Сульфаниламидные препараты
СУЛЬФАНИЛАМИДНЫЕ ПРЕПАРАТЫ (СП), лек. в-ва антимикробного действия-производные амида сульфани-ловой к-ты (сульфаниламида; ф-ла I). Термины "сульфон-амиды" и "сульфаниламиды" используют для обозначения как антимикробных препаратов (собственно СП), так и препаратов с антидиабетич. (напр., букарбан)и мочегонным действием (диакарб; см. Диуретические средства), содержащих в молекуле сульфамоильную группу NH2SO2.
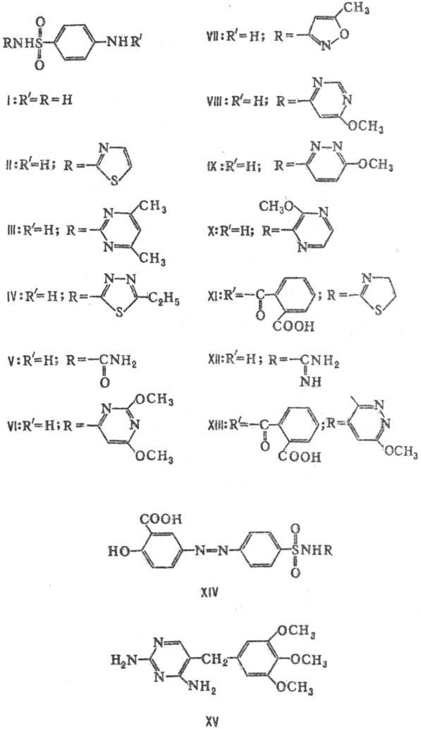
Синтезировано более 10 тыс. производных сульфаниламида, из к-рых в медицине используется ок. 40. СП получают замещением водорода сульфамоильной или аминогруппы сульфаниламида. Большинство лек. ср-в характеризуется наличием незамещенной аминогруппы в пара-положении к сульфамоильной. Антимикробная активность СП обычно повышается при замещении водорода сулъфа-моильной группы нек-рыми гетероциклами (остатками пиримидина, пиразина и др.) и снижается при замещении водорода аминогруппы.
СП,-как правило, бесцв. кристаллы без запаха; нек-рые слегка горьковатого вкуса. Окрашены салазосульфанил-амиды- продукты азосочетания производных СП с салициловой к-той (см. ниже). СП в виде оснований плохо растворимы в воде. Для приготовления водных растворов их используют в виде натриевых или метилглюкаминовых солей.
СП - препараты широкого спектра антимикробного действия; активны в отношении грамположит. и грамотрицат. бактерий, нек-рых простейших (плазмодии малярии, токсо-плазмы), хламидий, актиномицетов, микобактерий лепры. Неактивны в отношении сальмонелл, синегнойной палочки, микобактерий туберкулеза, спирохет, лептоспир, вирусов. СП оказывают обычно бактериостатич. эффект, подавляя рост и размножение микробных клеток. Бактерицидное действие СП наблюдается только при определенных условиях (в высоких концентрациях, при продолжит. и постоянном воздействии препаратов).
Механизм антибактериального действия заключается в том, что СП нарушают образование микробами необходимой для их развития дигидрофолиевой к-ты, в синтезе к-рой участвует n-аминобензойная к-та (ПАБК). СП конкурирует с ПАБК, в результате чего образуется не дигид-рофолиевая к-та, а ее аналог. СП действуют на те виды микроорганизмов, к-рые самостоятельно осуществляют Синтез дигидрофолиевой к-ты, и не действуют на бактерии, к-рые утилизируют ее в готовом виде. При совместном применении СП с производными диаминопиримидина синтез фолиевых к-т нарушается еще и на стадии образования тетрагидрофолиевой к-ты, что приводит к нарушению синтеза нуклеотидов и обусловливает бактерицидное действие.
В зависимости от скорости выведения из организма различают препараты: а) короткого действия (время выведения 50% препарата Т50 < 10 ч), б) среднего действия (Т50 10-24 ч), в) длит. действия (Т50 24-60 ч), г) сверхдлит. действия (Т50 > 60 ч).
СП средней продолжительности, длительного и сверхдлительного действия составляют группу депо-сульфаниламидов. Последние отличаются от СП короткого действия более высокой липофильностью и поэтому легко реабсор-бируются в почечных канальцах и медленнее выводятся из организма.
Для системного лечения инфекц. заболеваний применяют СП, к-рые легко всасываются в кровь из кишечника. К ним относят стрептоцид (сульфамид; I), норсульфазол (II), сульфадимезин (III), этазол (IV), уросульфан (сульфанил-мочевина; V), сульфадиметоксин (VI), сульфаметоксазол (гантанол; VII), сульфамономегоксин (VIII), сульфапирида-зин (кинекс; IX), сульфален (келфизин, сульфаметопиразин; X) и др.
Для лечения дизентерии и энтероколитов применяют препараты, к-рые трудно всасываются и относительно долго находятся в кишечнике, напр. фталазол (XI), сульгин (XII), фтазин (XIII).

Для лечения неспецифич. язвенного колита, болезни Крона используют салазосульфаниламиды: салазосульфа-пиридин (в ф-лг XIV R-2-пиридинил), салазопиридазин (в ф-ле XIV R такой же, как в IX), салазодиметоксин (в ф-ле XIV R такой же, как в VI).
Обычно применяют комбинир. препараты, содержащие СП и производные диаминопиримидина, потенцирующие действие СП, напр.: бисептол (бактрим)-смесь сульфамет-оксазола (VII) и триметоприма (XV) в соотношении 5:1; сульфатен-смесь сульфамонометоксина (VIII) и триметоприма в соотношении 2,5:1.
При больших концентрациях СП в организме возможно развитие кристаллурии (выпадение в почках кристаллов СП и продуктов их ацетилирования и выведение их с мочой) и др. побочных явлений.
Лит.: Падейская Е. Н., Полухина Л. М., Новые сульфаниламидные препараты длительного действия для лечения инфекционных заболеваний, М., 1974; Кивмаи Г. Я., Рудзит Э.Я., Яковлев В. П., Фармакокинетика хи-миотерапевтических препаратов, М., 1982; Машковский М.Д., Лекарственные средства, 11 изд., т. 2, М., 1988. Л. Д. Шипилова.