Дегидратация
ДЕГИДРАТАЦИЯ, отщепление воды от молекул орг. или неорг. соединений. Осуществляется термически (обычно в присут. катализаторов) или под. действием в-в, связывающих воду (т. н. дегидратирующих агентов, напр. Р2О5, H2SO4). Различают внутри- и межмолекулярную дегидратацию. Пример внутримол. дегидратации спиртов-синтез этилена из этилового спирта, протекающий в присут. Аl2О3 или под действием H2SO4, напр.:
Дегидратация 1,4-бутандиола в присут. солей фосфорной к-ты одна из стадий синтеза бутадиена (см. Реппе реакции):
Если строение спирта таково, что возможно два направления дегидратации, то отщепление воды осуществляется в соответствии с Зайцева правилом. Так, при дегидратации 2-пентанола почти исключительно образуется 2-пентен:
Внутримол. дегидратация спиртов часто сопровождается перемещением двойной связи или перегруппировкой углеродного скелета молекулы, напр.:
Эти процессы отсутствуют при дегидратации спиртов путем термич. разложения их сложных эфиров или ксантогенатов, напр., и Чугаева реакции:
Подобная р-ция с успехом используется в химии терпенов и стероидов. Внутримол. дегидратация карбоновых к-т приводит к образованию кетонов, дегидратация амидов к-т - к нитрилам, напр.:
Важное значение для получения гетероциклич. соед. имеет внутримол. циклодегидратация. Напр., при действии конц. H2SO4 a-ациламинокетоны превращаются в оксазолы:
Др. примеры циклодегидратации - синтез эпоксидов из гликолeй, лактидов и лактонов из g-гидроксикислот, напр.:
При межмол. дегидратации спиртов образуются простые эфиры, напр.: СН3СН2ОН + НОСН2СH3 : СH3СH2ОСН2СН3; из уксусной к-ты - уксусный ангидрид: 2СН3СООН : (СH3СО)2О. Межмол. дегидратация смеси спирта и к-ты дает сложные эфиры: ROH + HOOCR' : ROOCR'. Примером межмол. дегидратации карбонильных соед. служит кротоновая конденсация:
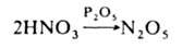
Дегидратация неорг. к-т приводит к образованию ангидридов, напр.:
К дегидратации относятся также процессы удаления кристаллизац. воды из кристаллогидратов и удаления воды, связанной силами адсорбции. Для обозначения этих процессов чаще употребляют термин "обезвоживание".
Литература
Робертс Дж. Д., Касерио М.К., Основы органической химии, 2 изд., пер. с англ., т. 1, М., 1978; Мищенко Г. Л., Вацуро К. В., Синтетические методы органической химии, М., 1982. А. Б. Пономарев.
Ещё по теме
Дегидратация в химии — процессы и примеры
Гидратация в химии и биологии — процессы и роль в природе
Химические свойства спиртов — этерификация, дегидратация и окисление
Штоббе конденсация — механизм и применение в органическом синтезе
Гидрогенизация и дегидрогенизация — основы и применение
Альдольная конденсация — механизм и применение в химии
Декантация — метод отделения жидкости от осадка