Воля-Циглера реакция
ВОЛЯ-ЦИГЛЕРА РЕАКЦИЯ, замещение атома Н в
положении к связи С—С на атом Вг (аллильное бромирование) с помощью N-бромамидов или N-бромимидов (обычно N-бромсукцинимида), напр.:
Р-цию проводят в кипящем СС14 в присут. бензоилпероксида или 2,2'-азо-бис-изобутиронитрила. Воля - Циглера реакция применима к соед., у к-рых двойная связь находится в гетероцикле (алкилзамещенных тиофена, фурана, пиридина и др.), напр.:
Жирноароматич. соед. в присут. пероксидов бромируют-ся в боковую цепь, а в присут. к-т Льюиса - в ядро, напр.:
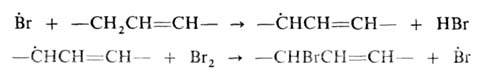
Воля - Циглера реакция осуществляется по радикальному механизму по схеме: 
Следы НВг, необходимого для инициирования р-ции, всегда содержатся в бронирующем реагенте. Побочные процессы - аллильная перегруппировка и бромирование двойной связи с образованием насыщ. диброми-дов.
Активация
положения может осуществляться не только двойной связью, но и нек-рыми функц. группами. Поэтому аналогично Воля - Циглера реакции протекает бромирование кетонов (гл. обр. циклических), ацеталей, простых эфиров, нитрилов и тиоэфиров, напр.:
В
ненасыщенных кетонах, имеющих метиленовые группы в
положении как к карбонильной группе, так и к двойной связи, напр. в
кетостероидах, бромируется преим. метиленовая группа в
положении к двойной связи:
Р-ция открыта А. Волем в 1919. К. Циглер в 1942 усовершенствовал р-цию, предложив использовать в кач-ве бромирующего агента N-бромсукцинимид.
Литература
Т е р е н т ь е в А. П., Яновская Л. А., в кн.: Реакции и методы исследования органических соединений, кн. 6, М., 1957, с. 7-342; Мачинская И. В., Бархаш В. А., там же, кн. 9, М., 1959, с. 287-381. Н.А. Бумагин.