Фенилендиамины
ФЕНИЛЕНДИАМИНЫ (диаминобензолы), мол.м. 108,14; бесцв. кристаллы (табл.), темнеющие на свету и на воздухе. Существуют в виде трех изомеров: 1,2-, 1,3- и 1,4-фенилендиамина (соотв. о-, м- и n-фенилендиамин). Раств. в этаноле, диэтиловом эфире, CHCl3, горячей воде.

СВОЙСТВА ФЕНИЛЕНДИАМИНОВ
| Изомер | T. пл., 0C | T. кип., 0С/мм рт. ст. | KB | |||
| 1,2-фенилендиамин | 105,8 | 256-258 | 3,2 · 10-10 | 7,29 | ||
| 1,3-фенилендиамин* | 63-64 | 282-284 147/10 | 7,6· 10-10 | 7,26 | ||
| 1,4-фенилендиамин | 147 | 267(возг.) | 1,1· 10-8 | 6,52 | ||
*d8020 1,1421, n57,7D 1,6339.
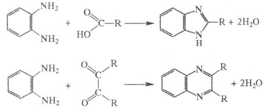
По хим. св-вам фенилендиамины- типичные представители ароматич. аминов. Сильные орг. основания; м-и n-фенилендиамины с минер, к-тами образуют водораство римые соли (за исключением сульфата n-фенилендиамина), с карбоновыми к-тами, их ангидридами и хлорангидридами -замещенные амиды соответствующих к-т, с дикарбоновыми к-тами, диангидридами и дихлорангидридами - полиамиды и полиимиды. При взаимод. с бензальдегидом фенилендиамины дают моно- и дибензилиденпроизводные. о-Фенилендиамин легко образует гетероцик-лич. соед.: взаимод. с к-тами, ангидридами, амидами и эфи-рами приводит к бензимидазолам, с 1,2-дикарбонильными соед.- к хиноксалинам:

м- и n-фенилендиамин легко диазотируются HNO2 по одной или двум аминогруппам, образуя диазо- и тетраазопроизводные - про-межут. продукты в произ-ве азокрасителей; о-фенилендиамин в аналогичных условиях дает бензотриазол:

При окислении действием Ag2O в эфирном р-ре о- и м-фенилендиамин превращается в соответствующие бензохинондиимины; MnO2 или K2Cr2O7 в H2SO4 окисляют п-фенилендиамин в n-бензохинон; при окислении о-фенилендиамина FeCl3 в CH3COOH образуется 2,3-диамино-феназин. Окисление n-фенилендиамина окислителями в присут. соед. с активной метиленовой группой приводит к азометиновым красителям. В цветной фотографии используют одноэлект-ронное окисление N,N-диалкилпроизводных n-фенилендиамина светочувст-вит. солями AgHaI; образующиеся радикалы с разл. агентами, напр, фенолами, дают индоанилиновые красители:

В присут. своб. радикалов или соед., являющихся источниками своб. радикалов (Br2, Cl2, H2O2, O3), n-фенилендиамин и его производные способны превращаться в окрашенные катион-радикалы (соли Вюрстера, ф-ла I), применяемые в качестве антиоксидантов, ингибиторов полимеризации, красителей в цветной фотографии.

При действии Cl2 в CH3COOH или KClO4 в HCl n-фенилендиамин превращается в тетрахлор-n-бензохинон (хлоранил); м-фенилендиамин при нагр. с 10%-ным р-ром HCl образует резорцин, м- и n-фенилендиамин легко сополимеризуются с разл. орг. соед.; напр., с диизоцианатами образуют полиуретаны, с диальдегидами - полишиффовы основания, с эпоксидами - сетчатые полимеры.
В пром-сти о-фенилендиамин получают восстановлением о-нитроанили-на NaHS (реже - Zn-пылью в водно-спиртовом р-ре NaOH) или его каталитич. гидрированием в присут. Pd/C (70-90 0C, 3 МПа, выход 85-90%) или Ni/Cr2O3; м-фенилендиамин - восстановлением м-динитробензола порошком Fe в HCl (выход 74%) или его каталитич. гидрированием в присут. Ni; n-фенилендиамин - восстановлением n-нитроанилина Na2S, порошком Fe в HCl или Zn в KOH. Другие способы получения: взаимод. соответствующих дибромбензолов с водным NH3 в присут. CuSO4 при 175-180 0C (о-фенилендиамин)и 180-190 0C (n-фенилендиамин); восстановление n-нит-роанилина на Cu-Mo-катализаторе в присут. небольших кол-в NH4Cl или CH3COOH.
Фенилендиамины- реагенты в произ-ве кубовых красителей (о-фенилендиамин), азокрасителей (м-фенилендиамин), сернистых, прямых и дисперсных красителей (n-фенилендиамин); соли фенилендиаминов- проявляющие в-ва в черно-белой и цветной фотографии, м- и n-фенилендиамины используют в произ-ве полиамидов, полиуретанов, в качестве антиоксидантов и антиозо-нантов пластмасс и эластомеров, отвердителей эпоксидных смол (м-фенилендиамин), для окрашивания волос и меха (n-фенилендиамин), как реагенты для обнаружения моносахаридов (n-фенилендиамин), хлора, брома, озона (n-фенилендиамин).
Фенилендиамины- токсичны; неблагоприятно действуют на почки, печень, изменяют состав крови, вызывают респираторные заболевания и дерматиты. ПДК в воздухе рабочей зоны для о-, м- и n-фенилендиамина соотв. 0,5, 0,1 и 0,05 мг/м3; для n-фенилендиамина ЛД50 133,4 мг/кг (крысы, перорально). Ниж. КПВ для о-фенилендиамина 10,4 г/м3. T. всп. для n-фенилендиамина 155,5 0C.
Лит.: Общая органическая химия, пер. с англ., т. 3, M., 1982, с. 183, 220-24; Kirk-Othmer encyclopedia, 3 ed., v. 2, N. Y., 1978, p. 348-54.
С. И. Диденко.