Антрахиноновые красители

АНТРАХИНОНОВЫЕ КРАСИТЕЛИ, содержат ядро антрахинона, его карбо- или гетероциклич. производных. Один из наиб. обширных классов красителей. Отличаются, как правило, высокой устойчивостью окрасок, особенно к действию света. Введение электронодонорных заместителей в антрахинон приводит к донорно-акцепторному взаимод. этих заместителей с электроноакцепторными карбонильными группами, сближению энергетических уровней основного и возбужденного состояний и, в результате, к углублению окраски (от желтой для антрахинона до синей).

Изменяя положение, число и характер заместителей, из к-рых наиб. часто используются амино-, алкил- и ариламиногруппы, окси-, алкокси- и арилоксигруппы, добиваются необходимого цвета и оттенка красителя. Напр., для1036-2.jpgзамещенных антрахинона цвет меняется в ряду (указаны заместители, их положение, цвет красителя): 1-амино, оранжевый; 1-алкиламино, синевато-красный; 1-амино-5-гидрокси, красно-оранжевый; 1,5-диамино, красный; 1-амино-4-гидрокси, красно-фиолетовый; 1-амино-4-алкокси, красно-оранжевый; 1 -ариламино-4-гидрокси, сине-фиолетовый; 1,4-диамино, фиолетовый; 1,4-диалкиламино, синий. При наличии алкильных и особенно арильных заместителей в аминогруппах оттенок антрахиноновых красителей углубляется, при наличии указанных заместителей в гидроксильных группах - повышается. Введение заместителей в амино- и гидроксигруппы влияет не только на цвет, но и на другие св-ва красителей. Напр., ацилирование аминогрупп повышает цвет антрахиноновых красителей и сообщает им сродство к хл.-бум. волокну. Введение сульфогрупп обусловливает возможность применения антрахиноновых красителей как кислотных красителей, введение групп, способных образовывать связь с волокном, - как активных, введение четвертичных аммониевых групп - как катионных. Образование связи С—С между ариламиногруппами и ядром антрахинона (напр., при получении фталоилкарбазолов) придает антрахиноновым красителям повыш. сродство к хл.-бум. волокну, что важно для кубового крашения. Дисперсные антрахиноновые красители, как правило, содержат низкомол. заместители (напр., амино-, метиламине-, гидрокси-, метоксигруппы), а иногда не более одной арилги-дрокси- или ариламиногруппы, атом галогена, т. к. большая мол. масса препятствует проникновению красителя в волокно.

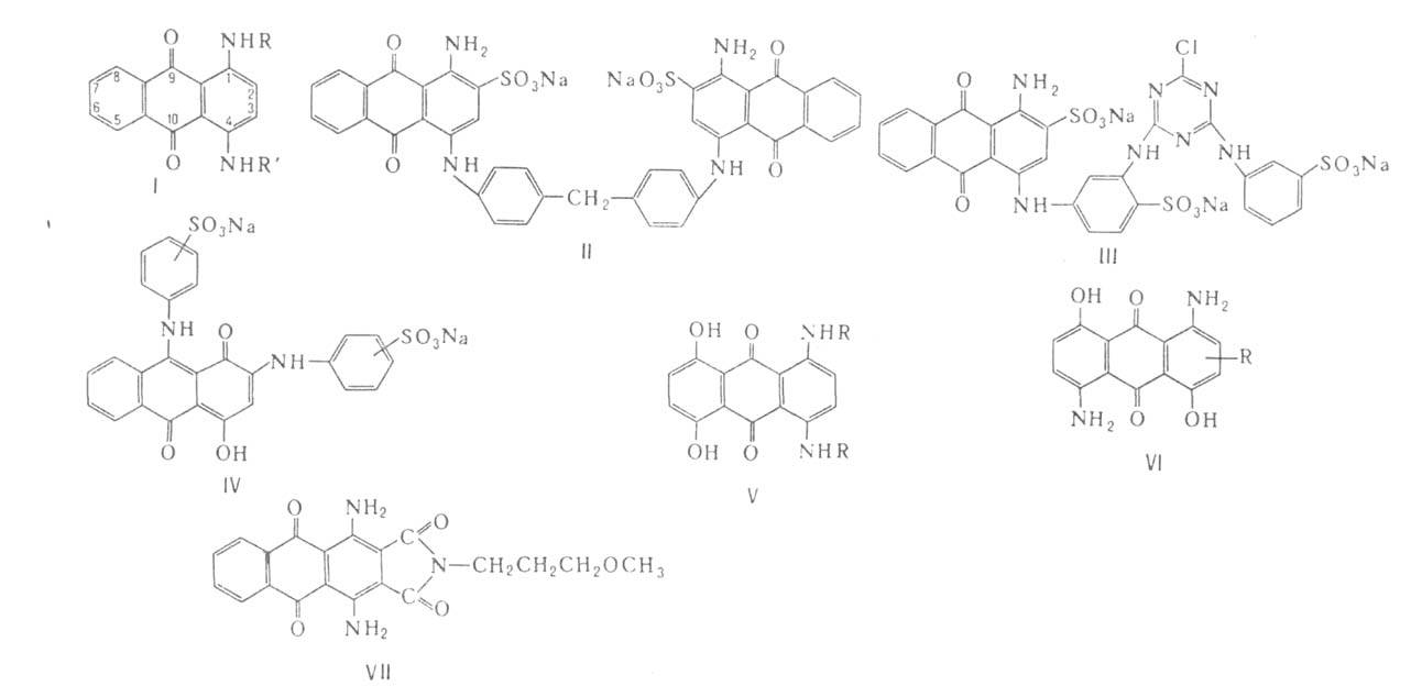
Наиб. практич. значение имеют производные 1,4-диаминоантрахинона. Сам 1,4-диаминоантрахинон и его N-алкилзамещенные - дисперсные красители, напр. фиолетовый краситель (ф-ла I, R = R' = Н), сине-фиолетовый (I, R = = Н, R' = СН3) и синий (I, R = СН3, R' = СН2СН2ОН). Симметричные антрахиноновые красители (R = R') получают аминированием лейко-1,4-дигидроксиантрахинона (хинизарина) в избытке соответствующего амина при 90-130оС в присут. Н3ВО3 с послед. окислением воздухом. 1,4-Ди-n-толиламино-, 1,4-димезитиламиноантрахиноны - жирорастворимые синий и зеленый красители, их дисульфопроизводныеценные кислотные красители для шерсти. Введение в ариламиногруппы длинных алкильных радикалов (всего 8-12 атомов С на молекулу антрахинонового красителя) улучшает устойчивость кислотных антрахиноновых красителей к мокрым обработкам и позволяет проводить крашение из менее кислых р-ров; это важно для окраски полушерстяных волокон, к-рые менее стойки к сильно кислым красильным р-рам. Напр., кислотный зеленый антрахиноновый Н2С (I, R = R' = OSO2C6H4C4H9-n) более прочен на шерсти, чем 1,4-ди-n-толиламиноантрахинон.
1036-3.jpg

Несимметричные производные 1,4-диаминоантрахинона получают аминированием 1-амино-4-галогенантрахинонов, напр. 1-амино-2,4-дибромантрахинона, 1-метиламино-4-бром- и 1-амино-4-бромантрахинон-2-сульфокислоты (т. наз. бромаминовой к-ты). Р-цию проводят с небольшим избытком амина в присут. кат. (Си, соли Сu+ и Сu2 +, СuО) и кислотосвязывающих агентов (Na2CO3, NaOH, CH3COONa) при 70-120°С. Атомы брома или сульфогруппа в положении 2 м. б. замещены на эфирные группы действием алкоголятов или фенолятов при 90-180°С. При этом цвет антрахиноновых красителей повышается от синего до фиолетового. Напр., 1-амино-4-мезидиноантрахинон-2-сульфокислота -синий кислотный антрахиноновый краситель, а дисульфокислота 1-амино-2- (n-трет-бутилфенокси) - 4-мезидиноантрахинона-фиолетовый. С увеличением мол. массы кислотных антрахиноновых красителей улучшается прочность окрасок к мокрым обработкам. Напр., показатели прочности окрасок кислотным голубым антрахиноновым Н23 (II)-продукта взаимод. бромаминовой к-ты с 0,5 моль 4,4'-диаминодифенилметана (окрашивает шерсть из слабокислой среды) выше, чем у окрасок аналогичным красителем, полученным с применением анилина.

Активные антрахиноновые красители синего цвета для хлопка и шерсти получают введением в ариламиногруппу, напр., остатков цианурхлорида, дихлорпиримидина, гидроксиэтилсульфонильной группы или дибромпропиониламиногруппы. Напр., синий активный антрахиноновый краситель для хлопка (III) получают взаимод. бромаминовой к-ты с м-фенилендиамин-3-сульфокислотой с послед. обработкой цианурхлоридом и заменой одного из атомов С1 в нем на остаток метаниловой к-ты. Др. активный краситель голубого цвета получают взаимод. бромаминовой к-ты с 3-(1036-4.jpgгидроксиэтилсульфонил)анилином с послед. этерификацией гидроксиэтильной группы серной к-той (для придания красителю повыш. р-римости).

1,4-Аминогидроксипроизводные антрахинона - красители от розового до фиолетового цвета. Их получают: 1) взаимод. лейко-1,4-дигидроксиантрахинона с амином в орг. р-рителе при 70-90°С в присут. Н3ВО3 с послед. окислением воздухом; 2) заменой атома галогена на группу ОН в 1-амино-4-галогенантрахинонах действием H2SO4 в присут. Н3ВО3. Напр., 1-амино-4-гидрокси-, 1-амино-2-метокси-и 1-амино-2-фенокси-4-гидроксиантрахиноны - дисперсные красители красного цвета, розового с желтоватым и розового с синеватым оттенками соответственно, 1-(n-толиламино)-4-гидроксиантрахинон-жирорастворимый фиолетовый краситель, а его сульфопроизводное-кислотный краситель для шерсти. Среди др. аминогидроксипроизводных антрахинона используют соед. ф-лы IV; его получают взаимод. 1,2,4-тригидроксиантрахинона (пурпурина) с анилином в присут. Н3ВО3 и послед, сульфированием. Этот краситель окрашивает шерсть по хромовой протраве в сине-черный цвет.

Гидроксипроизводные антрахинона реже используются в кач-ве красителей. наиб. значение имеет 1,2-дигидроксиантрахинон (ализарин) и его 3-сульфокислота - протравной краситель для шерсти; цвет окраски по хромовой протраве красный.

Из тетра1036-5.jpgзамещенных антрахинона используют гл. обр. изомерные диаминодигидроксипроизводные. Производные 1,4-диамино-5,8-дигидроксиантрахинона (V), к к-рым относятся, напр., дисперсный сине-зеленый антрахиноновый краситель (R = = СН2СН2ОН) и зеленые с желтоватым оттенком кислотные антрахиноновые красители (R = сульфо-n-толил или сульфо-n-трет-бутил-фенил), получают аминированием лейко-1,4,5,8-тетрагидроксиантрахинона или 1,4-дихлор-5,8-дигидроксиантрахинона. К синим дисперсным антрахиноновым красителям относятся: 1) производные 1,5-диамино-4,8-дигидроксиантрахинона (VI, R = Вr, незамещенный или замещенный фенил), получаемые из 4, 8-диамино-1, 5-дигидроксиантрахинон-2, 6-дисульфокислоты (ализарин сафирол Б); 2) N-метильные производные соед. VI и его изомера-1,8-диамино-4,5-дигидроксиантрахинона, получаемые взаимод. последних с СН3ОН в присут. H2SO4.

Среди гетероциклич. антрахиноновых красителей наиб, значение имеет бирюзовый дисперсный краситель (VII), к-рый получают взаимод. 1,4-диамино-2,3-дигалогенантрахинона с NaCN с послед. омылением групп CN и амидированием1036-6.jpgметоксипропиламином, а также антрахиноназолы, антрапиридоны, антрахинонпиразины и др., к-рые благодаря появлению дополнит. цепей сопряжения значительно отличаются по цвету от соответствующих производных антрахинона (см. Полициклические кубовые красители).

Литература

Коган И. М., Химия красителей, 3 изд., М., 1956, с. 515-36; Венка-тараман К., Химия синтетических красителей, пер. с англ., т. 2, Л., 1957, с. 955-86; то же, т. 3, Л., 1974, с. 2034-62; Степанов Б. И., Введение в химию ' и технологию органических красителей, 2 изд., М., 1977, с. 170-212. С.И.Попов.

Синонимы/примеры:* Ализарин; Пурпурин; Хризазин; Антраруфин; Ализарин красный
*подобраны ИИ, возможны неточности