Пурин
ПУРИН (9H-имидазо [4,5-d] пиримидин), ф-ла I, мол. м. 120,11; бесцв. кристаллы; т. пл. 216-217°С; легко возгоняется в вакууме; хорошо раств. в воде, горячем этаноле, бензоле, толуоле, плохо-в ацетоне, диэтиловом эфире, этилацетате, хлороформе. Устойчив к нагреванию в водных р-рах к-т и щелочей, а также действию окислителей (горячая HNO3 и др.). Пурин амфотерен (рКа 2,39 и 9,93). Образует соли с НС1, HBr, HNO3 (т. пл. 205 °С), пикриновой к-той (т. пл. 208 °С), нек-рыми металлами (по атому водорода имидазольного кольца). С бромом образует неустойчивый комплекс. Для пурина характерна прототропная таутомерия:

Пурин-я-дефицитная гетероароматич. система. Электроф. агенты присоединяются гл. обр. по атомам N. При нагр. с уксусным ангидридом пурин превращ. в смесь 7(9)-ацетил-производных. Действие диметилсульфата в водной щелочи или диазометана в спиртово-эфирном р-ре на пурин, а также обработка его серебряной или таллиевой соли эквимоляр-ным кол-вом СН3I в ДМФА (20°С) приводит к 9-метил-пурину. С избытком СН3I в ДМФА с выходом 65% получается 7,9-диметилпуринийиодид; 6-метилпурин в аналогичных условиях превращ. в 6,9-диметшшурин. Взаимод. PhCH2Br с таллиевой солью пурин приводит к 9-бензилпурину. Электроф. замещение по атомам С характерно только для производных пурина с активирующими заместителями и идет всегда по положению 8, напр. при хлорировании газообразным хлором, прямом бромировании, нитровании.
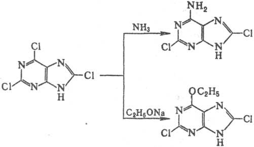
Производные пурина легко вступают в р-ции нуклеоф. замещения, напр.:

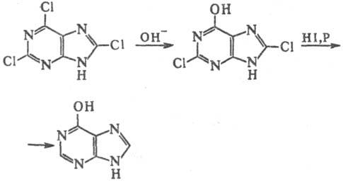
Щелочной гидролиз 2,6,8-трихлорпурина с послед. восстановлением приводит к гипоксантину (бесцв. кристаллы, разлагающиеся при 150 °С; pKa1 1,98, рКа2 8,94, рКа3 12,1):

При сплавлении с серой при 245 °С пурин превращ. в 8-мер-каптопурин; под действием света присоединяет этанол с образованием 1,6-дигидро-6-(1-гидроксиэтил) пурина (ф-ла II). Окисление действием Н2О2 в уксусном ангидриде приводит к смеси пурин-1-оксида (III) и пурин-3-оксида. В присут. ксантиноксидазы происходит ферментативное окисление пурина в мочевую к-ту (IV).

Пурин встречается в природе в форме 9-b-D-рибофуранозиль-ного производного-небуларина, к-рый выделен из грибков Agaricus nebularis и плесени Streptomyces yokosukonensis. Из небуларина пурин может быть получен при гидролизе 3%-ным р-ром НС1.
Синтезируют пурин циклизацией 4,5-диаминопиримидина, к-рый, в свою очередь, м. б. получен взаимод. амино-ацетонитрила с формамидом (250 °С):

Др. методы синтеза пурина-дегалогенирование 6-хлор-, 2,6-дихлор- или 2,6,8-трихлорпурина под действием Zn-пыли в водном р-ре или над Pt-катализатором, а также десульфи-рование 6-меркапто- или 2,6-димеркаптопурина над Ni-Pe-нея в водном р-ре.
Производные, содержащие систему пурина, широко распространены в природе и играют большую роль во мн. биол. процессах. Важнейшие производные пурина-аденин, гуанин (см. Пуриновые основания), гипоксантин, кофеин (см. также Пури-новые алкалоиды), мочевая кислота. Ядро пурина входит в состав нек-рых антибиотиков и нуклеотидов, являющихся структурными фрагментами нуклеиновых к-т. Пурин и ряд его производных обладают противоопухолевой, противовирусной и противоаллергич. активностью.
Лит.: Гетероциклические соединения, под ред. Р. Эльдерфилда, пер. с англ., т. 8, М., 1969, с. 130-300; Heterocyclic compounds, ed. by A. Weissberger, v. 24, N.Y., 1971, p. 117-34. И.М. Овчарова.