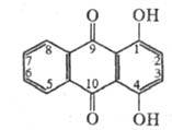
Хинизарин

ХИНИЗАРИН (1,4-дигидрокси-9,10-антрахинон), мол. м. 240,22; бесцв. кристаллы, т. пл. 200-201 С (с возг.), т. кип. 450 °С (с разл.), 196,7 оС/1 мм рт. ст. Раств. в этаноле, диэтиловом эфире, бензоле, горячей воде.

6001-1.jpg

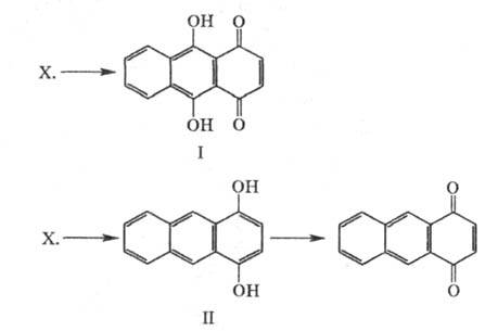
Хинизарин окисляется тетраацетатом Рb в СН3СООН до 1,4,9,10-антрадихинона. Действием Na2S2O4 в р-ре соды при 80 °С в инертной атмосфере или Zn-пылью в избытке СН3СООН восстанавливается в лейкохинизарин (ф-ла I), действием NaBH4 в метаноле в атмосфере N2 - в 1,4-дигидроксиантрацен (II), к-рый окисляется О2 воздуха в 1,4-антрахинон:
6001-2.jpg

Хлорирование хинизарина С12 в СН3СООН приводит к 2,3-дихлорпроизводному, действие Вr2 в р-ре КВr - к окислению до 1,4,9,10-антрадихинона с послед. образованием его 2,3-дибромпроизводного. Хинизарин сульфируется 12,5%-ным олеумом с добавлением Na2SO4 при 90-120 °С в течение 12 ч до 2-сульфопроизводного, 20%-ным олеумом в присут. Н3ВО3 и HgO при 170-175 °С в течение 26 ч - до 6-сульфопроизводного (выход 83%). Нитруется HNO3 в СН3СООН при 20 °С до 2-нитропроизводного, в H2SO4 -до 1,2,4-тригидрокси-З-нитроантрахинона.
Хинизарин вступает в р-ции аминирования: перемешивание его на воздухе в р-ре пиридина с пиперидином, циклогексиламином (40-50 °С), n-фенилендиамином (100 °С) или с расплавом толуидина (160 °С) приводит к соответствующим 2-аминопроизводным (выход 71-90%).
В пром-сти хинизарин получают взаимод. 4-хлорфенола с фталевым ангидридом в присут. Н3ВО3 в 100%-ной H2SO4 или разбавленном олеуме при 190-195 °С (выход 80-90%); очищают полученный продукт возгонкой или перекристаллизацией. Препаративно хинизарин синтезируют нагреванием антрахинона с нитрозилсульфатом в присут. Н3ВО3 и солей Hg, окислением антрахинона О2 воздуха в водной среде в присут. КВr или NaBr (220-300 °С), нагреванием 1,4-дигидроксинафталина с малеиновым ангидридом в плаве А1С13 - NaCl при 210-220 °С.
Хинизарин- исходное в-во в произ-ве зеленых, синих и фиолетовых антрахиноновых красителей для шерсти.
Хинизарин угнетает деятельность центр. нервной системы. Т. воспл. 870 °С; ниж. КПВ 10,4 г/м3.

Лит.: Венкатараман К., Химия синтетических красителей, пер. с англ., т. 2, Л., 1957, с. 955-86; Горелик М. В., Химия антрахинонов и их производных, М., 1983.

Н. Н. Артамонова.

Синонимы/примеры:* Хинизарин; 1,2-Дигидроксиантрахинон; 1,2-Дигидрокси-9,10-антрацендион
*подобраны ИИ, возможны неточности