Кофермeнты
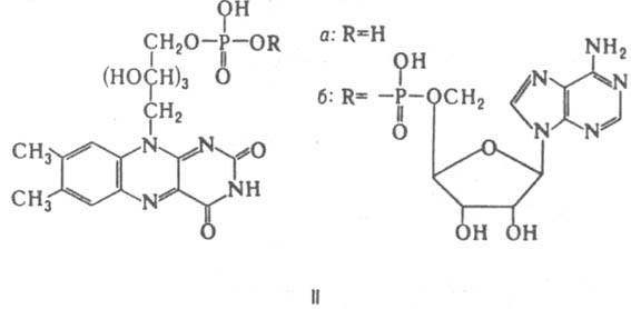
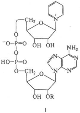
КОФЕРМEНТЫ (от лат. со- - приставка, означающая совместность, и ферменты) (коэнзимы), орг. прир. соед., необходимые для осуществления каталитич. действия ферментов. Эти в-ва, в отличие от белкового компонента фермента (апофермента), имеют сравнительно небольшую мол. массу и, как правило, термостабильны. Иногда под коферментами подразумевают любые низкомол. в-ва, участие к-рых необходимо для проявления каталитич. действия фермента, в т. ч. и ионы, напр. К+, Mg2+ и Мn2+ . Располагаются коферменты в активном центре фермента и вместе с субстратом и функц. группами активного центра образуют активир. комплекс. Коферменты должны обладать по крайней мере двумя функциональными участками или группировками, ответственными за специфич. связывание с апоферментом и субстратом. Часто коферменты прочно связаны с апоферментом - образуют с ним трудно диссоциирующие или недиссоциирующие комплексы либо соединены с полипептидной цепью ковалентной связью (такие коферменты наз. простетич. группой). В этом случае коферменты обычно остаются в составе фермента на всех стадиях каталитич. р-ции. Примеры таких коферментов - флавиновые коферменты (см. Рибофлавин) и пиридоксаль-5'-фосфат (см. Витамин В6). Легко диссоциирующие коферменты-обычно коферменты-переносчики, действие к-рых связано с переходом от одной молекулы фермента к другой. Нек-рые коферменты, напр. НАД (никотинамидадениндинуклеотид; см. Ниацин), в зависимости от каталитич. р-ций, в к-рых они участвуют, могут функционировать как простетич. группа или покидать активный центр фермента. Известны десятки орг. соед., выполняющих ф-ции коферментов. Эти в-ва, как правило, содержат системы сопряженных p-связей и (или) гетероатомы. Многие коферменты включают в качестве структурного компонента остаток молекулы витамина (т. наз. коферментные формы витаминов). Различают две группы коферментов. Относящиеся к первой группе коферменты участвуют в р-циях, в к-рых превращ. субстрата катализируется одним ферментом. При этом кофермент может регенерироваться после каждого каталитич. акта в составе фермента, катализирующего превращ. субстрата, или как косубстрат. В последнем случае регенерация кофермента осуществляется др. ферментом в сопряженной р-ции (в таких р-циях противопоставление кофермента и субстрата носит условный характер). Коферменты второй группы участвуют в активации и переносе молекул субстрата (или их частей) от одного фермента к другому. В этом случае первоначально субстрат реагирует с коферментом в активном центре фермента с образованием достаточно устойчивого соед., к-рое может в неизменном виде переноситься в клетке к др. ферменту, в активном центре к-рого осуществляются каталитич. превращ. субстрата и одноврем. регенерация кофермента. Образование комплекса апофермента с коферментом - один из способов регуляции активности фермента в организме (см. Регуляторы ферментов). Ниже рассмотрены важнейшие коферменты. Никотинамидные коферменты - коферментная форма витамина ниацина. К этой группе коферментов, универсальных по распространению (они найдены буквально во всех живых клетках) и биол. роли, относятся НАД (ф-ла I; R=Н) и никотинамидадениндинуклеотидфосфат, или НАДФ [I; R=РО(ОН)2], а также восстановленные (по пиридиновому кольцу) формы этих соед. (соотв. НАДН и НАДФН). наиб. важная биохим. ф-ция этих коферментов - их участие в переносе электронов и водорода от окисляющихся субстратов к кислороду в клеточном дыхании.
При участии НАД или НАДФ, связанных прочно или легко диссоциирующих, ферменты дегидрогеназы (напр., алкогольдегидрогеназа, глутаматдегидрогеназа) катализируют обратимое превращ. спиртов, гидроксикислот и нек-рых аминокислот в соответствующие альдегиды, кетоны или кетокислоты. Флавиновые коферменты-коферментная форма витамина рибофлавина. Среди оксидоредуктаз дыхательной цепи, участвующих в переносе электронов и водорода, большое значение имеют флавопротеиды-ферменты, содержащие в качестве простетич. групп флавинмононуклеотид (ФМН; IIа) и флавинадениндинуклеотид (ФАД; IIб). В нек-рых ферментах (напр., в сукцинатдегидрогеназе) ковалентная связь ФАД с апоферментом образована пирофосфатной группой кофермента и атомом N имадазольного кольца гистидина. Восстановление флавиновых коферментов осуществляется через ряд промежут. стадий, включающих образование радикалов.
Главная ф-ция флавиновых коферментов-перенос электронов (водорода) в окислит.-восстановит. цепи от НАДН и янтарной к-ты к цитохромам. Флавопротеиды катализируют также многочисл. р-ции, механизм к-рых включает стадию одноэлектронного переноса; окисление восстановл. формы амида липоевой к-ты, синтез кобамидного кофермента из АТФ и витамина В12, окисление глюкозы и др. Глутатион (III)-коферменты нек-рых ферментов, катализирующих превращение a-диальдегидов в a-гидроксикислоты, изомеризацию производных малеиновой к-ты в производные фумаровой к-ты (малеинат - циc-транс-изомераза) и енолизацию ароматич. a-кетокислот (фенилпируваттаутомераза).
Коферменты, содержащие порфириновыи макроцикл. Эти коферменты в составе нек-рых ферментов (напр., цитохромы а, б и с, цитохром-с-оксидазы) участвуют в клеточном дыхании. Аденозинтрифосфорная кислота (см. Аденозинфосфорные кислоты) - кофермент ферментов, катализирующих перенос гл. обр. фосфатных и пирофосфатных групп (напр., фосфотрансфераз) на разл. субстраты у всех живых организмов. Известны также случаи переноса 5'-дезоксиаденозильного остатка от АТФ с отщеплением трифосфата. Кофермент А (КоASH, КоА; IV) - коферментная форма витамина пантотеновой кислоты. Ферменты, содержащие этот кофермент, катализируют р-ции, играющие важную роль в цикле трикарбоновых к-т. Этот цикл начинается с биосинтеза ацетилкофермента A [KoASC(O)CH3] в результате переноса ацетильной группы на KoASH с пировиноградной к-ты (фермент - пируватдегидрогеназа), а затем образования лимонной к-ты путем переноса ацетильной группы с
KoASC(O)CH3 на ацетилщавелевую к-ту (фермент-цитрат-синтаза). Кофермент А - также кофермент ферментов, участвующих в глиоксилатном цикле, окислении и синтезе жирных к-т, биосинтезе стероидов, каротиноидов, изопреноидов, нейтральных липидов и др. Во всех случаях KoASH действует как промежут. акцептор и переносчик разл. кислотных остатков, к-рые подвергаются в составе ацил - КоА тем или иным превращениям или передаются в неизменном виде на определенные метаболиты. Во всех случаях KoASH связан с ацильными остатками тиоэфирной связью. Тетрагидрофолиевая кислота (FH4; V) - коферментная форма витамина фолацина. Является коферментом ферментов, катализирующих перенос одноуглеродных групп [СН3, СН2, СН, СНО, СН(=NH)] в биосинтезе пуринов, пиримидинов и нек-рых аминокислот. FH4 - кофермент ключевых ферментов в биосинтезе гетероцикла тимидина (напр., тимидилатсинтетазы) - структурного фрагмента молекул ДНК.
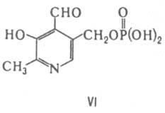
Пиридоксаль-5'-фосфат (VI) коферментная форма витамина В6. Входит в состав мн. ферментов, катализирующих превращения a-аминокислот, в т. ч. их рацемизацию, переами-нирование, декарбоксилирование, элиминирование или замещение у b- и g-атомов углерода. Осн. стадия в механизме этих р-ций образование основания Шиффа в результате взаимод. a-аминогруппы

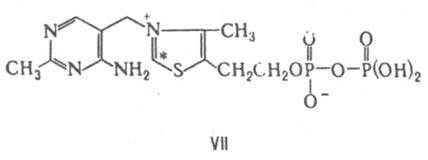
к-ты и карбонильной группы кофермента (см., напр., Аспартатаминотрансфераза, Изомeразы). Тиаминдифосфат (тиаминпирофосфат, кокарбоксилаза, ТДФ; VII) - коферментная форма витамина тиамина. Коферменты мн. ферментов, катализирующих превращения a-кетокислот
и кетоз, в т. ч. декарбоксилирование (фермент пируватдекарбоксилаза) и окислит. декарбоксилирование пировиноградной к-ты (в последнем случае с участием липоевой к-ты), при образовании и расщеплении a-гидроксикетонов и дикетонов под влиянием фосфо- и транскетолаз. Реакц. центр ТДФ - атом С в положении 2 тиазолиевого кольца (обозначен звездочкой), к-рый легко образует карбанион в результате элиминирования Н+. Механизм каталитич. р-ции обычно включает образование ковалентной связи в результате взаимод. субстрата (или его фрагмента) с этим карбанионом. Биотин (VIII) - кофермент ферментов, катализирующих перенос группы СО2 в обратимых р-циях карбоксилирования. Молекула биотина связана с апоферментом пептидной связью, образованной его карбоксильной группой и e-аминогруппой лизина в апоферменте (биотиниллизиновый остаток наз. биоцитином). Переносимая группа СО2 обратимо связывается с атомом в положении 1' биотина. Один из важных ферментов, в к-ром биотин выполняет ф-ции кофермента, - пируваткарбоксилаза.

Она катализирует АТФ - зависимую р-цию образования щавелевоуксусной к-ты из пировиноградной и HCO-3. Кобамидные коферменты (кобаламиновые коферменты, ф-лы см. в ст. Витамин В12). К этой группе относятся два кофермента - метилкобаламин и 5' - дезоксиаденозилкобаламин. Первый участвует в составе ферментов, катализирующих перенос групп СН3, напр. при синтезе метионина из гомоцистеина. Биол. роль второго кофермента состоит в участии в составе ферментов в каталитич. превращениях диолов в альдегиды (пропандиолдегидратаза), алканоламинов в альдегиды (этаноламин - аммиак-лиаза) и рибонуклеотидов в дезоксирибонуклeотиды (рибонуклеотидредуктаза), метилмалонил-кофермент А в сукцинил-кофермент А (метилмалонил-СоА-мутаза). Важная особенность этих коферментов-гомолиз связи Со—С в каталитич. р-циях. Нек-рые коферменты, напр. аденозинтрифосфорная к-та, 5'-дезок-сиаденозилкобаламин (кобамамид), тиаминдифосфат (кокарбоксилаза), флавинадениндинуклеотид (флавинат), применяют как лек. ср-ва; многие коферменты-лиганды в аффинной хроматографии.
Литература
Коферменты, под ред. В. А. Яковлева, М., 1973; Диксон М., Уэбб Э., Ферменты, пер. с англ., т. 1-3, М., 1982; Дюга Г., Пенни К., Биоорганическая химия, пер. с англ., М., 1983, с. 398 486; Ленинджер А.. Основы биохимии, пер. с англ., т. 1. М., 1985, с. 275-301; Общая органическая химия, пер. с англ., т. 10, М., 1986, с. 580-648. A.M. Юркевич.
Ещё по теме
Коферменты и их роль в биохимии
Строение и функции ферментов
Окислительно-восстановительные коферменты — функции и роль в биохимии
Коферменты переноса групп — функции и роль в биохимии
Активация метаболитов — роль коферментов
Ферменты — катализаторы жизни
Ферменты — основы и классификация
Антиферменты и их роль в биологии
Механизмы регуляции активности ферментов
Механизмы действия ферментов — от структуры к функции
Ферментативный катализ — основы и применение
АТФ — структура и роль в клетках
Онкогены и их роль в клеточных процессах
Кофермент Q — роль и значение
Апофермент — роль и значение в биохимии
Механизмы активации и ингибирования ферментов — роль металлов в биохимии