Дикмана реакция
ДИКМАНА РЕАКЦИЯ (Дикмана конденсация), внутримол. конденсация эфиров двухосновных к-т в циклич. b-кетоэфиры, напр.:
Дикмана реакция - частный случай Клайзена конденсации (взаимод. двух молекул сложного эфира с образованием ациклич. кетоэфира). Осуществляется в присут. оснований (щелочные металлы, их гидрооксиды, алкоголяты, амиды, гидриды, реже - трифенилметилнатрий, N-метиланилид лития и др.) в инертной атмосфере в среде эфира или ароматич. р-рителей. Как правило, легко образуются 5- и 6-членные циклы; в условиях большего разбавления возможен синтез макроциклов. Присутствие алкильных групп в a- и b-положениях к карбоксильной группе препятствует циклизации, этоксикарбонильные группы в b-положении облегчают. Из двух возможных продуктов Дикмана реакции образуется преимущественно продукт циклизации с участием метиленовой группы, обладающей более выраженными кислотными свойствами, напр.:
В орг. синтезах часто используется р-ция, обратная Дикмана реакции, напр.:
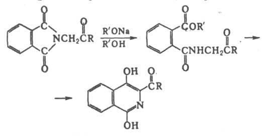
Дикмана реакция применяется для получения алициклич., полициклич. и гетероциклич. соединений. Модификация Дикмана реакции перегруппировка N-замещенных фталимидов или изатинов в производные изохинолина или хинолина (р-ция Габриеля - Кольмана), напр.:
При использовании в качестве основания Na или NaOH наряду с продуктами Дикмана реакции в больших кол-вах образуются циклич. ацилоины. Р-ция открыта В. Дикманом в 1894. О получении макроциклич. кетонов циклизаций динитрилов см. Циглера реакция. Лит.. Вульфсон Н. С., Зарецкий В. И., в кн.. Реакция и методы исследования органических соединений, кн. 12, М., 1963, с. 7-257. Н. Г. Гамбарян.
Синонимы/примеры:*
Конденсация Дикмана; циклизация Дикмана
*подобраны ИИ, возможны неточности
Ещё по теме
Реакции Циглера в органической химии
Реакции Пиннера и Линкера в органической химии
Xophepa реакция — особенности и применение
Торпа — Циглера реакция — механизм и применение
Неницеску реакция — механизмы и применение
Циклоприсоединение — механизмы и применение в органическом синтезе
Назарова реакция — особенности и применение
Яппа — Клингеманна реакция — особенности и применение
Реакция Чепмена — особенности и применение
Шимана реакция — особенности и применение
Кижнера реакция — открытие и применение
Кнорра реакции — методы синтеза азотсодержащих гетероциклических соединений