Бухерера реакции

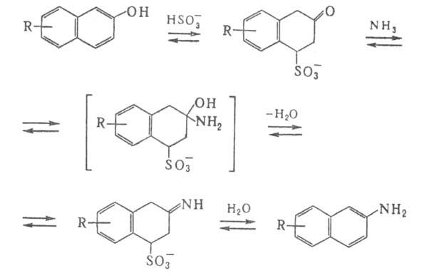
БУХЕРЕРА РЕАКЦИИ. 1) Замещение группы ОН на NH2 в ароматич. соед. (гл. обр. в нафтолах) действием NH3 и водных р-ров гидросульфитов при 90-180°С (наз. также р-цией Бухерера-Лепти), напр.:
1066-28.jpg

Р-ция обратима: при нагр. нафтиламинов с гидросульфитами образуются нафтолы. В р-цию вступают только соед., способные к кето-енольной таутомерии, в т. ч. производные гидрохинона и резорцина.

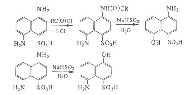
У производных хинолина и изохинолина обмениваются группы ОН (или NH2), находящиеся только в бензольном кольце. Использование в р-ции с нафтолами сульфита гидразина позволяет получать нафтилгидразины. В более жестких условиях гидроксил м. б. замещен на алкиламино-или диалкиламиногруппы. Особенно реакционноспособны 1-гидроксинафталин-4-сульфокислоты; нафтолы с группами СООН или SO3H в орто- и мета-положениях в р-цию не вступают. Влияние этих заместителей используют для селективного замещения только одной из групп в диамино-или дигидооксинафталинах, напр.:
1066-29.jpg

Р-цию применяют в синтезе красителей. Впервые р-ция описана Р. Лепти в 1903 и развита как синтетич. метод Г. Бухерером в 1904.

Литература

Дрейк Н., в кн.: Органические реакции, пер. с англ., сб. 1, М, 1948, с. 133-62; Ворожцов Н. Н., Основы синтеза промежуточных продуктов и красителей, М., 4 изд., 1955, с. 405.

2) Синтез бензокарбазолов взаимод. нафтолов с фенилгидразином и NaHSO3:
1066-30.jpg

Из1066-31.jpgнафтолов первоначально образуется аддукт (I), из1066-32.jpg нафтолов - сразу соед. типа (II), причем в первом случае образуется 1,2-, во втором - 3,4-бензокарбазолы. Вместо нафтолов м. б. использованы нафтиламины. Аналогично фенилгидразину реагируют н-толил-,1066-33.jpgи1066-34.jpgнафтилгидразины, а также N,N-дизамещенные гидразины. Р-ция открыта Г. Бухерером в 1908.

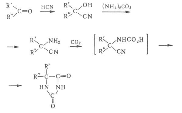
3) Получение 5-замещенных гидантоинов последовательной обработкой альдегидов или кетонов синильной к-той и (NH4)2CO3 (этот синтез наз. также р-цией Бухерера-Бергса):
1066-35.jpg

Кетоны реагируют быстрее альдегидов, вместо к-рых удобно использовать их гидросульфитные производные. Вместо HCN можно применять NaCN или KCN. Взаимод. кетонов или1066-36.jpgаминонитрилов с CS2 получают 2,4-дитиотидантоины. Р-цию применяют для идентификации карбонильных соед., а также для синтеза1066-37.jpgаминокислот (гидролизом гидантоинов).

Р-ция открыта Г. Бергсом в 1929 и позднее подробно изучалась Г. Бухерером.

Литература

Дрейк Н., в кн.: Органические реакции, пер. с англ., сб. 1, М, 1948, с. 133-62; Ворожцов Н. Н., Основы синтеза промежуточных продуктов и красителей, М., 4 изд., 1955, с. 405.

Синонимы/примеры:* Бухерера-Ле-Пети реакция; Бухерера-Ле-Пети реакция гидролиза; Бухерера-Ле-Пети реакция гидролиза нафтиламинов
*подобраны ИИ, возможны неточности