Температура
ТЕМПЕРАТУРА (от лат. temperatura- надлежащее смешение, нормальное состояние), термодинамич. параметр, характеризующий состояние термич. равновесия макроскопич. системы. Наряду с давлением, хим. потенциалом и др. параметрами состояния, температура относится к интенсивным величинам, т.к. не зависит от массы системы. Согласно принципу термич. равновесия, две фазы А и В, адиабатически изолированные от окружающей среды (внутр. энергии фаз соотв. ЕА + ЕВ = const), могут находиться в состоянии равновесия, к-рое характеризуется определенными значениями
и
(рА, рB-давления;
,
-молярные объемы фаз). Экспериментально установлено, что если фаза А находится в равновесии с фазой В, а В-с С, то А и С также находятся в равновесии. Из принципа термич. равновесия следует, что каждая фаза обладает эмпирической температурой q-измеримым св-вом такого рода, что из qА(рA;
) = qB(рB;
) и qB(рB;
) = qC(рC;
) следует qА(pА;
) = qс(рс;
).
Если две фазы с разл. q приведены в тепловой контакт друг с другом через пов-сть раздела и qА > qВ, возникает поток теплоты от А к В, т. е. от более нагретой фазы к менее нагретой. При qА = qВ тепловой поток отсутствует. Принцип термич. равновесия впервые сформулирован Дж. Блэком в кон. 18 в. В термодинамику он введен, однако, позднее первого и второго начал термодинамики, поэтому его часто называют нулевым началом термодинамики.
Существует множество ф-ций q(p,
), удовлетворяющих нулевому началу. Конкретный вид q(p,
) определяется используемым измерит. прибором-термометром и способом построения термометрич. шкалы.
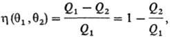
Понятие абсолютной температуры введено У. Томсоном (лордом Кельвином) в 1848 на основании теоремы Карно, согласно к-рой все обратимые тепловые машины, где рабочее тело совершает круговой процесс между нагревателем с эмпирической температурой q1 и холодильником с эмпирической температурой q2, имеют одинаковый кпд h, независимо от природы рабочего тела:

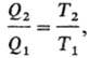
где Q1- тепло, отбираемое рабочим телом от нагревателя, Q2-тепло, передаваемое холодильнику. Значения q1 и q2 можно измерить с помощью произвольной шкалы температуры, величины
и h при смене шкалы остаются постоянными. Абсолютная температура вводится соотношением:

где T1 и Т2-абсолютные температуры нагревателя и холодильника соотв., причем T1 есть ф-ция только q1, а T 2-только q2. Для построения шкалы абсолютной температуры достаточно приписать определенное значение Т, одному известному термич. состоянию. В настоящее время по международному соглашению принято, что абсолютная (термодинамич.) Температура плавления воды при нормальном давлении равна 273,15 К (точно). Абсолютный нуль температуры (или нулевая абсолютная температура) имеют ясный физ. смысл как температура холодильника в цикле Карно, при к-рой кпд тепловой машины h = 1. Тело, находящееся при нулевой температуре, не способно передавать теплоту к.-л. другому телу. Единица измерения абсолютной температуры в системе СИ-градус Кельвина (Кельвин, К). Конкретные измерения абсолютной температуры осуществляются с помощью набора спец. термометров (подробнее см. Термометры, Термометрия).
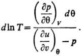
Согласно строгой формулировке второго начала термодинамики (аксиоматика Каратеодори), абсолютная температура вводится как интегрирующий делитель для бесконечно малого кол-ва теплоты dQ, полученного системой, обладающей внутренней энергией Е, в обратимом процессе. Величина dQ/T является полным дифференциалом ф-ции состояния S, наз. энтропией. Абсолютная температура выражается соотношением:

X1, X2, Х3, ...-экстенсивные термодинамич. переменные (объем V, электростатич. индукция D, магн. индукция В и т.п.). Абсолютная температура и эмпирическая температура q связаны аналит. зависимостью для систем, у к-рых E является ф-цией только Ти V:

Аналит. связь p,
и Т для фазы наз. уравнением состояния. В статистической термодинамике аналогом ур-ния (1) служит соотношение:

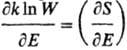
где W— термодинамич. вероятность, k-постоянная Больц-мана. Термодинамич. вероятность W(E)равна числу возможных состояний системы, при к-рых последняя обладает внутр. энергией Е. Термодинамич. вероятность связана с энтропией соотношением Больцмана S = kln W. Для обычной макроскопич. системы величина W- быстро возрастающая ф-ция Е и, следовательно, абсолютная температура положительна.
Термич. равновесие двух систем А и В (EА + ЕB = const), определяемое равенством т-р TА = ТB, соответствует наиб. вероятному распределению энергии между А и В. Если В представляет собой обширный тепловой резервуар (ЕВ >> EА), то абсолютная температура определяет плотность вероятности Р(Е) для системы А находиться в состоянии с заданной энергией EA,r при термич. равновесии с системой В:

где, суммирование ведется по всем значениям
энергии EA.r (r = 1,2,... , п) подсистемы А (канонич. распределение Гиббса). Частными случаями канонич. распределения являются распределения молекул идеального газа по энергиям и скоростям (распределения Больцмана и Максвелла).
Важные физ. постоянные в-ва-его температуры кипения, плавления, фазовых переходов, полиморфных превращений, а также критическая температура (см. Критическое состояние), тройные точки.
Практически все физ.-хим. величины зависят от температуры. Важными примерами являются температурные зависимости:
1) константы скорости хим. р-ции к:

где EA-энергия активации, A-предэкспоненциальный множитель (см. Аррениуса уравнение, Константа скорости, Энергия активации).
2) Константы равновесия хим. р-ции Кр:

где R-газовая постоянная,
-стандартная энтальпия р-ции.
3) Теплового эффекта хим. р-ции при постоянном давлении (DH) и постоянном объеме (DU):
(9DН/9Т)р = DСр, (9DU/9Т)V = DСV,
где H и U-энтальпия и внутр. энергия системы, Ср и СV-теплоемкости при постоянном давлении и постоянном объеме соотв. (см. Кирхгофа уравнение).
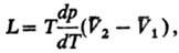
4) Теплоты равновесного фазового перехода L:

где
-изменение молярного объема при переходе в-ва из фазы 1 в фазу 2 (см. Клапейрона -Клаузиуса уравнение).
5) Стандартной электродвижущей силы E0 гальванич. цепи:

где Кр(Т)-константа равновесия электродного процесса, F-Фарадея постоянная, Z-число переносимых электронов (см. Электрохимические цепи).
6) Объемной плотности rv излучения абсолютно черного тела с частотой v (ф-ла Планка):

где с-скорость света, h-постоянная Планка.
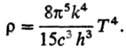
Полной объемной плотности излучения по всем частотам (закон Стефана - Больцмана):

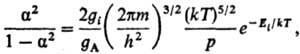
7) Степени ионизации a газа, состоящего из атомов А:

где Ei-энергия ионизации атома, m-масса электрона; gi, gА-статистич. веса ионов и атомов (ур-ние Саха).
Понятие температуры, сформулированное для равновесного состояния системы в целом, используется и для характеристики локального термодинамич. равновесия, если система в целом неравновесна и ее температура рассматривается как непрерывная ф-ция координат и времени. При локальном термодинамич. равновесии малые элементы объема приближенно рассматриваются как равновесные, обладающие каждый своей температурой, и учитывается обмен энергией (энтропией) между ними. Локальное термодинамич. равновесие-одно из осн. понятий термодинамики необратимых процессов. В ряде физ. задач неравновесная система м. б. разбита на подсистемы, в к-рых время установления термич. равновесия много меньше времени достижения равновесия системой в целом. Подобная ситуация м. б. охарактеризована тем, что каждой из подсистем соотносится своя температура, отличная от температур других подсистем. Напр., в полупроводниках температура электронов проводимости в сильном электрич. поле много выше температуры решетки; в плазме отдельно рассматривают температуру электронов и температуру ионов.
В нач. 50-х гг. 20 в. сформулировано понятие отрицательных абсолютных температур. Такие температуры могут возникать в системах, если с ростом энергии Е термодинамич. вероятность W (или энтропия S)не возрастает, а убывает, в результате чего производная
становится меньше нуля (см. ф-лы 1 и 2). Подобная ситуация реализуется для таких систем, в к-рых энергия Е ограничена снизу и сверху. Так, двухуровневая система, состоящая из N ядерных спинов во внеш. магн. поле (напр., ионы Li+ в кристалле LiF), имеет миним. энергию NE1, максимальную NE2, где E1 и Е2-энергии спина ядра на нижнем и верхнем уровнях. Начиная с энергии, равной N(E1 + E2)/2, термодинамич. вероятность W убывает с ростом энергии, что позволяет говорить об отрицательной температуре подсистемы (ионы Li+), но не для системы в целом. Рассматриваемая подсистема должна быть термически слабо связана с системой в целом, для к-рой отсутствуют ограничения по энергии.
При физ.-хим. исследованиях условно выделяют область низких температур (см. Криохимия) и область высоких температур (обычно 500-3000 К), к-рую рассматривают как химию высоких температур, или просто высокотемпературную химию. Температуры в интервале 500-3000 К получают методами радиационного и лазерного нагрева, электронной и ионной бомбардировки. Объекты высокотемпературной химии, как правило,-неорг. соединения. Характерными чертами высокотемпературных хим. процессов являются: 1) сравнительно малая роль констант скорости, энергий активации и т. п. кинстич. факторов, поскольку скорость р-ций высока и в системе быстро устанавливается равновесие; 2) увеличение роли газовой (паровой) фазы из-за интенсивных процессов испарения; 3) необходимость учета влияния заряженных частиц-ионов и электронов, возникающих в результате термодиссоциации (см. Ионы в газах, Ионно-молекулярные реакции). Высокотемпературными процессами являются мн. металлургич. произ-ва, процессы напыления пленок, монокристаллов выращивания из газовой фазы и др.
Процессы в области температур 3000-5000 К изучаются плазмохимией.
Лит.: Кричевский И. Р., Понятия и основы термодинамики, 3 изд., М., 1962; Рей Ф., Статистическая термодинамика, пер. о англ., М., 1986.
М. В. Коробов.