Хром

ХРОМ (от греч. chroma - цвет, краска; из-за яркой окраски соед.; лат. Chromium) Сг, хим. элемент VI гр. периодич. системы, ат. н. 24, ат. м. 51,9961. Природный хром состоит из смеси 4 изотопов 50Сr (4,35%), 52Сr (83,79%), 53Сr (9,50%) и 54Сr (2,36%). Поперечное сечение захвата тепловых нейтронов для хрома 3,1 x 10-28 м2.
Конфигурация внеш. электронных оболочек атома 3d54s1; степени окисления +2, +3, +6, реже +4, +5 и +1; энергия ионизации при переходе от Сr0 к Сr6+ 6,766, 16,49, 30,96, 49,1, 69,3 и 90,6 эВ; сродство к электрону 1,6 эВ; электроотрицательность по Полингу 1,66; атомный радиус 0,127 нм, ионные радиусы, в нм (в скобках указаны координац. числа): для Сr2+ 0,073 (6), Сr3+ 0,0615 (6), Сr4+ 0,041 (4), 0,055 (6), Сr5+ 0,0345 (4), 0,049 (6) и 0,057 (8), для Сr6+ 0,026 (4) и 0,044 (6).
Содержание хрома в земной коре 0,035% по массе, в воде морей и океанов 2 x 10-5 мг/л. Известно более 40 минералов хрома, из них для извлечения хрома используют только хромит FeCr2O4, точнее хромшпинелиды (Mg, Fe)(Cr, Al, Fe)2O4. Нек-рые др. минералы: крокоит РbСrO4, волконскоит Cr2Si4O10(OH)2 xnH2O, уваровит Са3Сr2(SiO4)3, вокеленит Pb2Cu[CrO4]PO4, феникохроит Рb3О(СrO4)2. Сульфидные минералы хрома обнаружены в метеоритах.
Свойства. Хром- голубовато-белый металл. Кристаллич. решетка объемноцентрированная кубич. а = 0,28845 нм, z = 2, пространств, группа 1тЗт. При 312 К (точка Нееля) переходит из парамагнитного в антиферромагнитное состояние. Еще один переход (без изменения структуры) фиксируется при 170-220 К. Т. пл. 1890 °С, т. кип. 2680 °С; плотн. 7,19 г/см3;6009-24.jpg 23,3 Дж/(моль x К);6009-25.jpg 21 кДж/моль,6009-26.jpg 338 кДж/моль;6009-27.jpg23,6 Дж/(моль x К); ур-ния температурной зависимости давления пара для твердого хрома lgp (мм рт. ст.) = = 11,454 - 22598/T - 0,406 lgT + 0,781T (298 - 2163 К), для жидкого хрома lgp (мм рт. ст.) = 9,446 - 18204/T+ 0,114 lg Т (2163 — 2950 К); температурный коэф. линейного расширения 4,1 x 10-6 К-1; теплопроводность 88,6 Вт/(м x К); р 0,15 x 10-6 Ом x м, температурный козф.6009-28.jpg 3,01 x 10-3 К-1. Парамагнитен, магн. восприимчивость +3,49 x 109. Модуль нормальной упругости (для отожженного хрома высокой чистоты) 288,1 ГПа;6009-29.jpg 410 МПа; относит. удлинение 44%; твердость по Бринеллю 1060 МПа. Хром техн. чистоты хрупок, приобретает пластичность выше 200-250 °С.

Стандартный электродный потенциал -0,74 В (относительно р-ра Сr3+). Хром устойчив на воздухе (однако тонкоизмельченный пирофорен) и к действию воды. Нагретый в кислороде до ~ 300 °С сгорает с образованием Сr2О3 (см. Хрома оксиды). Раств. в соляной и разб. серной к-тах. В конц. HNO3, HC1O4, Н3РО4 и под действием окислителей легко пассивируется. Пассивный хром очень устойчив. Р-ры щелочей на хром не действуют, расплавленные щелочи в отсутствие воздуха очень медленно реагируют с выделением Н2.
Фтор действует на хром выше 350 °С. Сухой хлор начинает реагировать с л. выше 300 °С, влажный хлор начинает действовать уже с 80 °С. Бром и иод действуют на хром при т-ре красного каления, также как HF и НС1. См. Хрома галогениды.
С водородом хром непосредственно не взаимодействует. Р-римость Н2 в хроме 0,44 ат. % при 800 °С, но электролитич. хром
может содержать значительно большие кол-ва - до 300 объемов на объем металла. Путем электролиза можно получить и гидриды- СrН с гексагон. решеткой и кубич. гидрид, чей состав приближается к СrН2. Эти металлоподобные гидриды при нагр. легко теряют водород.
Азот поглощается тонким порошком хрома при 800-1000 °С с образованием нитрида CrN, а при 1200-1300 °С - Cr2N. Но обычно эти нитриды (табл.) получают действием NH3 на хром (при ~ 850 °С). Нитриды, особенно CrN, обладают высокой хим. стойкостью. Их используют как компоненты твердых сплавов, катализаторы, а мононитрид - как полупроводниковый материал для термоэлектрич. генераторов. Хром сплавляется с бором, углеродом и кремнием с образованием соотв. боридов, карбидов и силицидов. Их применяют как компоненты твердых, жаростойких сплавов, износоустойчивых и химически стойких покрытий. С оксидами углерода хром не взаимодействует.

СВОЙСТВА НЕКОТОРЫХ СОЕДИНЕНИЙ ХРОМА

Соединение
Сингония
Параметры решетки, им
Т.пл., °С
Плотн.,

г/см3

6009-30.jpg

кДж/моль

а
b
с
Сr2В
Ромбич.
1,471
0,741
0,425
1870
6,07
_
Сr5В3
Тетрагон.
0,546
1,064
1890"
6,03
СrВ
Ромбич.
0,2969
0,7858
0.2932
2090
6,17
Сr3В4
"
0,2986
1,302
0,2952
2070
5,22
СrВ2
Гексагон.
0,2969
_
0,3066
2200
5,6
-125,6
CrB4
Ромбич.
0,4744
0,5477
ОД866
1600б
_
_
Сr23С6
Кубич.
1,0638
_
_
1520
7,0
-209,4
Сr7С3
Гексагон.
1,398
0,4532
1780
6,9
-178
Сr3С2
Ромбич.
0,2821
0,552
1,146
1895
6,68
-88
Cr3Si
Кубич.
0,4564
1770
-138
Cr5Si3
Тетрагон.
0,9178
0,4659
1680
5,5
-327
CrSi
Кубич.
0,4629
_
_
1475a
5,37
-71
CrSi2
Гексагон.
0,4422
0,6351
1490
-101
Cr2N
Гексагон.
0,4806
0,4479
1650
6,5
-128,6
CrN
Кубич.
0,4148
1500б
5,8
-123,4

аИнконгруэнтао. бС разложением.

Пары S действуют на хром при т-рах выше 400 °С с образованием серии сульфидов от CrS до Cr5S8. Сульфиды образуются также при действии H2S (~ 1200 °С) и паров СS2. При сплавлении с Se хром дает селениды, по составу аналогичные сульфидам. Теллуриды имеют состав от СrТе до CrTe3. Металлы с сексвихалькогенидами Сr2Х3 дают халькогенохроматы(III). Большинство из них обладает полупроводниковыми св-вами и являются либо ферромагнетиками, либо антиферромагнетиками. Соед. с одновалентными металлами состава МСrХ2 большей частью имеют ромбоэдрич. решетку типа NaHF2. Для К, Rb и Cs известны также соед. типа MCr5S8. Двухвалентные металлы образуют соед. состава МСr2Х4, почти все они имеют структуру шпинели, часть их при высоких т-рах и давлениях переходит в структуру типа NiAs. Для РЗЭ известны соед. типа МСrХ3.
Для хрома характерна способность к образованию многочисленных комплексных соед. в разных степенях окисления. Образование комплексов стабилизирует низшие степени окисления хрома. Так, Сr(I) известен только в виде комплексов, напр. K3[Cr(CN)5NO]. Соед. Сr(II) неустойчивы, это сильные восстановители, легко окисляются на воздухе. Их водные р-ры (небесно-голубого цвета, тогда как безводные соли бесцветные) сохраняются только в инертной атмосфере. Из р-ров кристаллизуются гидраты, напр. Сr(СlO4)2 x 2О. Из комплексов Сr(II) самый распространенный синий K4[Cr(CN)6], дающий красно-оранжевые р-ры.
Соед. Cr(III) наиб. устойчивы. В водных р-рах катион Сr(III) существует в виде инертного аквакомплекса [Сr(Н2О)6]3+ с очень малой скоростью обмена молекул воды на др. лиганды. Вследствие этого соли в р-рах и в кристаллич. состоянии существуют в виде разноокрашенных изомеров -фиолетовых, содержащих указанный гексааквакатион, и зеленых, в к-рых анионы входят во внутр. сферу комплекса. Известно множество комплексов Сr(III) с координац. числом 6 и октаэдрич. конфигурацией, в большинстве химически инертных. К их числу относятся комплексы с нейтральными лигандами (из них наиб. изучены аммины) и с разнообразными анионами (галогенидные, цианидные, роданидные, сульфатные, оксалатные и др.). Характерны полиядерные формы комплексов с гидроксидными, кислородными, амминными, роданидными мостиками.
Нитрат Cr(NO3)3 x9H2O - пурпурные или темно-фиолетовые кристаллы; т. пл. 66 С, т. разл. 125 °С,6009-31.jpg 455 Дж/(моль х К);6009-32.jpg 507 Дж/(моль х К). Хорошо раств. в воде (44,8% по массе при 25 °С. в пересчете на безводную соль), этаноле и ацетоне, фиолетовый водный р-р при кипячении зеленеет. Описаны светло-голубой безводный нитрат, а также гидраты Cr(NO3)3 х nH2O: красновато-фиолетовый, п = 12,5; темно-коричневый и фиолетовый, п = 7,5; голубовато-зеленый, п = 3 и др. Получают нитрат взаимод. Сr(ОН)3 с HNO3 или Ca(NO3)2 с Cr2(SO4)3 в водном р-ре; применяют как протраву при крашении тканей, добавку при синтезе катализаторов.
Соед. Cr(IV) немногочисленны - это простые и комплексные галогениды, а также хроматы(IV). Cr(V) реализуется в осн. в оксогалогенидах, напр, в CrOF3, в хроматах(V) и в галогенохроматах типа6009-33.jpg или M[CrOF4]. Cr(VI) образует многочисленные хроматы. В р-рах он может присутствовать в виде ионов СrО3Х-, где X - галоген, CrO3(OSO3)2- и т. д. Соед. Cr(VI) - сильные окислители. См. также Хрома карбонилы, Хрома сульфаты, Хроморганические соединения.

Определение. Хром относится к аналит. группе (NH4)2S. Для его обнаружения применяют р-ции с Н2О2 (синее окрашивание вследствие образования надхромовой к-ты), хромотроповой к-той (красное окрашивание), бензидином (синее окрашивание).
Для определения хрома используют титриметрич. методы -титрование р-ром соли Мора (NH4)2Fe(SO4)2 x6H2O после предварит. окисления Сr(III) персульфатом аммония, Н2О2 и др. Для определения Сr(III) применяют комплексонометрич. метод (обратное титрование избытка комплексона разл. солями), потенциометрич. и амперометрич. титрование.
Для определения малых концентраций хрома используют фотометрич. методы, гл. обр. основанные на р-ции с дифенилкарбазидом (красно-фиолетовое окрашивание). Методы, основанные на собств. окраске ионов Сr(III), хромат- и дихромат-ионов, а также синей окраске надхромовой к-ты, менее чувствительны.
Известны полярографич., люминесцентные, кинетич. методы определения хрома. Перспективны газохроматографич. методы с использованием ацетилацетона и, особенно, его фторпроизводных - трифтор- и гексафторацетилацетона.
Применяют разнообразные физ. методы определения хрома, в первую очередь - спектральный анализ. Наиб. интенсивные линии спектра хрома отвечают длинам волн 425,435, 427,480 и 428,972 нм. Часто используют также линии УФ области, напр. 283,56 и 301,48 нм. При определении малых кол-в хрома применяют методы предварит. отделения примесей и концентрирования путем отгонки, экстракции, осаждения и т. п.
Для определения хрома используются атомно-абсорбционная спектрометрия, рентгенофлюоресцентный анализ и, особенно, радиоактивационный анализ.

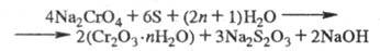
Получение. Хромитовые руды большей частью не обогащаются. Непосредств. металлургич. переработка хромитовых руд позволяет получать путем восстановит, плавки в электропечах только феррохром с содержанием 60-70% Сг (см. Хрома сплавы), используемый в черной металлургии. Имеются способы получения из феррохрома соед. хрома, но гл. обр. их произ-во основано на окислит. обжиге хромита с Na2CO3 и доломитом при 1100-1200 °С. Образовавшийся Na2СrО4 выщелачивают водой и после очистки р-ра от А1 действием H2SO4, CO2 или Na2Cr2O7 из р-ра кристаллизуют либо Na2CrO4, либо Na2Cr2O7, либо р-р перерабатывают на др. соед. хрома. Необходимый для получения металлич. хрома Сr2О3 получают восстановлением щелочного р-ра Na2CrO4 элементарной серой при кипячении или в автоклавах при 140-160 °С по р-ции:

6010-1.jpg

Затем р-р подкисляют H2SO4 и проводят вторую стадию восстановления с получением хромихромата или гидроксида Сr(II):

6010-2.jpg

После сушки и прокаливания гидроксидных осадков получают Сr2О3.
Металлич. хром большей частью производят восстановлением Сr2О3 алюминием или элементарным кремнием. Реже используют восстановление углеродом, при к-ром получают хром с большим содержанием С. Предложены также процессы восстановления СrС13 магнием. Более чистый хром получают электролизом либо сернокислых р-ров СrО3, либо р-ров хромоаммониевых квасцов.
Для рафинирования хрома применяют обработку сухим или влажным Н2 при высоких т-рах, вакуумную дистилляцию, зонную плавку, иодидное рафинирование. Для получения особо чистого хрома предложено использовать термич. разложение opг. комплексов, напр. бис(этилбензол)хрома с послед. водородной очисткой металла.
Хром применяют в металлургии, в осн. как компонент сталей разл. назначения, в частности нержавеющих. Хром входит в состав жаропрочных сплавов на основе Ni и Со. Большие кол-ва хрома используют для получения хромовых покрытий. Помимо высокой коррозионной стойкости они обладают большим сопротивлением истиранию. Разл. соед. хрома применяют в качестве огнеупорных материалов, пигментов, дубителей кожи, протрав при крашении, реактивов, магн. материалов и др. Соотношение областей использования: металлургия 75%, огнеупоры 10%, прочее 15%.
Мировая добыча хромитовых руд и концентратов (без России) ок. 12 млн. т в год; выплавка феррохрома 2,7 млн. т в год; произ-во металлич. хрома ок. 20 тыс. т в год (1990). Осн. производители - США, Япония, ЮАР, Германия, Франция, Италия, Великобритания.
Металлич. хром малотоксичен, также малоядовиты соед. хрома низших степеней окисления [но в организме они могут перейти в соед. Cr(VI)]. Соед. Cr(VI) обладают местным и общетоксич. действием, вызывают поражение органов дыхания, кожи, слизистых оболочек, желудочно-кишечного тракта. Попадают в кровь, откладываются в печени, почках, эндокринных железах, зубах. ПДК (в пересчете на СrО3) 0,01 мг/м3, Сг6+ 0,0015 мг/м3 (атм. воздух). Хром открыт Л. Вокленом в 1797.

Лит.: Плинер Ю. Л., Игнатенко Г. Ф., Лаппо С. И., Металлургия хрома, М., 1965; Салли А., Брэидз Э., Хром, пер. с англ., 2 изд., М., 1971; Авербух Т. Д., Павлов П. Г., Технология соединений хрома, 2 изд., М., 1973; Лаврухина А. К., Юкина Л. В., Аналитическая химия хрома, М., 1979; Неорганические соединения хрома, Л., 1981.

П. И. Федоров.

Синонимы/примеры:* Хром металлический; Хром элементный; Хром технический
*подобраны ИИ, возможны неточности