Диаминоантрахиноны
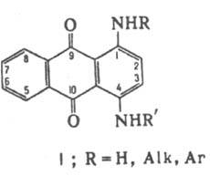
ДИАМИНОАНТРАХИНОНЫ. Практич. значение имеют 1,2-, 1,4- и 1,5-диаминоантрахиноны, N-алкил(арил)- и N, N'-диалкил(диарил)замещенные 1,4-диаминоантрахинона (напр., ф-ла I) и 1,4-диамино-2,3-дихлорантрахинон. Все они кристаллы (см. табл.) от красного до темно-зеленого цвета; не раств. в воде, плохо раств. в этаноле, раств. в бензоле, уксусной к-те, ДМФА, нитробензоле, конц. H2SO4.
Наиб. глубокую фиолетовую окраску имеет 1,4-диаминоантрахинон, применяемый как дисперсный краситель. Введение алкильных и особенно арильных заместителей в аминогруппу 1,4-диаминоантрахинона углубляет окраску (см. Цветность органических соединений), напр. 1-амино-4-алкиламиноантрахиноны - фиолетово-синего цвета, 1,4-диалкиламиноантрахиноны - синего, 1-алкиламино-4-ариламиноантрахиноны - зеленовато-синего, 1,4-диариламиноантрахиноны - зеленого.
Используя два разных амина, получают смесь сим- и несим-диаминоантрахинонов (в ф-ле I R и R' разные). 1,2-Диаминоантрахинон получают аммонолизом 1-хлор-2-аминоантрахинона или 1-аминоантрахинон-2-сульфокислоты в присут. соотв. соединений Сu или окислителя (напр., KNO3, м-нитробензолсульфокислота). 1,5-, 1,8- и 2,6-Диаминоантрахиноны синтезируют аммонолизом соответствующих антрахинондисульфокислот под давлением в присут. м-нитробензолсульфокислоты (окислитель), 1,5- и 1,8-диаминоантрахиноны - также кипячением соответствующих динитроантрахинонов в водном р-ре Na2S. Несимметричные N-монозамещенные 1,4-диаминоантрахинона, используемые как дисперсные красители или как промежут. продукты в синтезе более сложных антрахиноновых красителей, получают восстановительным отщеплением сульфогруппы от 1-амино-4-арил(алкил)аминоантрахинон-2-сульфокислот под действием Na2S2O4 в водном р-ре NaOH. Несимметричные N, N'-дизамещенные 1,4-диаминоантрахинона синтезируют взаимод. 1-алкиламино-4-бромантрахинона с амином в присут. (СН3СОО)2Сu и CH3COONa при 90-120°С Монобензоильные производные 1,4- и 1,5-диаминоантрахинонов - промежут. продукты при получении кубовых красителей. 1,2- и 1,8-Диаминоантрахиноны используют в лаб. практике для получения гетероциклич. производных антрахинона и антрона. 1,4-Диариламиноантрахиноны - жирорастворимые красители, замещенные 1,4-диалкиламиноантрахиноны, содержащие в качестве заместителей остатки гидрохинона, - красители в цветной фотографии.
Литература
Горелик М. В., Химия антрахинонов и их производных, М., 1983; Степанов Б. И., Введение в химию и технологию органических красителей, 3 изд., М., 1984. С. И. Попов
Синонимы/примеры:*
1,5-Диаминоантрахинон; 1,8-Диаминоантрахинон; 1,4-Диаминоантрахинон; 1,2-Диаминоантрахинон
*подобраны ИИ, возможны неточности
Ещё по теме
Диаминоантрахиноны — свойства и токсическое действие
Нитроантрахиноны — свойства и применение
Оксиантрахиноны — свойства и применение
1,4-диамино-2-метоксиантрахинон — свойства и токсичность
Антрахинон-1,5- и -1,8-дисульфокислоты — свойства и применение
Аминоантрахиноны — свойства и токсичность
Антрахиноновые и нафтохиноновые красители — свойства и применение