Полициклические кубовые красители
ПОЛИЦИКЛИЧЕСКИЕ КУБОВЫЕ КРАСИТЕЛИ, красители, представляющие собой карбо- и гетероароматич. многоядерные конденсир. соед., содержащие не менее двух оксогрупп, соединенных между собой системой сопряженных связей. При восстановлении групп С=О превращ. в гидроксипроизводные (лейкоформы), р-римые в водно-щелочных средах и обладающие, в отличие от самих полициклических кубовых красителей, сродством к ряду волокон (целлюлозных и белковых); после сорбции на окрашиваемых субстратах лейкосоединения окисляются с образованием исходных (хиноидных) форм полициклических кубовых красителей. Красильный р-р (т. наз. куб) получают действием восстановителей, не затрагивающих основного скелета молекулы полициклического кубового красителя, преим. дитионитом натрия Na2S2O4. Окисление проводят О2 воздуха, иногда др. окислителями (см. также Кубовые красители).
Сродство к хлопковому волокну (субстантивность) повышается с увеличением размера молекулы красителя и степени копланарности ее фрагментов, чему способствует связывание их ароматич. циклами, а также введение нек-рых заместителей, напр. ароиламиногрупп, атомов галогена, к-рые увеличивают не только прочность окрасок, но часто и яркость. При наличии атомов Hal, как правило, повышается устойчивость окрасок к действию активного хлора.
Применяют полициклические кубовые красители гл. обр. для крашения целлюлозных волокон и их смесей с др. волокнами, напр. с полиэфирными; в этом случае проводят крашение сначала полициклическими кубовыми красителями, а затем дисперсными красителями (двухванное крашение) или сразу спец. смесями указанных красителей (однованное). Полициклические кубовые красители образуют яркие окраски широкой гаммы цветов и оттенков, обладающие исключительно высокой устойчивостью ко всем видам физ.-хим. обработок. Однако они уступают др. классам красителей в технол. и экономич. отношении-сложность многостадийных методов синтеза из дорогого сырья и соотв. высокая стоимость, а также сложность способов применения. Для упрощения последних нек-рые полициклические кубовые красители производят в виде кубозолей (р-римых в воде Na-солей кислых сернокислых эфиров лейкосоединений).
Ряд полициклических кубовых красителей используют как пигменты широкого назначения, особенно для крашения пластмасс, перерабатываемых при высоких т-рах, и в произ-ве эмалей горячей сушки. Для перевода в пигментные формы полициклические кубовые красители подвергают дополнит. сложным обработкам (финиш-процессы), в результате к-рых получаются определенные кристаллич. модификации, а также модифицируется пов-сть кристаллов, что способствует лучшему распределению пигмента в окрашиваемых субстратах.
В зависимости от назначения полициклические кубовые красители производят в разл. товарных (выпускных) формах: в качестве кубовых красителей-порошки и пасты для крашения, пасты для печати; в качестве пигментов-порошки, пасты для пигментной печати, для крашения вискозы в массе, концентраты в полимерах и т. п. Содержание полициклических кубовых красителей в порошках для крашения, пастах и концентратах может составлять 15-50%. См. также Крашение волокон, Крашение пластических масс, Печатание тканей.
Большинство полициклических кубовых красителей содержит в молекуле конденсированные или связанные мостиковыми группировками ядра антрацена; главное место среди них занимают производные 9,10-антрахинона и продукты их превращений. Точная хим. классификация этих соед. затруднена, т.к. часто в одной стуктуре имеются признаки, характерные для неск. групп красителей. Осн. типы полициклических кубовых красителей приведены ниже.
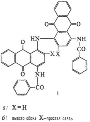
Антримиды и фталоилкарбазолы. Антримиды-антра-хинониламиноантрахиноны (напр., соед. ф-лы I, а). Могут содержать до четырех 1-(или 2-)антрахинониламиногрупп в а-положениях молекулы антрахинона и часто-ароил-аминогруппы в а-положениях любых антрахиноновых ядер. К этой группе полициклических кубовых красителей можно отнести и антрахинониламиио-производные др. полициклич. систем, напр. бензантрона, антантрона, ацедиантрона (см. ниже). Получают: нагреванием амино- и галогенопроизводных антрахинона в присут. Си или ее солей и основных агентов (карбонатов либо ацетатов щелочных металлов, MgO) в высококипящем р-рителе (нитробензоле, нафталине или др.); сплавлением ("запеканием") исходных в-в при т-рах до 200 °С. Антримиды практически утратили значение как полициклические кубовые красители; их используют гл. обр. в качестве промежут. продуктов для получения фталоилкарбазолов циклизацией с образованием пирроль-ного цикла (р-ция карбазолирования). Р-ция облегчается при наличии ароиламиногрупп, что позволяет проводить ее нагреванием соответствующих антримидов в конц. H2SO4; напр., так получают коричневый полициклический кубовый краситель (1,6) из соед. 1,я; конденсирующим ср-вом в др. случаях служит А1С13.

Фталоилакридоны- производные гетероциклич. системы ф-лы II, а также соед., содержащие ее в качестве структурного фрагмента (напр., соед. III, к-рое одновременно можно отнести и к фталоилкарбазолам).


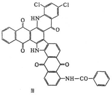
Соед. II и его производные получают взаимод. 1-галоген-или 1-аминоантрахинона с ароматическими соотв. о-амино-или о-галогенкарбоновыми к-тами (либо р-цией 1-нитро-антрахинон-2-карбоновой к-ты с ариламинами) с послед. циклизацией под действием конц. H2SO4, HSO3C1 или др. дегидратирующих агентов, напр. РОС13 в нитробензоле. При действии на 1-нитро-2-метилантрахинон анилина с послед. хлорированием и затем гидролизом содой образовавшегося 1,2,3,4,5,6,7-гептахлорфталоилакридина получают 1,2,3,4,6,7-гексахлорпроизводное соединения II. Частичное дегалогенирование последнего приводит к ярко-розовому полициклическому кубовому красителю (смесь 1,2,3,4,7- и 1,2 3,4,6-пентахлоризомеров). Само соед. II можно прохлорировать до 1,3,7-трихлорпроизвод-ного; при замещении в нем атома хлора у атома С-7 на аминогруппу образуется бирюзовый полициклический кубовый краситель, а при замещении на 5-бензоиламино-1-антрахинониламиногруппу с послед. циклизацией-коричневый полициклический кубовый краситель (III). Аннелирование бензольного кольца в соед. II по связи С3—С4 приводит к красному полициклическому кубовому красителю.
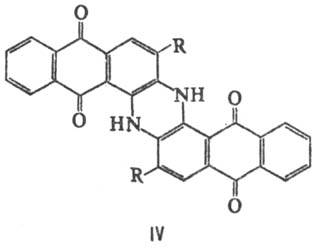
Индантрон (IV; R = Н)-синий полициклический кубовый краситель и важный пигмент. Получают щелочным плавлением 2-аминоантрахинона в смеси КОН, NaOH и CH3COONa в присут. окислителя, напр. NaNO3, при 225 °С. Его галогенопроизводные (R = Hal; в производимых в пром-сти красителях R = С1)- голубой и синий полициклические кубовые красители; получают аналогично щелочным плавлением 2-амино-З-хлорантрахинона или галогенированием индантрона (продукт р-ции-кубовый голубой О, представляющий собой смесь с преимуществ. содержанием моно-хлорпроизводного) или конденсацией двух молей 1,3-ди-галоген-2-аминоантрахинона в высококипящих р-рителях (напр., нитробензоле) в присут. Си (см. также Индантрон).

Антрахиношгаразины. Получают взаимод. 1,2-диами-ноантрахинона со щавелевой к-той с образованием соед. ф-лы V (R = ОН), араминирование к-рого, напр. м-толуидином, приводит к ярко-алому полициклическому кубовому красителю (R = = NHC6H4CH3-м).
Антрахиноназолы-соед., содержащие цикл азола (оксазо-ла, тиазола, оксадиазола или др.), конденсированный с ядром антрахинона по положениям 1,2 или 2,3 (напр., как в соед. VI) или связанный с ним в положении 2 простой связью (как в соед. VII). Обычно содержат два антрахиноно-вых ядра. Напр., соед. VI (X = О) - красный полициклический кубовый краситель (получают действием хлорангидрида 1-нитроантрахинон-2-карбо-новой к-ты на 2-амино-З-гидроксиантрахинон с послед. циклизацией в конц. H2SO4 и аммонолизом нитрогруппы); соед. VI (X = S)-красно-фиолетовый полициклический кубовый краситель (получают действием того же хлорангидрида на 2-амино-З-хлорантра-хинон с послед. аммонолизом группы NO2, замещением атома хлора на группу SH действием Na2S и циклизацией в конц. H2SO4). Полициклический кубовый краситель цвета бордо (ф-ла VII) получают действием гидразингидрата на указанный хлорангидрид с послед. циклизацией и аммонолизом.


Группа бензантрона. Ее составляют производные бензан-трона (напр., соед. ф-лы VIII), а также виолантрона (IX), изовиолантрона (X) и дибензопиренхинона (XI). Полициклический кубовый краситель ф-лы VIII, б [R = Н (оливково-зеленый краситель); R-1-антрахи-нониламиногруппа (серый)] получают циклизацией соответствующих соед. типа антримидов ф-лы VIII, а нагреванием с КОН в изобутаноле. В этих условиях образуется пиридиновый цикл, а карбазолирование не протекает, что позволяет получить указанный выше серый полициклический кубовый краситель.


Виолантрон (IX; R = Н) - темно-синий полициклический кубовый краситель; получают сплавлением бензантрона с эквимолярной смесью КОН и NaOH в присут. окислителя, а иногда и р-рителя (напр., гликоля); в качестве промежут. продукта образуется 4,4'-дибензантронил. Ярко-зеленый полициклический кубовый краситель с синеватым оттенком (IX; R = ОСН3) получают окислением виолантрона или 4,4'-дибензантронила действием МnО2 в H2SO4 до дигидроксипроизводного (IX; R = ОН) с послед. метилированием; продукт его дибромирования - зеленый полициклический кубовый краситель с желтоватым оттенком. Соед. IX (R = NO2), при восстановлении превращающееся в диаминопроизводное, дает черную окраску, по-видимому, в результате окисления аминогрупп с образованием азогруппы.
Изовиолантрон (X) получают нагреванием с КОН ди(3-бензантронил)сульфида (продукта взаимод. 3-бром-бензантрона с полисульфидом Na) в изобутаноле с послед. окислением О2 воздуха. Как полициклические кубовые красители применяют продукты его галогенирования-6,15-дихлорпроизводное (ярко-фиолетовый с красноватым оттенком) и монобромпроизводное (фиолетовый с синим оттенком).
Дибензопиренхинон (XI; R = Н) - золотисто-желтый полициклический кубовый краситель; получают циклизацией 1,5-дибензоилнафталина в расплаве смеси А1С13 с NaCl в присут. окислителя; м. б. синтезирован также циклизацией 3-бензоилбензантрона. Исходные продукты для этих р-ций синтезируют бензоили-рованием соотв. бензантрона или нафталина по р-ции Фриделя - Крафтса; дибромпроизводное дибензопирен-хинона (XI; R = Вr)-желтый с красноватым оттенком краситель.
Антантрон (XII; R = Н) синтезируют циклизацией 1,1'-динафтил-8,8'-дикарбоновой к-ты в конц. H2SO4. Его гало-генированием получают ярко-оранжевые полициклические кубовые красители (XII; R = С1 или Вr), причем бромпроизводное, имеющее более красный оттенок, используют также как пигмент. Галогенопроизвод-ные антантрона применяют и как промежут. продукты для получения антримидов (см. выше).
Ацедиантрон. Используют дихлорпроизводные (XIII); получают взаимод. 1-хлор- или 2-хлор-9-антронов с гли-оксальсульфатом в орг. р-рителе с послед. окислением О2 воздуха образовавшегося производного бис-антролиденэти-лена. Соед., у к-рого атомы хлора находятся в р-положе-ниях,-красно-коричневый полициклический кубовый краситель; соед. с атомами хлора в a-положениях - полупродукт, напр., для получения антри-мида, содержащего две 5-бензоиламино-1-антрахинонила-миногруппы, карбазолирование к-рого приводит к коричневому с желтым оттенком полициклическому кубовому красителю.


Прочие группы. полициклических кубовых красителей включают также красители др. хим. классов, не содержащие фрагментов антрахинона и антрона. Из них важны ароиленбензимидазолы - продукты конденсации нафталин-1,4,5,8-тетракарбоновой к-ты с о-фенилендиамином алого цвета (смесь изомеров), ярко-оранжевого и бордо (индивидуальные изомеры); последние являются также ценными пигментами (см. Перилоновые красители).
Лит.: Коган И. М., Химия красителей, 3 изд., М., 1956; Венката-раман К., Химия синтетических красителей, т. 2, 5, Л., 1957-77; Степанов Б. И., Введение в химию и технологию синтетических красителей, 3 изд., М., 1984. М. В. Казанков.