Галогенантрахиноны

ГАЛОГЕНАНТРАХИНОНЫ. Практич. применение нашли моно-, нек-рые ди-, три- и тетрахлорантрахиноны. Галогенантрахиноны-кристаллы от бледно-желтого до желтого цвета (см. табл.); не раств. в воде, трудно раств. в спирте, раств. в нитробензоле, уксусной к-те, пиридине, хлороформе, конц. H2SO4 (с углублением окраски); см. Цветность органических соединений.

СВОЙСТВА ГАЛОГЕНАНТРАХИНОНОВ
1095-20.jpg

* Ниж. КПВ 79 г/м3. ** Ниж. КПВ 10,4 г/см3.

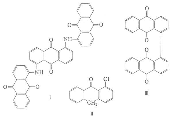
Атомы галогена галогенантрахинонов замещаются на амино-, гидрокси-, алкокси-, арилокси-, арилтиогруппы в более мягких условиях, чем галогены др. ароматич. соединений, причем атомы галогена в1095-21.jpgположениях замещаются легче, чем в1095-22.jpgположениях, а атомы иода и брома легче, чем хлора. Благодаря этому из галогенантрахинонов получают разнообразные замещенные антрахинона, имеющие пром. и препаративное значение. 1-Галогенантрахиноны, 1,5-дигалогенантрахинон, 1,4,5-тригалогенантрахинон и 1,4,5,8-тетрагалогенантрахинон при взаимод. с аминоантрахинонами в присут. Си или ее солей и щелочных агентов (карбонатов и ацетатов щел. металлов, MgO) образуют соотв. моно-, ди-, три- и тетраантримиды (напр., 1,5-диантримид; ф-ла I)-кубовые красители и промежут. продукты в синтезе фталоилкарбазолов (см. Полициклические кубовые красители).
1095-23.jpg

2-Галогенантрахиноны при аммонолизе под давлением и 200-205 °С образуют 2-аминоантрахинон-промежут. продукт в синтезе кубовых красителей. 1,5-Дигалогенантрахинон и 1,8-дигалогенантрахинон реагируют с л-толуидином, превращаясь в соответствующие ди-п-толуидиноантрахиноны- жирорастворимые фиолетовые красители. 1-Хлорантрахинон при восстановлении А1 в H2SO4 или Sn и НС1 в СН3СООН образует соотв. 1-хлорантрон (ф-ла II) или 4-хлорантрон; в кипящем нитробензоле в присут. порошка Си превращ. в 1,Г-диантрахинонил (III); при нитровании образует 4-нитро-1-хлорантрахинон; при сульфировании 20%-ным олеумом при 160°С-смесь антрахинон-6-. и антрахинон-7-сульфокислот. Нитрование 1,5- и 1,8-дихлорантрахинонов приводит соотв. к 4,8-динитро-1,5-дихлор-и 4,5-динитро-1,8-дихлорантрахинонам. 2-Галогенантрахиноны при щелочном плавлении в присут. окислителя (KNO3) превращ. в 1,2-дигидроксиантрахинон (ализарин). Сульфирование 1,5- или 1,8-дихлорантрахинонов в присут. Hg дает соотв. 1,5-дихлорантрахинон-4,8- и 1,8-дихлорантрахинон-4,5-дисульфокислоты, применяемые в синтезе 1,4,5,8-тетрагалогенантрахинонов

1095-24.jpg Замещенные 1-хлор-, 1,5- и 1,8-дихлорантрахиноны в пром-сти и лаборатории получают взаимод. соотв. моно-или дисульфокислот антрахинона с NaClO3 или газообразным С12 в среде разб. НС1 в присут. NH4C1 при 95-100 °С. 1,4,5-Трихлорантрахинон получают хлорированием антрахинон-1-сульфокислоты газообразным С12 в H2SO4 до 5,8-дихлорантрахинон-1-сульфокислоты с послед. заменой сульфогруппы на хлор таким же способом, каким получают 1-хлорантрахинон:
1095-25.jpg

1,4,5,8-Тетрахлорантрахинон синтезируют взаимод. 1,8-дихлорантрахинон-1,5- или 4,5-дихлорантрахинон-1,8-дисульфокислот с КС1О3 при кипячении в среде разб. НС1 или непосредственно хлорированием антрахинона в олеуме.

2-Хлорантрахинон получают конденсацией по Фриделю-Крафтсу фталевого ангидрида с хлорбензолом в присут. А1С13 при 45-50 °С с послед. разложением реакц. комплекса водой, отгонкой хлорбензола и фильтрацией 4-хлор-бензоилбензойной к-ты, к-рую подвергают циклизации в 15%-ном олеуме при 130°С. Этим способом в лаборатории м. б. получены другие галогенантрахиноны конденсацией соответствующих хлорфталевых ангидридов с бензолом или галогенбензолами. Напр., 1,4,5-трихлорантрахинон синтезируют р-цией 3-хлорфталевого ангидрида с n-дихлорбензолом с послед. циклизацией.

1- и 2-Бромантрахиноны синтезируют только в лаборатории. Первый получают взаимод. антрахинон-1-сульфокислоты с Вr2 при 200-220 °С, второй - р-цией Зандмейера из диазотированного 2-аминоантрахинона, а также аналогично 2-хлорантрахинону - из фталевого ангидрида и бром-бензола с послед. циклизацией. 1-Иодантрахинон получают взаимод. диазотированного 1-аминоантрахинона с KI.

Литература

Ворожцов Н. Н., Основы синтеза промежуточных продуктов и красителей, 4 изд., М., 1955; Эфрос Л. С, Горелик М. В., Химия и технология промежуточных продуктов, Л., 1980. С. И. Попов.