Шиффовы основания

ШИФФОВЫ ОСНОВАНИЯ (азометиновые соединения, основания Шиффа), соед. общей ф-лы RR'C = NR", где R, R' = Н, Alk, Аг; R'' = Alk, Аr. Соед., у к-рых R" = Аr, наз. также анилами. Маслообразные или кристаллич. в-ва; не раств. в воде, раств. в орг. р-рителях. Простейшие шиффовы основания бесцветны, более сложные окрашены и относятся к классу азометиновых красителей. Слабые основания, рКа обычно на 2-3 единицы меньше, чем для исходного амина. ИК спектр имеет характеристич. полосу поглощения в области 1690-1640 см-1 (группа C = N), для N-бензилиденанилинов - в области 1631-1613 см-1.
Характерные св-ва шиффовых оснований связаны с полярностью группы C = N, строение к-рой м. б. описано резонансом структур:

6026-5.jpg

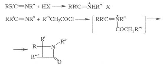
Электроф. реагенты реагируют с шиффовыми основаниями по атому N. С сильными к-тами и алкилгапогенидами образуются иминиевые соли (р-цию проводят в безводной среде из-за быстрого гидролиза последних); с хлорангидридами и ангидридами к-т - продукты присоединения, к-рые в присут. триэтиламина превращаются в азетидиноны, напр.:

6026-6.jpg

Р-ции с нуклеофилами протекают по атому углерода. В присут. разбавленных к-т шиффовы основания гидролизуются до аминов и кетонов; в щелочной среде большинство устойчиво; присоединяют амины (продукты присоединения склонны к пере-аминированию); с реактивами Гриньяра и литийорг. соед. реагируют аналогично карбонильным соед.; при взаимод. с HCN и триметилсилилцианидом в условиях Штреккера реакции образуются6026-7.jpg-аминокислоты:

6026-8.jpg

Подобно альдегидам и кетонам шиффовы основания вступают в р-ции типа альдольной конденсации с соед., содержащими активную метиленовую группу; эти р-ции лежат в основе Манниха реакции, а также ряда р-ций, приводящих к образованию производных хинолина.
Для шиффовых оснований характерны р-ции циклоприсоединения с соед., содержащими кратные связи. Так, с карбенами образуются азиридины (р-ция 1), с кетенами -6026-9.jpg-лактамы (2), с илидами фосфора (р-ция протекает по типу р-ции Виттига) - алкены и иминофосфораны (3), с 1,3-диполярными соед.- пятичленные циклоаддукты (4, 5), напр.:

6026-10.jpg

Окисление шиффовых оснований приводит к карбонильным соед., при низкой т-ре м. б. получены оксазиридины:

6026-11.jpg

Восстанавливаются шиффовы основания до соответствующих аминов, при электрохим. восстановлении могут образовываться диамины:

6026-12.jpg

Обычно шиффовы основания получают конденсацией первичных аминов с альдегидами и кетонами (оптим. значение рН = 4):

6026-13.jpg

Шиффовы основания, полученные из алифатич. альдегидов и кетонов (напр., СН2О, СН3СНО), неустойчивы и легко полимеризуются, полимеризация протекает по типу альдольной конденсации.
Шиффовы основания могут быть получены также окислением вторичных аминов, р-циями элиминирования из разл. субстратов, напр. N-хлораминов, р-цией переаминирования, напр.:

6026-14.jpg

Применяют шиффовы основания в орг. синтезе, гл. обр. для получения гетероциклич. соед. и вторичных аминов; для защиты альдегидной группы, напр. при циклизации терпенов; в аналит. химии - для идентификации альдегидов и первичных аминов.
См. также Имины, Иминиевые соли.

Лит.: Вейганд К., Хильгетаг Г., Методы эксперимента в органической химии, пер. с нем., М., 1968; Дженкс В., Катализ в химии и энзимологии, пер. с англ., М., 1972; Общая органическая химия, пер. с англ., т. 3, М., 1982, с. 476-547.

Е. Ш. Каган.

Синонимы/примеры:* Азины; Имины
*подобраны ИИ, возможны неточности