Спирты
СПИРТЫ (алкоголи), орг. соед., содержащие в молекуле одну или неск. гидроксильных групп ОН у насыщ. атомов углерода. По кол-ву этих групп различают одно- (иногда термин "алкоголи" относят только к одноатомным спиртам), двух- (гликоли), трех- (глицерины) и многоатомные спирты. Спирты, содержащие две группы ОН у одного атома углерода (гем-диолы), как правило, неустойчивы. Нек-рые из этих соед., напр. стабилизированные внутримол. водородными связями, стабильны. Спирты могут содержать Hal, группы NH2, СНО и СО, СООН, CN (соотв. галогена-спирты, аминоспирты, оксиалъдегиды и оксикетоны, окси-кислоты, оксинитрилы). Алифатические спирты могут быть первичными RCH2OH, вторичными RR'CHOH и третичными RR'R:СОН. Соед. с группой ОН при двойной связи относят к енолам, а при углероде ароматич. кольца-к фенолам.
По номенклатуре ИЮПАК, название спиртов производят прибавлением к назв. соответствующего углеводорода суффикса "ол" либо префикса "гидрокси" для соед. со смешанными ф-циями или в случае, когда группа ОН находится в боковой цепи, напр.: НОСН2СН2СН(СН2ОН)СН2ОН наз. 2-гидроксиметил-1,4-бутандиол. Многие спирты имеют тривиальные назв. (см. табл.).
В природе спирты встречаются в виде сложных эфиров (жиры, воски, эфирные масла) и в своб. состоянии. Так, 3-гексенол (т. наз. спирт листьев) содержится в зеленых листьях и фруктах, эфирных маслах, бензиловый спирт-в жасминном масле, а фенетиловый спирт-в розовом масле.
Свойства. Спирты-жидкости или твердые в-ва, хорошо раств. во мн. орг. р-рителях. Низшие алифатические спирты раств. в воде; высшие алифатич. и арилалифатические спирты плохо раств. в воде.
Алифатич. спирты С1-С3 обладают характерным алкогольным запахом, С4-С5 сладковатым удушливым запахом, высшие алифатические спирты без запаха, арилалифатические спирты и терпеноиды, содержащие группу ОН, с фруктово-цветочным запахом.
Атом кислорода гидроксильной группы имеет sp3-гибридизацию. Средние длины связей 0,143 нм (С—О) и 0,091 нм (О—Н). Обе связи полярны. Полярностью группы ОН и. ее способностью образовывать водородные связи объясняют относительно высокие значения т-р кипения и диэлектрич. проницаемости спиртов.
В ИК спектрах спиртов характеристич. полосы поглощения лежат в области 3580-3670 см-1 (своб. группа ОН). 3450-3550 см-1 (внутримол. ассоциаты), 3200-3400 см-1 (межмол. ассоциаты). В УФ и видимой областях спектра группа ОН не поглощает. В спектрах ПМР хим. сдвиг группы ОН d 0,5-5,5 м. д., мультиплетность сигнала зависит от характера спирта: первичные спирты дают триплет, вторичные-дублет, третичные-синглет. Группа ОН обладает отрицат. индукционным и положит. мезомерным эффектами: константа Тафта s* 1,55, константы Гаммета sмета 0,121, sпара - 0,37,
-0,853.
Подобно воде, спирты проявляют амфотерные св-ва. Величина рKa (вода, 25 °С) для СН3ОН 15,1, С2Н5ОН 15,9, (СН3)3СОН
19, (CF3)3COH 5,4.
Большинство р-ций спиртов протекает с разрывом связей О—H или С—О. Для спиртов характерны также р-ции, в к-рых участвуют a-H-атом (окисление), b-H-атом (дегидратация). или d-Н-атом (окислит. циклизация).
Со щелочными, щел.-зем. и др. металлами спирты образуют алкоголяты, напр.:

Р-ция с сильными минер. к-тами приводит либо к эфирам этих к-т (избыток к-ты), либо к простым эфирам (избыток спирта), напр.:
С3Н7ОН + HOSO3H
C3H7OSO3H+Н2O

Р-ция образования простых эфиров может протекать по механизмам SN2 (R и R'-первичный алкил) либо SN1 (R-mpem-алкил, аллил, бензил) в зависимости от легкости образования карбкатиона; для р-ций, протекающих по механизму SN1, используют мягкие условия (разб. к-ты, по-ниж. т-ру) во избежание дегидратации до олефинов. Дегидратация под действием сильных минер. к-т идет и в случае первичных или вторичных спиртов.
Простые эфиры образуются также при дегидратации спиртов в присут. катализаторов либо при их присоединении по кратным связям, напр.:

С2Н5ОН + CH3CH=CHCN
CH3CH(OC2H5)CH2CN
Р-ция спиртов с альдегидами в присут. НСl, n-толуолсульфо-кислоты и др. катализаторов приводит к ацеталям, напр.:
С2Н5ОН + СН3СНО
CH3CH(OC2H5)2
При взаимодействии спиртов с карбоновыми к-тами образуются сложные эфиры: р-цию проводят в избытке спирта с одновременным удалением воды в присут. катализаторов (НС1, BF3, H2SO4 и др.); в случае первичных и вторичных спиртов катализатор активирует к-ту, в случае третичных-спирт:

К сложным эфирам приводят также р-ции спиртов с ангидридами, хлорангидридами, нитрилами, присоединение спиртов к кетенам:

При взаимодействии спиртов с изоцианатами образуются уре-таны, при взаимод. с НС1, SOCl2, PCl3 и др. происходит обмен группы ОН на галоген (легче всего для третичных спиртов), напр.:
ROH + R'NCO : R'NHCOOR ROH + SOCl2 : RCl + HCl + SO2
Восстановление спиртов приводит к углеводородам, действие NH3-к аминам (последнюю р-цкю используют в пром-сти для получения низших алифатич. аминов), напр.:

При действии окислителей (Na2Cr2O7, KMnO'4, N-бром-сукцинимид и др.) первичные спирты превращаются в альдегиды (и далее в к-ты), вторичные - в кетоны (окисление вторичных спиртов в условиях р-ции Оппенауэра также приводит к ке-тонам); такие же превращения могут осуществляться каталитич. дегидрированием спиртов в газовой (напр., пропусканием паров спиртов над Cu, Ag, Cr, Ni) или жидкой фазе (над Rh, Ru, Os). Третичные спирты устойчивы к окислению в нейтральных и щелочных средах, в кислой среде происходит отщепление воды и расщепление углеродного скелета с образованием кетонов или к-т с меньшим числом атомов углерода. В пром-сти часто применяют каталитич. окисление спиртов кислородом воздуха (так получают СН2О из СН3ОН, СН3СНО и СН3СООН из С2Н5ОН) и электрохим. окисление.
При окислении спиртов, содержащих d-H-атом, происходит циклизация с образованием производных фурана, напр.:

При взаимод. С2Н5ОН с гипогалогенитами Na образуются соотв. хлороформ, бромоформ и йодоформ (т. наз. галоформная р-ция):

Анализ. Спирты дают окрашенные соед. с соед. Ce(IV), напр. аммонийцерийгексанитратом (NH4)2 [Ce(NO3)6]. Для идентификации спиртов используют р-ции с хлорангидридами бензойной или 3,5-динитробензойной к-ты, либо с фенил-изоцианатом, приводящие к образованию хорошо кристаллизующихся эфиров бензойной к-ты или уретанов. Для количеств. определения гидроксильных групп применяют метод Церевитинова: ROH + R'MgX : ROMgX + R'H, a для смесей используют хроматографич. методы.
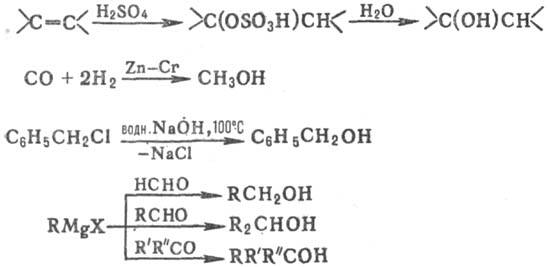
Получение. Получают спирты гидратацией олефинов и присут. H2SO4 или Н3РО4 (в осн. алканолы С2—С4); восстановлением СО на катализаторах Zn—Сг при т-ре 300-400 °С и давлении 25-45 МПа (наряду с СН,ОН образуются С3Н7ОН, изо-С4Н9ОН и алканолы С5-С14); гидролизом галогенсодержащих соед.; взаимод. карбонильных соед. с реактивами Гриньяра, напр.:

Для получения спиртов используют также восстановление карбонильных соед. натрием, его амальгамой, LiAlH4 в условиях р-ции Меервейна-Понндорфа-Верлея, гидрирование в присут. катализаторов (Pt, Ni) либо электролитич. восстановление.
Для пром. получения бутанола, 2-этилгексанола и пента-эритрита используют альдольную конденсацию, напр.:

Первичные спирты (в т. ч. ароматические) образуются по р-ции Канниццаро либо при взаимод. бензола с алкеноксидами в присут. АlСl3 в условиях р-ции Фриделя-Крафтса; ацетиленовые-по р-ции Реппе; гидроксиэфиры-в условиях р-ции Кнёвенагеля, напр.:

Известны др. способы синтеза спиртов: гидроборирование ал-кенов, гидролиз сложных эфиров, ферментативное брожение Сахаров.
Применение. Применяют спирты как полупродукты в синтезе разл. орг. соед. (формальдегида, ацетальдегида, ацетона, уксусной к-ты, диэтилового эфира, сложных эфиров карбо-новых к-т), в произ-ве красителей, синтетич. волокон, душистых в-в, лек. препаратов, моющих ср-в, пластификаторов и мономеров, в пищ. пром-сти. Спирты используют как р-рители, ПАВ и др., метиловый спирт также в качестве моторного топлива.
Наиб. значение имеют амиловые спирты, бензиловый спирт, бутиловые спирты, высшие жирные спирты, метиловый спирт, пентаэритрит, пропиловый спирт, b-фенил-этиловый спирт, циклогексанол, этиленгликоль, этиловый спирт.
Среди спиртов наиб. токсическим действием обладает метанол (смертельная доза 100-150 мл), окисляющийся в организме до формальдегида и муравьиной к-ты. Токсичность многоатомных спиртов невысока, за исключением эти-ленгликоля, образующего в организме ядовитую щавелевую к-ту.
Мировое произ-во спиртов 30 млн. т/год (1985).
Лит.: Теддер Дж., Нехватал А., Джубб А., Промышленная органическая химия, пер. с англ., М., 1977; Общая органическая химия, пер. с англ., т. 2,, М., 1982; Monick J.A., Alcohols. Their chemistry, properties and manufacture, N.Y., 1968; The chemistry of the hydroxyl group, ed. by S. Patai, L., 1971; Kirk-Othmer encyclopedia, 3 ed., v. I, N.Y., 1978. С. К. Смирнов.