов образуется внутрикомплексное соединение:

Минеральные кислоты разлагают это соединение.

Осадки, образующиеся при взаимодействии барбитуратов с солями меди и пиридином, могут быть аморфными и кристаллическими.

Выполнение реакции. На предметное стекло наносят несколько капель раствора исследуемого вещества в хлороформе и выпаривают досуха. К сухому остатку прибавляют 2 капли 10 %-го раствора аммиака и 1—2 капли реактива (раствор сульфата меди в аммиаке и пиридине). При наличии барбитуратов через 10-15 мин появляются кристаллические или аморфные осадки.

Приготовление реактива (см. Приложение 1, реактив 53).

Мурексидная реакция. Для обнаружения барбитуратов предложено несколько вариантов мурексидной реакции. Один из вариантов этой реакции приводится ниже.

В фарфоровую чашку к сухому остатку, полученному после выпаривания вытяжек из биологического материала, или к небольшому количеству сухого вещества прибавляют 3 капли 3 %-го раствора пероксида водорода и 3 капли реактива, содержащего соль Мора и хлорид аммония. Содержимое чашки выпаривают, сухой остаток нагревают до появления белых паров. После охлаждения прибавляют 3 капли 6 н. раствора аммиака.

При наличии некоторых барбитуратов и тиобарбитуратов появляется розовая окраска.

Мурексидную реакцию дают барбамил, барбитал, фенобарбитал, этаминал-натрий и тиопентал. Не дают этой реакции гек-сенал, гексобарбитал и циклобарбитал (В. И. Попова).

Приготовление реактива (см. Приложение 1, реактив 51).

Выделение кислотной формы барбитуратов. На предметное стекло наносят несколько капель раствора барбитурата в хлороформе, который выпаривают при комнатной температуре. После выпаривания исследуемого раствора на то же место наносят следующую каплю этого раствора, который также выпаривают досуха. Сухой остаток растворяют в одной капле концентрированной серной кислоты. Через 3—5 мин после охлаждения раствора рядом с ним наносят каплю воды. Затем эти капли соединяют при помощи капилляра. Через 10—20 мин (а при малых количествах барбитуратов через 1—2 ч) появляются кристаллические осадки. Для каждого барбитурата кристаллы имеют определенную форму.

Гадамер, а также К. П. Стюарт и А. Стольман указывают, что многие барбитураты могут находиться в нескольких полиморфных модификациях. Поэтому при идентификации барбитуратов по форме кристаллов необходимо учитывать возможность появления нескольких кристаллических форм одного и того же вещества.

Реакция с хлорцинкиодом. На предметное стекло наносят несколько капель хлороформного раствора исследуемого вещества и выпаривают досуха. К сухому остатку прибавляют 1 каплю раствора хлорцинкиода. Через 10—15 мин под микроскопом наблюдают форму образовавшихся кристаллов. При наличии барбитуратов (барбамил, барбитал, бутобарбитал, эта-минал) в исследуемом растворе появляются кристаллические осадки.

Приготовление реактива (см. Приложение 1, реактив 60).

Реакция со смесью растворов хлорида железа и иодида калия. На предметное стекло наносят несколько капель раствора исследуемого вещества в хлороформе. Этот раствор выпаривают досуха. К сухому остатку прибавляют каплю реактива. Через 10— 15 мин под микроскопом наблюдают форму образовавшихся кристаллов, которые появляются при наличии ряда барбитуратов (барбамил, бутобарбитал, фенобарбитал, этаминал).

Приготовление реактива (см. Приложение 1, реактив 57).

Реакция с дииодокупратом калия в растворе иода. На предметное стекло к сухому остатку, полученному после выпаривания раствора исследуемого вещества, прибавляют каплю реактива. При наличии барбитуратов (барбамил, бутобарбитал, этаминал) образуются кристаллические осадки.

Приготовление реактива (см. Приложение 1, реактив 11).

Реакция с подкисленным спиртовым раствором иодида калия. На предметное стекло к сухому остатку, полученному при выпа-

ривании исследуемого раствора, наносят 2 капли реактива. При наличии барбитуратов (барбитал, бутобарбитал, гексенал, этаминал) через 10—15 мин появляются кристаллические осадки.

Приготовление реактива (см. Приложение 1, реактив 16).

Реакция с родамином 6Ж. При взаимодействии родамина 6Ж с солями барбитуратов (барбамил, гексенал, этаминал-натрий) образуются окрашенные ионные ассоциаты, экстрагируемые четыреххлористым углеродом.

Выполнение реакции. В делительную воронку вносят 0,1 мл раствора исследуемого вещества, прибавляют 0,2 мл 0,1 %-го раствора родамина 6Ж и 1 мл четыреххлористого углерода. Смесь взбалтывают в течение 1 мин. При наличии солей барбитуратов слой четыреххлористого углерода приобретает светло-оранжевую или оранжево-красную окраску.

Эта реакция пригодна для обнаружения барбамила, гексена-ла и этаминал-натрия в фармакопейных препаратах и в лекарственных смесях (В. И. Попова).

Обнаружение барбитуратов по спектрам поглощения в УФ-области. Описанный ниже метод позволяет обнаружить отдельные барбитураты и определить принадлежность их к соответствующим группам барбитуратов.

К сухому остатку, полученному при выпаривании вытяжек из биологического материала или лекарственных форм, прибавляют 5 мл воды. После растворения сухого остатка полученный раствор фильтруют, затем к фильтрату прибавляют 1 каплю 2 н. раствора аммиака (рН~10) и снимают спектр поглощения. При этом 5,5-замещенные (барбамил, барбитал, бутобарбитал, фенобарбитал, циклобарбитал, этаминал) и 1,5,5-замещенные (гексенал, гексобарбитал) барбитуровой кислоты имеют максимум поглощения при длине волны около 240 нм, а производные тиобарбитуровой кислоты имеют 2 максимума (при 305 и при 255 нм). Если к этому раствору прибавить 1—2 капли 2 н. раствора серной кислоты (рН~2), то максимум поглощения 1,5,5- и 5,5-замещенных барбитуровой кислоты исчезает. В этих условиях для тиобарбитуратов максимумы поглощения смещаются до 290 и 239 нм. После прибавления к указанным растворам 1—2 капель 4 н. раствора гидроксида натрия (рН~13) появляется максимум поглощения 1,5, 5-замещенных барбитуровой кислоты при 240 нм, а для 5,5-производных этой кислоты — при 255 нм. Для тиобарбитуратов появляется максимум при 305 нм, а второй максимум исчезает.

Обнаружение барбитуратов методом хроматографии в тонком слое сорбента. Для обнаружения барбитуратов применяют метод хроматографии в тонком слое сорбента. Этот метод позволяет не только обнаружить отдельные барбитураты, но и отличить их друг от друга.

Способы обнаружения отдельных барбитуратов приведены ниже.

Количественное определение барбитуратов

Для количественного определения барбитуратов, выделенных из биологического материала, применяют фотоколориметрические и спектрофотометрические методы. Один из фотоколориметрических методов количественного определения барбитуратов, разработанный В. И. Поповой, приводится ниже.

Сухие остатки барбитуратов, выделенных из биологического материала методом изолирования этих веществ водой, подкисленной серной кислотой (см. выше), в зависимости от исследуемого барбитурата растворяют в хлороформе или в метиловом спирте. Сухие остатки барбитала, гексенала, фенобарбитала и циклобарбитала растворяют в 6 мл хлороформа, а сухие остатки барба-мила и этаминала — в 2 мл метилового спирта. Объемы растворов барбамила и этаминала в метиловом спирте доводят хлороформом до 6 мл. К полученным растворам барбитуратов прибавляют по 5 мл 0,125 %-го раствора ацетата кобальта в метиловом спирте и по 1 мл 50 %-го раствора изопропиламина в метиловом спирте. Оптическую плотность окрашенных в фиолетовый цвет растворов измеряют при помощи фотоэлектроколориметра ФЭК-М (светофильтр зеленый, кювета 20 мм) или с помощью другой марки фотоэлектроколориметра.

В качестве раствора сравнения применяют смесь перечисленных выше реактивов.

Синонимы/примеры:* Барбитуровая кислота; Веронал; Фенобарбитал; Барбитал; Люминал; Амутал; Нембутал; Секонал
*подобраны ИИ, возможны неточности