бета-Дикетоны (1,3-д икетоны)
Наиболее обычным способом получения β-дикетонов являетcя реакция клаизена, состоящая в конденсации сложных эфиров одноосновных кислот с кетонами под влиянием алкоголята натрия (также металлического натрия или амида натрия.
Алкоголят натрия дает со сложными эфирами соединения, являющиеся производными ортокислот:
-

Эти соединения конденсируются с кетонами, содержащими метальную группу, с выделением двух молекул спирта:

При обработке продукта конденсации разбавленной кислотой натрий заменяется на водород, в результате чего должно было бы получиться соединение R—С(ОН)=СН—СО—R', содержащее гидроксил при двойной связи. Однако, как уже было указано выше, простейшие соединения этого типа неустойчивы и легко изомеризуются в соответствующие насыщенные кетоны или альдегиды. В данном случае в результате изомеризации получается β-дикетон R—СО—СН2—СО—R'.
Кроме того, 1,3-дикетоны могут быть получены из кетонов ацетиленового ряда, образующихся при действии хлорангидридов кислот на натриевые производные ацетиленовых углеводородов, например:

При действии разбавленной серной кислоты кетоны ацетиленового ряда присоединяют воду и превращаются в β-дикетоны:

Наиболее характерным свойством β-дикетонов является способность атомов водорода, связанных с атомом углерода, находящимся между двумя карбонильными группами, замещаться на металлы. Это замещение может происходить при растворении β-дикетонов в растворах щелочей:

В настоящее время можно считать доказанным, что натриевые производные ацетилацетона имеют строение енолятов:

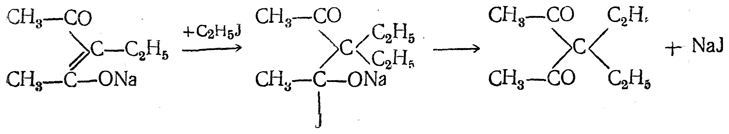
Алкилирование их протекает по схеме

В полученный гомолог исходного дикетона можно снова ввести натрий, тогда становится возможной реакция со второй молекулой галоидного алкила:

Такой дикетон уже не способен реагировать с натрием.