Пиридин
ПИРИДИН, мол. м. 79,1; бесцв. жидкость со специ-фич. запахом; т. пл. -42,70C, т. кип. 115,4°С/760 мм рт. ст., 13,2°С/10ммрт.ст.;
0,9819:
1,5095; m 7,30 х х 10-30 Кл·м; g 3,7· 10-2 Н/м (250C); h 0,885 мПа·с (250C); Сp 135,62 кДж/моль·K) (170C),
— 2783 кДж/моль. Смешивается во всех отношениях с водой и большинством орг. р-рителей; с водой образует азеотропную смесь (т. кип. 940C, 58% по массе пиридина).

Пиридин-основание (рКа 5,20). С неорг. к-тами образует устойчивые соли, с алкилгалогенидами -пиридиния соли, с гало-генидами металлов, SO2, SO3, Br2, H2O-комплексные соединения. Характерные производные: (C5H5N·HCl)2·PtCl2 (т. пл. 262-2640C, с разл.), C5H5N·HCl·2HgCl2 (т пл. 177-1780C).
Обладает ароматич. св-вами; содержит 6p-электронов, образующих единую замкнутую систему, в к-рой из-за отрицат. индукц. эффекта атома N электронная плотность у атомов С, особенно в положениях 2, 4 и 6, понижена (p-дефицитный гетероцикл).
Электроф. замещение протекает с большим трудом (пиридин по способности к электроф. замещению близок к нитробензолу) и идет в положение 3. Большинство этих р-ций протекает в кислой среде, в к-рой исходным соед. является уже не сам пиридин, а его соль. Пиридин нитруется лишь под действием NaNO3 или KNO3 в дымящей H2SO4 при т-ре 300 0C, образуя с небольшим выходом 3-нитропиридин; сульфируется олеумом в присут. сульфата Hg при 220-2700C до пиридин-3-суль-фокислоты. При действии на пиридин ацетата ртути при 1550C образуется 3-пиридилмеркурацетат; при более высоких т-рах-ди- и полизамещенные производные. Действие Br2 в олеуме при 3000C приводит к смеси 3-бром- и 3,5-дибром-пиридинов. При более высокой т-ре (ок. 5000C) р-ция идет но радикальному механизму; продукты р-ции - 2-бром- и 2,6-дибромпиридины. К радикальным р-циям относится и взаимодействие пиридина с фенилдиазонийгидратом (р-ция Гом-берга-Бахмана-Хея), в результате чего образуется смесь, содержащая 55% 2-фенил-, 30% 3-фенил- и 15% 4-фенил-пиридина.
Нуклеоф. замещение в пиридине протекает по положениям 2 и 4 и легче, чем в бензоле, напр, синтез 2-аминопиридина при взаимодействии пиридина с амидом натрия (см. Чичибабина реакция).
Пиридин, как правило, устойчив к окислителям, однако при действии надкислот легко образует N-оксид пиридина (см. Аминов N-оксиды) в к-ром электронная плотность на атомах С-2 и С-4 повышена по сравнению с пиридином. При 300 0C под действием FeCl3 пиридин окисляется в смесь изомерных дипири-дилов общей ф-лы C5H4N—C5H4N. Каталитич. гидри-рование в присут. Pt или Ni, восстановление Na в спирте, а также электрохим. восстановление приводит к пиперидину (последний способ применяется в пром-сти). Более жесткое восстановление пиридина сопровождается расщеплением цикла и дезаминированием.
Присоединение карбенов к пиридину или депротонирование ионов N-алкилпиридиния приводит к илидам пиридиния общей ф-лы I, взаимодействие пиридина с нитренами или депротонирование солей N-аминопиридиния - к иминам пиридиния общей ф-лы II.

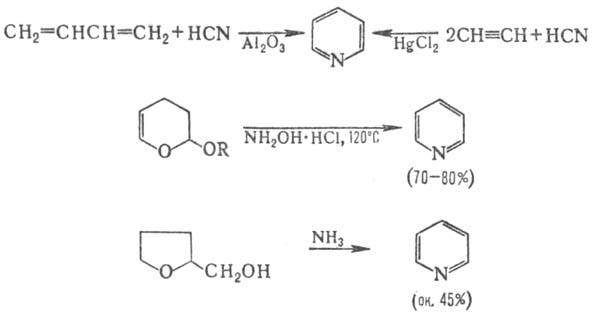
Соед. обоих типов легко вступают в р-ции циклоприсоеди-нения, характерные для 1,3-диполярных систем. Пиридин выделяют гл. обр. из кам.-уг. смолы (содержание ок. 0,08%), продуктов сухой перегонки дерева, торфа или кости. Синтетически он м. б. получен след. р-циями:

Пиридин и его производные-основа пиридиновых алкалоидов, а также мн. лек. ср-в. Используют пиридин также в синтезе красителей, инсектицидов, применяют для денатурации спирта. Комплекс пиридина с SO3-пиридинсульфотриоксид-мягкий сульфирующий агент; C5H5NBr2·HBr-бромирующий агент; C5H5N · HCl-реагент для дегидратации эпоксидов и N-деал-килирования, C5H5N·H2Cr2O7-окислитель. Пиридин-хороший р-ритель, в т.ч. для мн. неорг. солей (AgBr, Hg2Cl2 и др.). ПДК паров пиридина в воздухе ~ 0,005 мг/л, т. воспл. 23,3 0C.
Пиридин впервые выделен T. Андерсеном в 1849 из костяного масла; структура пиридина установлена Дж. Дьюаром и P. Кернером в 1869.
О производных пиридина см. Лутидины, Оксипиридины, Пико-лины, Пиридиния соли.
Лит.: Общая органическая химия, пер. с англ., т. 8, M., 1985, с. 15-117; Pyridine and its derivatives. Suppl. ed. by R. A. Abramovitch, pt 1-4, N. Y., 1974; Pyridine and its derivatives, ed by E. Klingsberg, pt 1-4, L. - N. Y. - Sydney, 1960-64. Л. H. Яхонтов.