Активные красители

АКТИВНЫЕ КРАСИТЕЛИ, образуют при крашении с функц. группами волокна (ОН, NH2 и др.) прочные ковалентные связи (напр., сложноэфирные, простые эфирные, амидные). Т. обр., краситель входит в состав макромолекулы волокна, что обеспечивает высокую устойчивость окрасок к стирке и др. мокрым обработкам, трению, действию р-рителей, применяемых при хим. чистке одежды. Активные красители широко используют для печатания и крашения целлюлозных волокон, а также натурального шелка и шерсти, в меньшей степени - полиамидного волокна.

Строение активных красителей можно выразить общей ф-лой Кр-МХ, где Кр-хромофорная система, определяющая цвет красителя; МХ-реакционноспособная система, в к-рой Х-реакционноспособный атом (чаще всего С1, реже Вг, F) или группировка (напр., —СН2=СН2, напряженный цикл), М-носитель реакционноспособной группы, активирующий ее и влияющий на устойчивость связи красителя с волокном. Практически важные MX: 1) галогенопроизводные гетероциклич. соед., в первую очередь хлорпроизводные симтриазина, реже фторпроизводные; 2) производные пиримидина и хиноксалина; 3) замещенные алкиларилсульфонов, арилалкилсульфамидов и амидов карбоновых к-т; из них Наиб. распространены производные винилсульфона и а- бромакриламида. По типу хромофорной системы активные красители -азокрасители (в т.ч. комплексы с переходными металлами - Си, Сr, Со), фталоцианиновые, антрахиноновые и др. полициклич. красители. Наиб. широк ассортимент активных азокрасителей, охватывающий полную гамму цветов от желтого до черного. Антрахиноновые активные красители дают ярко-голубые окраски, фталоцианиновые - бирюзовые и зеленые.

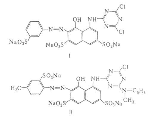
Хлортриазиновые активные красители подразделяют на ди- и монохлортриазиновые (см., напр., ф-лы I и II соотв.).
1013-84.jpg

Первые обычно получают ацилированием азо- или диазо-составляющей (см. Азокрасители)цианурхлоридом при 5 °С и рН 3-5 с послед. диазотированием и азосочетанием. В ряде случаев ацилируют аминоазосоединения или их комплексы с металлами (Си, Сr, Со), а также продукты конденсации 1-амино-4-бромантрахинон-2-сульфокислоты (или дисульфокислоты) с диаминами; при использовании последних получаются красители, дающие ярко-голубые окраски тканей из натуральных волокон. Монохлортриазиновые активные красители получают, замещая на остаток бесцв. амина (напр., моно- или дисульфокислоты анилина и его производных) или алкоксисоединения (напр., метанол) атом хлора в дихлортриазиновых красителях или в соед., применяемых для их синтеза, при 20-40°С и рН 7-8.

Взаимод. красителя с волокном происходит по механизму нуклеоф. замещения SN2:
1013-85.jpg

Р-ция сопровождается гидролизом красителя, скорость к-рого возрастает в щелочных средах.

Винилсульфоновые активные красители обычно содержат в молекулах р-сульфоксиэтилсульфоновую группу, превращающуюся при крашении в щелочной среде в винилсульфоновую, к-рая и взаимод. с волокном:
1013-86.jpg

Способ получения винилсульфоновых активных красителей, особенно азокрасителей, прост: диазотируют амин, содержащий реакционноспособную группу, и сочетают его с азосоставляю-щей (если~необходимо-с послед, комплексообразованием).

Сложность представляет произ-во исходных аминов, содержащих1013-87.jpgсульфоксиэтилсульфоновую группу.

Активные красители с другими реакционнеспособным и группами для крашения целлюлозных волокон используются редко. Для окраски шерсти лучшими являются активные красители с1013-88.jpgбромакриламидной группой СН2—C(Br)CONH- (ланазоли, Швейцария), с монохлордифторпиримидиновой группой (в е р о ф и к с ы, ФРГ; реактоланы, дрималаны, Швейцария), с N-метилтаурилэтилсульфоновом группой-SO2CH2CH2N(CH3)CH2CH2SO3H и др.

В СССР активные красители выпускают под назв. "активные красители" с индексами: "Х"-с высоким сродством к целлюлозному волокну и высокой реакц. способностью, гл. обр. для периодич. крашения; "Т"-с умеренным сродством к волокну и средней реакц. способностью для печатания одно- и двухфазным способами, а также для крашения непрерывным и периодич. способами; "Ш"-для прочного и особо прочного крашения и печатания по шерстяным и полушерстяным тканям; без индекса-с невысоким сродством к волокну и невысокой реакц. способностью, гл. обр. для печатания и крашения непрерывным способом.

Осн. стадии крашения при использовании активных красителей: сорбция красителя волокном, фиксация (хим. взаимод. красителя с волокном), удаление химически несвязанного и гидролизованного красителя. Периодич. крашение целлюлозных материалов осуществляют в присут. NaCl или Na2SO4 (10-60 г/л) и кальцинированной соды (1-10 г/л), Na3PO4 (10-20 г/л) или NaHCO3 (10-30 г/л). Щелочь добавляют через 20-30 мин после начала крашения. При непрерывном способе ткань пропитывают (плюсуют) р-ром, содержащим смачиватель (2-5 г/л), Na2SO4 (5-30 г/л), загуститель (5 г/л 10%-ного р-ра альгината Na), NaHCO3 (5-20 г/л) или кальцинированную соду (15-20 г/л) и краситель, затем отжимают, сушат (80-100°С), запаривают (101-103°С) и тщательно промывают водой. Шерсть окрашивают в р-ре, содержащем краситель, Na2SO4 (10%), выравниватель (0,5-1,5%), СН3СООН (4-5% 30%-ной к-ты), повышая т-ру от 40 до 100°С в течение 1 ч и выдерживая 1 ч при 98-100°С; 25%-ный р-р NH4OH (1-3%) вводят после охлаждения р-ра до 80°С.

Произ-во первых активных красителей (винилсулъфоновых и монохлорацетиламидных), предназначенных для окраски шерсти (ремалан-яркие, ФРГ; цибалан-яркие, Швейцария), было освоено в 1952. Для крашения целлюлозных волокон хлортриазиновые активные красители под назв. проционы (Великобритания) начали выпускаться в 1956, винилсулъфоновые под назв. ремазолы (ФРГ)-в 1957.

Литература

Чекалин М. А., "Ж. Всес. хим. о-ва им. Д.И. Менделеева", 1966, т. II, № 1, с 43-51; его же, там же, 1974, т. 19, № 1, с. 41-49; Химия синтетических красителей, под ред. К. Beикатарамана, пер. с англ., т. 6, Л., 1977; Чекалин М. А., Пассет Б. В., Иоффе Б. А., Технология органических красителей и промежуточных продуктов, 2 изд., Л., 1980. В. И. Мур.