Каротиноиды

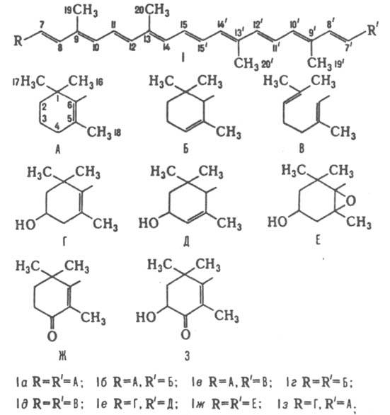
КАРОТИНОИДЫ (от лат. carota - морковь и греч. eidos -вид), прир. пигменты от желтого до красно-оранжевого цвета, синтезируемые бактериями, водорослями, грибами, высшими растениями, нек-рыми губками, кораллами и др. организмами; обусловливают окраску цветов и плодов. Представляют собой полиненасыщ. соед. терпенового ряда, построенные преим. по единому структурному принципу: по концам полиеновой цепи, состоящей из 4 изопреноидных остатков, расположены циклогексеновые кольца, или алифатич. изопреноидные остатки. В большинстве случаев содержат в молекуле 40 атомов углерода. Подразделяются на каротиноидные углеводороды, С40-ксантофиллы, гомо-, апо- и нор-каротиноиды. Св-ва нек-рых каротиноидов приведены в таблице. Из растит. материалов каротиноиды могут быть выделены экстракцией орг. р-рителями, не содержащими пероксидов, на рассеянном свету в инертной атмосфере с послед. омылением и хроматографич. разделением. Каротиноидные углеводороды (каротины) наиб. широко представлены в высших растениях. Основные - b-, a-, g-, e-каротииы и ликопин (ф-лы Ia-Iд соотв.). Все они хорошо раств. в СНСl3, CS2 и бензоле, хуже - в эфире, гексане, жирах и маслах. Легко присоединяют О2 воздуха, неустойчивы на свету и при нагр. в присут. к-т и щелочей. С р-ром SbСl3 в СНСl3 дают характерное синее окрашивание (lмакс 590 нм).
322_339-39.jpg
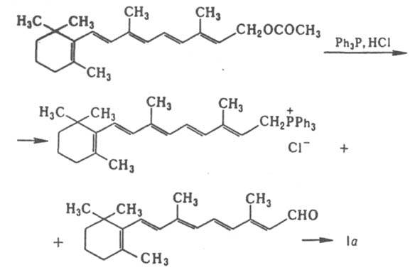
b-Каротин - темно-рубиновые кристаллы; в природе распространен в виде наиб. стабильного mpанс-изомера по всем двойным связям. В р-рах под действием света, при нагр. или добавлении иода частично изомеризуется в циc-изомеры. При воздействии О2 или нагревании в присут. воздуха b-каротин постепенно окисляется и обесцвечивается; продуктами окисления являются разл. эпоксиды (напр., 5,6-эпокси-и 5,8-эпокси-b-каротины) и производные b-ионона. Гидрирование в присут. катализатора приводит к частичному или полному восстановлению двойных связей. b-Каротин м. б. выделен экстракцией сухой моркови, люцерны, гречихи, пальмового масла и др. растит. материалов. В пром. масштабе его получают микробиол. путем с помощью гетероталлич. мукорового гриба Blakeslea trispora, используя отходы крахмально-паточного произ-ва или мукомольной промети (кукурузная, соевая мука), а также синтетически из производных витамина А по схеме:
322_339-40.jpg
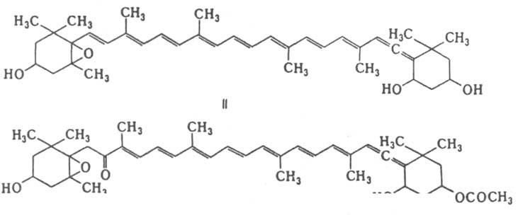
a-Каротин - красные кристаллы; содержится в тех же растениях, что и b-каротин, но в значительно меньшем кол-ве (до 25% от содержания b-каротина). При нагр. с этилатом Na частично превращ. в b-каротин; оптически активен ([a]D +315°). Ликопин - кристаллы красно-фиолетового цвета; красящее в-во томатов. Содержится также в плодах мн. родов растений; м. б. выделен из томатов или получен синтетич. путем. С40-Ксантофиллы содержат в изопреноидной цепи одну или несколько гидроксильных, алкоксильных, эпоксидных, альдегидных или кетонных групп. В природе распространены лютеин (Iе), виолоксантин (Iж), неоксантин (II), фукоксантин (III), криптоксантин (Iз), кантоксантин (I, R = R' = ж), астаксантин (I, R = R' = з) и др.
322_339-41.jpg
В группу гомо - каротиноидов объединены прир. пигменты, содержащие в молекуле более 40 атомов С. Выделены каротиноиды с 45, 50 и 56 атомами С. Апо-каротиноиды представлены соед. с укороченной полиеновой цепью (37 и менее атомов С). Нор-каротиноиды включают соед., в к-рых сохранена полиеновая цепочка, но отсутствуют один или неск. углеродных фрагментов; содержат 39 или менее атомов С, напр., биксин (I; R = СООН, R' = СООСН3). В природе каротиноиды встречаются как в своб. состоянии, так и в виде гликозидов, каротинпротеинов или эфиров, образованных с одной или более молекулами жирных к-т. Впервые каротиноиды были выделены из стручков перца, позже - из желтой репы и моркови Daucus carota, откуда и получили свое название. Среди растений каротиноиды в наиб. кол-ве содержатся в абрикосах (50-100 мкг/г), моркови (80-120 мкг/г), листьях петрушки (100 мкг/г). Качественно и количественно каротиноиды определяют по интенсивности максимума поглощения света в видимой области, а также с помощью хроматографии. В организме животных каротиноиды не синтезируются, а поступают с пищей. Каротиноиды, имеющие в своем составе хотя бы одно кольцо А (см. ф-лу I), являются предшественниками витамина А. Превращ. в организме этих каротиноидов, содержащих 40 атомов С, в витамин А с 20 атомами осуществляется расщеплением молекулы каротиноидов по центр. двойной связи или ступенчатым расщеплением, начиная с конца молекулы.
322_339-42.jpg
Наиб. А-витаминной активностью обладает b-каротин (условно ее принимают равной 100%), активность a-каротина 53%, g-каротина 48%, криптоксантина 40%. Каротиноиды участвуют в фотосинтезе, транспорте кислорода через клеточные мембраны, защищают зеленые растения от действия света; у животных стимулируют деятельность половых желез, у человека повышают иммунный статус, защищают от фотодерматозов, как предшественники витамина А играют важную роль в механизме зрения; прир. антиоксиданты. Каротиноиды используют в качестве пром. пищ. красителей, компонентов витаминного корма животных, в мед. практике - для лечения пораженных кожных покровов. При потреблении в пищу больших кол-в каротиноидов гипервитаминоз не наблюдается.
Литература
Бриттон Г., Биохимия природных пигментов, пер. с. англ., М., 1986; Кретович В. Л., Биохимия растений. 2 изд.. М., 1986; Гудвин Т., Мерсер Э., Введение в биохимию растений, пер. с англ., т. 1-2, М., 1986; Carotenoids, ed. by О. Isler [u. a.], Basel Stuttg., 1971; Foppen F., "Chromatographic Reviews", 1971, v. 14, p. 133-298. Л. А. Вакулова. Г. И. Самохвалов.