Гидантоин

ГИДАНТОИН (2,4-имидазолидиндион, гликолилмочевинаХ мол. м. 100,08; бесцв. кристаллы; т. пл. 220°С; раств. в этаноле, уксусной к-те, р-рах щелочей, плохо-в эфире, воде (рКа 9,12).
1107-38.jpg

Под действием Ва(ОН)2 гидролизуется до гидантоиновой к-ты H2NC(O)NHCH2COOH. С NaOH или КОН образует глицин. Электроф. замещение идет в положение 1. При р-ции с NaCIO образует 1-хлор- или 1,3-дихлор-замещенные, с С12, Вr2 - 5-галогензамещенные. Атом галогена в производных активен и легко замещается на гидроокси- и аминогруппы. С карбонильными соед. образует 5-алкилиденовые производные, с формальдегидом - 5-гидрооксиметильные.

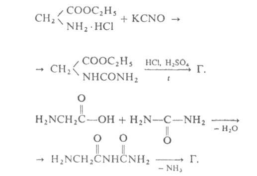
Гидантоин получают из глицина или его эфиров по р-циям:
1107-39.jpg

Общий способ получения гидантоина и его 5-замещенных из карбонильных соед., HCN и (1ЧН4)2СО3-одна из Бухерера реакций. Гидантоин-антисептик, инсектицид, стабилизатор поливинилхлорида, загуститель для пластичных смазок, антивуалирующее в-во в фотографии.

Важнейшее прир. производное гидантоина- 5-уреидогидантоин (аллантоин). Содержится в зародышах и листьях растений, в эмбрионах и моче большинства животных. Получают его окислением мочевой к-ты. Аллантоин заживляет раны. Др. производные гидантоина-лек. ср-ва, напр. фурадонин, дифенин (см. Противосудорожные средства).

Литература

Гетероциклические соединения, под ред. Р. Элъдерфилда, пер. с англ., т. 5, М„ 1961, с. 203-11; Баранов С. Н., "Ж. орг. химии", 1962, т. 32, в. 4, с. 1230-35; Chemistry of carbon compounds, v. 4, PiA, L.- N. Y.- [a. o.], 1957, p. 314-16. B.B. Микулъшина.

Синонимы/примеры:* 1-имидазолидин-2,4-дион; гликолевая кислота мочевина
*подобраны ИИ, возможны неточности