Способы получения
1. Действие галоидных а л к а лов на аммиак и амины. Подобно присоединению к аммиаку галоидоводородной кислоты с образованием, например, хлористого аммония, может присоединяться к аммиаку и галоидный алкил, образуя соль однозамещенного аммония (реакция Гофмана):

Эта соль в процессе реакции частично разлагается непрореагировавшим аммиаком с выделением первичного амина:

Первичный амин может, в свою очередь, присоединить галоидный алкил, образуя соль двузамещенного аммония

из которой при дальнейшем действии аммиака может образоваться вторичный амин (CnH2n+1)2NH.
Совершенно аналогично вторичный амин, далее дает соль трехзамещенного аммония [(CnH2n+1)3NH]J и затем — третичный амин (CnH2n+1)3N. Наконец, и третичный амин, присоединяя галоидный алкил, дает соль четырехзамещенного аммониевого основания [(СnН2n+1)4N]J, которая уже не разлагается аммиаком. Поэтому при действии аммиака на галоидные алкилы обыкновенно получается смесь солей всех четырех аммониевых оснований: например, иодистый метил дает смесь солей метиламина, диметиламина, триметиламина и тетраметиламмония.
Эфиры минеральных кислот реагируют с аммиаком и аминами, подобно галоидным алкилам, например:

2. Взаимодействие спиртов с аммиаком. Амины (первичные, вторичные и третичные) могут быть получены пропусканием смеси паров спирта и аммиака через нагретые окислы двухвалентных и трехвалентных металлов (чаще всего алюминия или тория) или тонко раздробленные металлы группы железа, играющие роль катализаторов:

Этим методом в технике получают простейшие амины.
3. Получение из амидов кислот. Действием щелочных гипохлоритов (гипобромитов) или галоидов в щелочной среде на амиды кислот образуются первичные амины, содержащие на один атом углерода меньше, чем исходный амид (реакция Гофмана):

4. Получение из азидов кислот. При нагревании азидов кислот выделяется молекула азота и остаток молекулы азида, промежуточно образуя изоцианат (перегруппировка Курциуса), дает окончательно первичный амин:

5. Взаимодействие карбоновых кислот с азотистоводородной кислотой. Первичные амины получаются при действии азотистоводородной кислоты на карбоновую кислоту в присутствии концентрированной серной кислоты (реакция Шмидта):

6. Омыление эфиров изоциановой кислоты и изонитрилов. Первым способом, при помощи которого были открыты амины (Вюрц, 1848), является действие щелочей на эфиры изоциановой кислоты. При этом получаются первичные амины

и как побочные продукты — вторичные и третичные амины.
Омыление изонитрилов (при действии кислот) также приводит к образованию первичных аминов:

7. Восстановление азотистых соединений. Амины могут быть получены восстановлением азотистых соединений, прежде всего нитросоединений:

Все другие азотистые органические соединения, например цианистые соединения (нитрилы), оксимы, изонитрилы, при восстановлении также дают амины:

8. Получение аминов восстановительным алкилированием. Альдегиды и кетоны под действием аммиака с одновременным восстановлением водородом превращаются в амины:

Восстановление может производиться как водородом in statu nascendi, так и газообразным водородом в присутствии катализатора (скелетный никелевый катализатор Ренея, меднохромовый катализатор и др.). Если вместо аммиака взять первичный или вторичный амин, то получится соответственно вторичный или третичный амин. Этим путем хорошо получать амины из кетонов и высших альдегидов. С низшими альдегидами реакция протекает сложнее, так как образующиеся амины и промежуточные шиффовы основания R—CH=N—R' легко вступают во вторичные реакции.
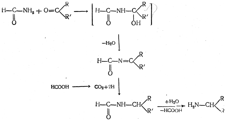
9. Реакция Лейкарта. Особым случаем восстановительного алкилирования аминов является реакция Лейкарта, при которой восстановителем служит муравьиная кислота или ее производные, например:

Если вместо кетона взять формальдегид, то образующийся первичный амин может вновь вступать в реакцию (вместо формамида) и давать вторичные и третичные амины.
10. Бактериальные процессы. Амины образуются в небольших количествах при различных бактериальных процессах, например при гниении органических остатков, содержащих белковые вещества. Простейшие амины найдены также среди продуктов нормальной жизнедеятельности некоторых растений.