Торпа-Циглера реакция
ТОРПА - ЦИГЛЕРА РЕАКЦИЯ, циклизация динитрилов, в к-рых группы CN разделены четырьмя и более атомами С (В-основание):

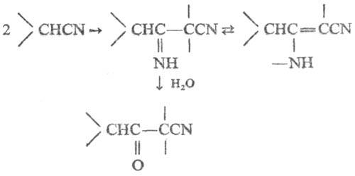
Динитрилы, в молекуле к-рых между группами CN находится менее 4 атомов С, в условиях Торпа - Циглера реакции обычно димеризуются и даже тримеризуются, напр.:


В р-цию легко вступают алифатич. динитрилы. В качестве оснований обычно используют NaOH, Ph(Alk)NNa или (изо-C3H7)2NLi; применяют также Na2CO3, Na, К, RONa, NaH и др. Р-цию осуществляют в орг. р-рителе (этанол, диэтиловый эфир) или в его отсутствие при комнатной т-ре или непродолжит. нагревании (в случае трудно реагирующих нитрилов-до 200 °С). Гидролиз имтотонитрила (в таутомерной форме енамина) гладко приводит к кетонит-рилам. При гидролизе в жестких условиях, затрагивающем группы CN, и декарбоксилировании образующихся при этом к-т получают соответствующие кетоны.
При циклизации динитрилов наиб. легко образуются пяти- и шестичленные циклы. С очень низкими выходами (1-15%) образуются циклы с 9-13 атомами С, циклы с 14-32 атомами С образуются с хорошими выходами (60% и выше) при условии значит. разбавления реагентов р-рителем, 3- и 4-членные циклы не образуются.
В нек-рых р-циях (напр., алкилирования) циклич. имино-нитрилы претерпевают размыкание цикла (т. наз. обратная р-ция Торпа), напр.:

Нитрилы, содержащие один или более атомов H у a-углеродного атома, в условиях Торпа - Циглера реакции образуют b-иминонитрилы (при их гидролизе образуются b-кетонит-рилы) или изомерные им енаминонитрилы (т. наз. р-ция Торпа):

Торпа - Циглера реакцию используют в препаративной практике (прежде всего в синтезе макроциклич. кетонов).
Димеризацию нитрилов и циклизацию динитрилов открыл, в 1904 Дж. Торп. К. Циглер в 1933 изучил циклизацию динитрилов и их превращение в циклич. кетоны.
Лит.: Марч Дж., Органическая химия, пер. с англ., т. 3. М., 1987, с. 408-09; Schaefer J., Bloomfield J., в кн.: Organic reactions, v. 15, N. Y., 1967, p. 1-203.
Г. И. Дрозд.