Байера-виллигера реакция

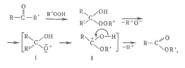
БАЙЕРА-ВИЛЛИГЕРА РЕАКЦИЯ (р-ция Байера, перегруппировка Байера-Виллигера), окисление кетонов и альдегидов действием Н2О2, HOSO2OOH или орг. надкислот, приводящее к образованию сложных эфиров, лактонов или к-т:
1045-60.jpg

Р-цию осуществляют в полярных орг. р-рителях, обычно при 10-40°С (часто процесс экзотермичен). Катализаторы -к- ты.

Легкость миграции R' в кетонах уменьшается в ряду: о- и n-гидроксифенил > n-метоксифенил > Н > циклогептил > циклогексил > циклопентил > фенил > > изо-алкил > н-алкил > метил, n-хлорфенил > > n-нитрофенил. Конфигурация мигрирующей группы в р-ции не меняется.

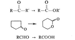
Алициклич. кетоны при проведении р-ции в присут. эта-нола образуют этиловые эфиры1045-61.jpgгидроксикиспот:
1045-62.jpg

где п= 1-14. Дикетоны превращ. в ангидриды карбоновых к-т,1045-63.jpg,1045-64.jpgненасыщенные кетоны-в эфиры енолов. Гетероциклич. кетоны в р-цию не вступают. Считается, что механизм Байера - Виллигера реакции - ионный:
1045-65.jpg

где R" = Н, SO3H или ацил. Перегруппировка I в II осуществляется по секстетному механизму (у промежут. соед. II на атоме С находится секстет электронов). Р-ция открыта А. Байером и В. Виллигером в 1899.

Литература

Хасселл Ч. X., в сб.: Органические реакции, пер. с англ., сб. 9, М., 1959, с. 82-124; Белов В. Н., Хейфец Л.А., Вирезуб С. И., в кн.: Реакции и методы исследования органических соединений, кн. 10, М., 1961, с. 7-208. Т.П. Толстая.